专题06 规律问题-2022届中考数学压轴大题专项训练
展开(1)从感染到第一个病毒开始,经过5分钟,人体内改种病毒的总长度是多少纳米?
(2)从感染到第一个病毒开始,经过多少分钟,人体会感到不适?
2.你会求的值吗?这个问题看上去很复杂,我们可以先考虑简单的情况,通过计算,探索规律:
(1)由上面的规律我们可以大胆猜想,得到_____;
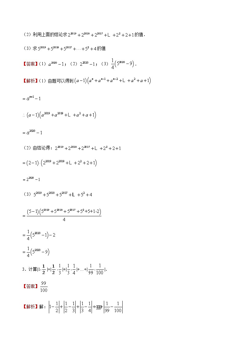
(2)利用上面的结论求的值.
(3)求的值
3.计算|1﹣|+|﹣|+|﹣|+…+|﹣|.
4.观察下列等式:
第1个等式:;第2个等式:;
第3个等式:;第4个等式:;
……
解答下列问题:
(1)按以上规律写出第5个等式:—————— = ——————.
(2)求的值.
(3)求的值.
5.阅读材料:求的值.
解:设,将等式的两边同乘以2,得
将下式减去上式得,
即.
即
请你仿照此法计算:
(1)填空: .
(2)求的值.
(3)求的值.(其中n为正整数)
6.在日历上,我们可以发现其中某些数满足一定的规律,图是年月份的日历,我们用如图所示的四边形框出五个数.
年月:
(1)将每个四边形框中最中间位置的数去掉后,将相对的两对数分别相减,再相加,例如:,.不难发现,结果都是.若设中间位置的数为,请用含的式子表示发现的规律,并写出验证过程.
(2)用同样的四边形框再框出个数,若其中最小数的倍与最大数的和为,求出这个数中的最大数的值.
(3)小明说:我用同样的四边形框也框出了个数,其中最小数与最大数的积是.请判断他的说法是否正确,并说明理由.
7.材料:若一个正整数,它的各个数位上的数字是左右对称的,则称这个正整数是对称数.例如:正整数22是两位对称数;正整数797是三位对称数;正整数4664是四位对称数;正整数12321是五位对称数.
根据材料,完成下列问题:
(1)最大的两位对称数与最小的三位对称数的和为___________
(2)若将任意一个四位对称数拆分为前两位数字顺次表示的两位数和后两位数字顺次表示的两位数,则这两个两位数的差一定能被9整除吗?请说明理由.
(3)如果一个四位对称数的个位数字与十位数字的和等于10,并且这个四位对称数能被7整除,请求出满足条件的四位对称数.
8.用棱长为的若干小正方体按如所示的规律在地面上搭建若干个几何体.图中每个几何体自上而下分别叫第一层、第二层,,第层(为正整数)
(1)搭建第④个几何体的小立方体的个数为 .
(2)分别求出第②、③个几何体的所有露出部分(不含底面)的面积.
(3)为了美观,若将几何体的露出部分都涂上油漆(不含底面),已知喷涂需要油漆克,求喷涂第个几何体,共需要多少克油漆?
9. 阅读下列解题过程:
, ,
请回答下列回题:
(1)观察上面的解答过程,请写出 ;
(2)请你用含n(n 为正整数)的关系式表示上述各式子的变形规律;
(3)利用上面的解法,请化简:
10.先化简,再求值:2x+y2-2x-y2x+y-5xy,其中x=2019,y=-1.
11.观察下列三行数,回答问题:
-1、+3、-5、 +7、-9、 +11、……
-3、 +1、-7、 +5、-11、+9、……
+3、-9、 +15、-21、+27、-33、……
(1)第①行第9个数是___________
第②行第9个数是___________
第③行第9个数是___________
(2)在第②行中,是否存在连续的三个数,使其和为83?若存在,求这三个数;若不存在,说明理由.
(3)是否存在第m列数(每行取第m个数),这三个数的和正好为-99?若存在,求m;若不存在,说明理由.
12.回答下列问题:
(1)填空:
___________________;
_____________________;
______________________.
(2)猜想:
___________________.(其中为正整数,且);
(3)利用(2)猜想的结论计算:
①;
②.
专题05 面积的最值问题-2022届中考数学压轴大题专项训练: 这是一份专题05 面积的最值问题-2022届中考数学压轴大题专项训练,文件包含专题05面积的最值问题解析版docx、专题05面积的最值问题原卷版docx等2份试卷配套教学资源,其中试卷共31页, 欢迎下载使用。
专题21 函数与几何的综合问题的常见压轴题-【聚焦压轴】2022届中考数学压轴大题专项训练1: 这是一份专题21 函数与几何的综合问题的常见压轴题-【聚焦压轴】2022届中考数学压轴大题专项训练1,文件包含专题21函数与几何的综合问题的常见压轴题解析版-聚焦压轴2022届中考数学压轴大题专项训练doc、专题21函数与几何的综合问题的常见压轴题原卷版-聚焦压轴2022届中考数学压轴大题专项训练doc等2份试卷配套教学资源,其中试卷共68页, 欢迎下载使用。
专题20 函数内综合问题的常见压轴题-【聚焦压轴】2022届中考数学压轴大题专项训练1: 这是一份专题20 函数内综合问题的常见压轴题-【聚焦压轴】2022届中考数学压轴大题专项训练1,文件包含专题20函数内综合问题的常见压轴题解析版-聚焦压轴2022届中考数学压轴大题专项训练doc、专题20函数内综合问题的常见压轴题原卷版-聚焦压轴2022届中考数学压轴大题专项训练doc等2份试卷配套教学资源,其中试卷共66页, 欢迎下载使用。

