所属成套资源:2022年中考数学二轮复习重难题型突破
类型6题型8其他探究题-2022年中考数学二轮复习重难题型突破试卷(教师版+学生版)
展开
这是一份类型6题型8其他探究题-2022年中考数学二轮复习重难题型突破试卷(教师版+学生版),文件包含题型8其他探究题教师版doc、题型8其他探究题学生版doc等2份试卷配套教学资源,其中试卷共37页, 欢迎下载使用。
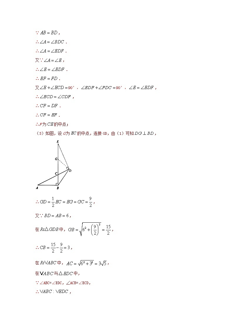
类型八 其他探究题【典例1】小明将两个直角三角形纸片如图(1)那样拼放在同一平面上,抽象出如图(2)的平面图形,与恰好为对顶角,,连接,,点F是线段上一点.探究发现:(1)当点F为线段的中点时,连接(如图(2),小明经过探究,得到结论:.你认为此结论是否成立?_________.(填“是”或“否”)拓展延伸:(2)将(1)中的条件与结论互换,即:若,则点F为线段的中点.请判断此结论是否成立.若成立,请写出证明过程;若不成立,请说明理由.问题解决:(3)若,求的长. 【典例2】如图,在菱形ABCD中,AB=AC,点E,F,G分别在边BC,CD上,BE=CG,AF平分∠EAG,点H是线段AF上一动点(与点A不重合).(1)求证:△AEH≌△AGH;(2)当AB=12,BE=4时.①求△DGH周长的最小值;②若点O是AC的中点,是否存在直线OH将△ACE分成三角形和四边形两部分,其中三角形的面积与四边形的面积比为1:3.若存在,请求出的值;若不存在,请说明理由. 【典例3】综合与探究在平面直角坐标系中,抛物线y=x2+bx+c经过点A(﹣4,0),点M为抛物线的顶点,点B在y轴上,且OA=OB,直线AB与抛物线在第一象限交于点C(2,6),如图①.(1)求抛物线的解析式;(2)直线AB的函数解析式为 ,点M的坐标为 ,cos∠ABO= ;连接OC,若过点O的直线交线段AC于点P,将△AOC的面积分成1:2的两部分,则点P的坐标为 ;(3)在y轴上找一点Q,使得△AMQ的周长最小.具体作法如图②,作点A关于y轴的对称点A',连接MA'交y轴于点Q,连接AM、AQ,此时△AMQ的周长最小.请求出点Q的坐标;(4)在坐标平面内是否存在点N,使以点A、O、C、N为顶点的四边形是平行四边形?若存在,请直接写出点N的坐标;若不存在,请说明理由. 【典例4】已知正方形ABCD,点E在直线AD上(不与点A、D重合),连接BE,作EF⊥BE,且EF=BE,过点F作FG⊥BC,交直线BC于点G.(1)如图①,当点E在边AD上,点G在边BC的延长线上时,求证:AB+AE=BG;(2)如图②,当点E在边DA的延长线上,点G在边BC上时,FG交AD于点H,试猜想AB、AE与BG的关系,并加以证明;(3)如图③,当点E在边AD的延长线上,点G在边BC上时,FG交AD于点N,请直接写出线段AB、AE、BG之间的数量关系,不需要证明. 图① 图② 图③第4题图 【典例5】如图①,在等腰Rt△ABC和等腰Rt△EDB中,AC=BC,DE=BD,∠ACB=∠EDB=90°,P为AE的中点.(1)观察猜想连接PC、PD,则线段PC与PD的位置关系是________,数量关系是________;(2)探究证明如图②,当点E在线段AB上运动时,其他条件不变,作EF⊥BC于F,连接PF,试判断△PCF的形状,并说明理由;(3)拓展延伸在点E的运动过程中,当△PCF是等边三角形时,直接写出△ACB与△EDB的两直角边之比. 【典例6】问题背景:如图(1),已知,求证:;尝试应用:如图(2),在和中,,,与相交于点.点在边上,,求的值;拓展创新:如图(3),是内一点,,,,,直接写出的长. 【典例7】以下虚线框中为一个合作学习小组在一次数学实验中的过程记录,请阅读后完成虚线框下方的问题.(1)在中,,在探究三边关系时,通过画图,度量和计算,收集到,组数据如下表:(单位:厘米)(2)根据学习函数的经验,选取上表中和的数据进行分析;设,以为坐标,在图所示的坐标系中描出对应的点;连线;观察思考(3)结合表中的数据以及所面的图像,猜想.当 时,最大;(4)进一步C猜想:若中,,斜边为常数,),则 时,最大.推理证明(5)对(4)中的猜想进行证明.问题1.在图中完善的描点过程,并依次连线;问题2.补全观察思考中的两个猜想: _______ _______问题3.证明上述中的猜想:问题4.图中折线是一个感光元件的截面设计草图,其中点间的距离是厘米,厘米,平行光线从区域射入,线段为感光区城,当的长度为多少时,感光区域长度之和最大,并求出最大值. 【典例8】如图①,直线l经过点(4,0)且平行于y轴,二次函数y=ax2﹣2ax+c(a、c是常数,a<0)的图象经过点M(﹣1,1),交直线l于点N,图象的顶点为D,它的对称轴与x轴交于点C,直线DM、DN分别与x轴相交于A、B两点.(1)当a=﹣1时,求点N的坐标及的值;(2)随着a的变化,的值是否发生变化?请说明理由;(3)如图②,E是x轴上位于点B右侧的点,BC=2BE,DE交抛物线于点F.若FB=FE,求此时的二次函数表达式.
相关试卷
这是一份类型6题型7与面积有关的探究题-2022年中考数学二轮复习重难题型突破试卷(教师版+学生版),文件包含题型7与面积有关的探究题教师版doc、题型7与面积有关的探究题学生版doc等2份试卷配套教学资源,其中试卷共13页, 欢迎下载使用。
这是一份类型6题型6与圆有关的探究题-2022年中考数学二轮复习重难题型突破试卷(教师版+学生版),文件包含题型6与圆有关的探究题教师版doc、题型6与圆有关的探究题学生版doc等2份试卷配套教学资源,其中试卷共22页, 欢迎下载使用。
这是一份类型6题型5与平移有关的探究题-2022年中考数学二轮复习重难题型突破试卷(教师版+学生版),文件包含题型5与平移有关的探究题教师版doc、题型5与平移有关的探究题学生版doc等2份试卷配套教学资源,其中试卷共17页, 欢迎下载使用。

