高考数学(理数)一轮复习检测卷:3.4《函数f(x)=Asin(ωx+φ)的图象及应用》 (教师版)
展开高考数学一轮复习作业本3.4 函数f(x)=asin(ωx+φ)的图象及应用(含答案): 这是一份高考数学一轮复习作业本3.4 函数f(x)=asin(ωx+φ)的图象及应用(含答案),共7页。
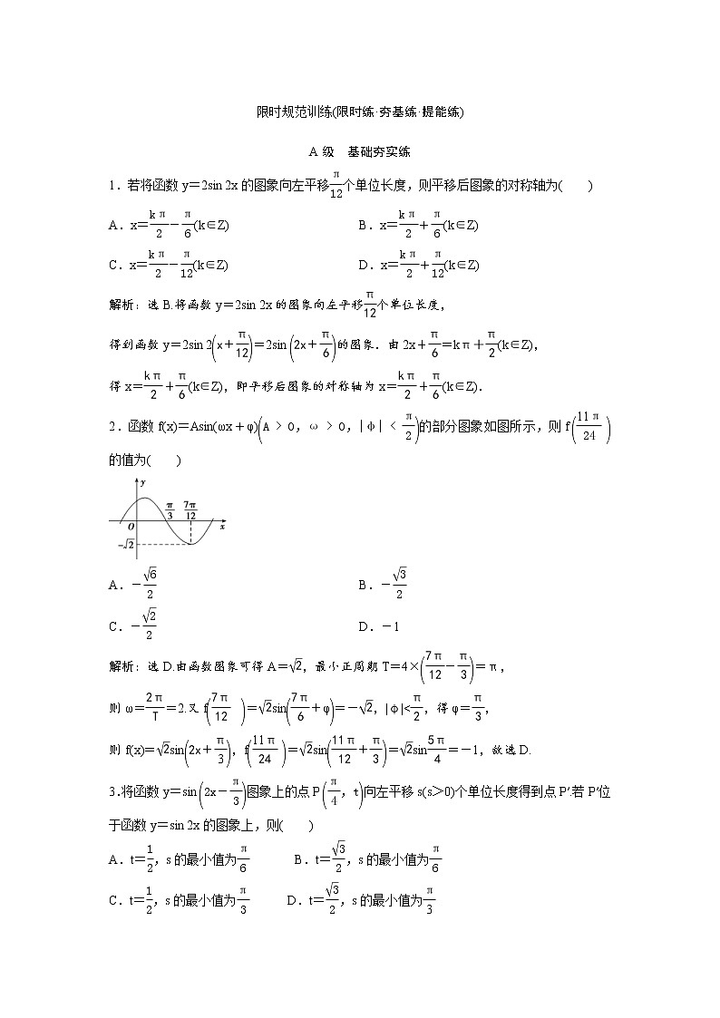
高考数学一轮复习检测:第3章第4节 函数f(x)=asin(ωx+φ)的图象及应用 含解析: 这是一份高考数学一轮复习检测:第3章第4节 函数f(x)=asin(ωx+φ)的图象及应用 含解析,共15页。
高考数学(文数)一轮复习课时练习:3.4《函数y=Asin(ωx+φ)的图象及模型的简单应用》(教师版): 这是一份高考数学(文数)一轮复习课时练习:3.4《函数y=Asin(ωx+φ)的图象及模型的简单应用》(教师版),共10页。

