所属成套资源:人教版新高考数学二轮复习习题训练
人教版新高考数学二轮复习课件--二级结论——【高效解题】
展开
这是一份人教版新高考数学二轮复习课件--二级结论——【高效解题】
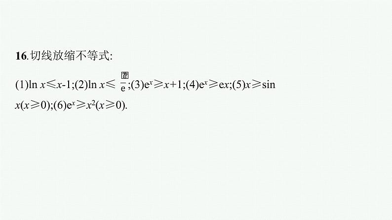
第二编2022高中总复习优化设计GAO ZHONG ZONG FU XI YOU HUA SHE JI内容索引1函数与导数2三角函数与解三角形3数列4立体几何5统计与概率6解析几何1函数与导数1.若f(x)为奇函数,且在x=0处有定义,则f(0)=0.2.若f(x)为偶函数,则f(-x)=f(x)=f(|x|).3.奇函数在关于原点对称的两个区间上的单调性相同,而偶函数则相反.4.f(x)与g(x)有一个为偶函数,则f[g(x)]为偶函数,只有f(x),g(x)全为奇函数,f[g(x)]才为奇函数.5.若奇函数f(x)在定义域D上有最值,则[f(x)]max+[f(x)]min=0.6.若g(x)=f(x)+k,其中f(x)为奇函数,则必有g(-x)+g(x)=2k.8.可导的偶函数的导函数是奇函数,可导的奇函数的导函数是偶函数.9.函数y=|x-a|+|x-b|的值域为[|a-b|,+∞),y=|x-a|-|x-b|的值域为[-|a-b|,|a-b|].13.关于周期性的几个结论:(1)若函数y=f(x)对∀x∈R,f(x+a)=f(x-a)恒成立,则函数y=f(x)的周期为2|a|;(2)若y=f(x)是偶函数,其图象关于直线x=a对称,则函数y=f(x)的周期为2|a|;(3)若y=f(x)是奇函数,其图象关于直线x=a对称,则函数y=f(x)的周期为4|a|;(4)若函数y=f(x)的图象关于点(a,0),(b,0)对称(a≠b),则函数y=f(x)的周期为2|a-b|;(5)若函数y=f(x)的图象关于直线x=a,x=b对称(a≠b),则y=f(x)的周期为2|a-b|.14.函数f(x)=|logax|(a>0,且a≠1),若f(m)=f(n)(m≠n),则mn=1.15.函数与其反函数的图象关于直线y=x对称,且只有单调函数才具有反函数.16.切线放缩不等式: (1)ln x≤x-1;(2)ln x≤ ;(3)ex≥x+1;(4)ex≥ex;(5)x≥sin x(x≥0);(6)ex≥x2(x≥0). 2三角函数与解三角形1.当x>0时,总有sin xB⇔sin A>sin B⇔cos Acos β,sin β>cos α.8.在△ABC中,sin(A+B)=sin C;cos(A+B)=-cos C;tan(A+B)=-tan C;3数列1.与等差数列有关的结论 2.与等比数列有关的结论已知等比数列{an},公比为q,前n项和为Sn.(2)当公比q≠-1或q=-1且n为奇数时,Sn,S2n-Sn,S3n-S2n,…成等比数列(n∈N*).(3)若等比数列的项数为2n(n∈N*),奇数项之和为S奇,偶数项之和为S偶,则S偶=qS奇.(4)Sm+n=Sm+qmSn(m,n∈N*).4立体几何1.若一个平面图形的面积为S,其斜二测画法直观图的面积为S',则有2.正三棱锥的对棱异面垂直.3.若一个直三棱柱的一个侧面的面积为S,对棱与这个侧面之间的距离为h,4.从同一个点O出发的三条射线OA,OB,OC,若∠AOB=∠AOC,则点A在平面BOC上的射影在∠BOC的角平分线所在的直线上.5.若长方体的一条体对角线与从同一个顶点出发的三条棱所成的角分别为α,β,γ,则有sin2α+sin2β+sin2γ=2或cos2α+cos2β+cos2γ=1;若长方体的一条体对角线与从同一个顶点出发的三个侧面所成的角分别为α,β,γ,则有sin2α+sin2β+sin2γ=1或cos2α+cos2β+cos2γ=2.5统计与概率1.概率加法公式的推广(1)当一个事件包含多个结果时,要用到概率加法公式的推广,即P(A1∪A2∪…∪An)=P(A1)+P(A2)+…+P(An). (2)若A1,A2,…,An两两互斥,则P( )=1-P(A1∪A2∪…∪An)=1-P(A1)-P(A2)-…-P(An). 2.若Y=aX+b,其中a,b是常数,X是随机变量,则(1)E(aX+b)=aE(X)+b,D(aX+b)=a2D(X);(2)E(X1+X2)=E(X1)+E(X2);(3)D(X)=E(X2)-(E(X))2;(4)若X1,X2相互独立,则E(X1·X2)=E(X1)·E(X2).(5)若X~N(μ,σ2),则X的均值与方差分别为:E(X)=μ,D(X)=σ2.6解析几何1.直线系方程(1)平行于直线Ax+By+C=0的直线系方程:Ax+By+λ=0(λ≠C).(2)垂直于直线Ax+By+C=0的直线系方程:Bx-Ay+λ=0.(3)过两条已知直线A1x+B1y+C1=0,A2x+B2y+C2=0的交点的直线系方程:A1x+B1y+C1+λ(A2x+B2y+C2)=0(不包括直线A2x+B2y+C2=0)和A2x+B2y+C2=0.2.过圆或圆锥曲线上一点P(x0,y0)的切线方程(1)过圆C:(x-a)2+(y-b)2=R2上一点P(x0,y0)的切线方程为(x0-a)(x-a)+(y0-b)(y-b)=R2.(3)过抛物线C:y2=2px(p≠0)上一点P(x0,y0)的切线方程为y0y=p(x+x0). 3.椭圆、双曲线中焦点三角形的重要结论(1)椭圆的焦点三角形:椭圆上的点P(x0,y0)与两焦点构成的△PF1F2叫做焦点三角形.③焦点三角形的周长为2(a+c). (2)双曲线的焦点三角形:若P是双曲线上不同于实轴两端点的任意一点,F1,F2分别为双曲线的左、右焦点,则 ,其中θ=∠F1PF2.4.抛物线中的常用结论设AB是过抛物线y2=2px(p>0)焦点F的弦,若A(x1,y1),B(x2,y2),则5.椭圆、双曲线及抛物线中的斜率问题 图① 图②图③
相关课件
这是一份新高考数学二轮复习专题六微重点17抛物线的二级结论的应用课件,共55页。PPT课件主要包含了抛物线的焦点弦,考点一,核心提炼,考向2面积问题,因为p=2,易错提醒,定点问题,考点二,专题强化练,故选项D错误等内容,欢迎下载使用。
这是一份新高考数学二轮复习专题六微重点16椭圆、双曲线的二级结论的应用课件,共59页。PPT课件主要包含了焦点三角形,考点一,易错提醒,焦半径的数量关系,考点二,周角定理,考点三,由椭圆的性质可得,由椭圆的对称性可得,同理可得等内容,欢迎下载使用。
这是一份2023届高考数学二轮复习常考二级结论理解记课件,共40页。PPT课件主要包含了结论一,结论二,结论三,结论六,结论七,结论九,结论十,结论十一,结论十二,结论十三等内容,欢迎下载使用。

