- 2022届高考数学理一轮复习新人教版课件:第二章函数导数及其应用第十一节第1课时函数的导数与单调性 课件 3 次下载
- 2022届高考数学理一轮复习新人教版课件:第二章函数导数及其应用第十一节第2课时导数与函数的极值最值 课件 3 次下载
- 2022届高考数学理一轮复习新人教版课件:第二章函数导数及其应用第十二节第2课时导数与函数的零点问题 课件 2 次下载
- 2022届高考数学理一轮复习新人教版课件:第二章函数导数及其应用素养专题一化抽象为具体_抽象函数性质与应用 课件 2 次下载
- 2022届高考数学理一轮复习新人教版课件:第二章函数导数及其应用素养专题二有关x与exlnx的组合函数 课件 2 次下载
2022届高考数学理一轮复习新人教版课件:第二章函数导数及其应用第十二节第1课时导数与不等式问题
展开1.利用导数证明不等式若证明f(x)
3.利用导数研究函数的零点用导数研究函数的零点,一方面用导数判断函数的单调性,借助零点存在性定理判断;另一方面,也可将零点问题转化为函数图象的交点问题,利用数形结合来解决.
1.研究函数图象的交点、方程的根、函数的零点,归根到底是研究函数的性质,如单调性、极值等.2.给出了具体的函数关系式,只需研究这个函数的性质即可.3.函数关系式中含有比例系数,根据已知数据求出比例系数得到函数关系式,再研究函数的性质.4.没有给出函数关系,需要先建立函数关系,再研究函数的性质.
第一课时 导数与不等式问题
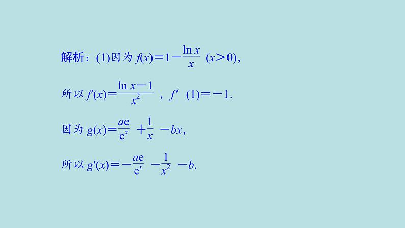
因为曲线y=f(x)与曲线y=g(x)的一个公共点是A(1,1),且在点A处的切线互相垂直,所以g(1)=1,且f′(1)·g′(1)=-1,所以g(1)=a+1-b=1,g′(1)=-a-1-b=1,解得a=-1,b=-1.
类型 2 分析函数法[例2] (2021·福建福州模拟)已知函数f(x)=eln x-ax(a∈R).(1)讨论f(x)的单调性;(2)当a=e时,证明:xf(x)-ex+2ex≤0.
方法总结 1.利用导数证明不等式的基本思路是依据函数的单调性,求得函数的最值,然后由f(x)≤f(x)max或f(x)≥f(x)min证得不等式.2.证明f(x)>g(x),可以构造函数h(x)=f(x)-g(x),然后利用h(x)的最值证明不等式.3.若直接求导比较复杂或无从下手时,可将待证式进行变形分拆,构造两个函数,从而找到可以传递的中间量,达到证明的目的.
2.已知函数f(x)=ex-ax(a为常数)的图象与y轴交于点A,曲线y=f(x)在点A处的切线的斜率为-1.(1)求a的值及函数f(x)的极值;(2)求证:当x>0时,x2<ex;(3)求证:对任意给定的正数c,总存在x0,使得当x∈(x0,+∞)时,恒有x2<cex.
解析:(1)由f(x)=ex-ax得f′(x)=ex-a,则f′(0)=1-a=-1,得a=2.所以f(x)=ex-2x,f′(x)=ex-2,令f′(x)=0,得x=ln 2.所以,当x<ln 2时,f′(x)<0,f(x)单调递减;当x>ln 2时,f′(x)>0,f(x)单调递增.故当x=ln 2时,f(x)有极小值且极小值为f(ln 2)=eln 2-2ln 2=2-ln 4,f(x)无极大值.
(2)证明:令g(x)=ex-x2(x∈(0,+∞)),则g′(x)=ex-2x,由(1)得g′(x)≥f(ln 2)>0,所以g(x)为增函数,因此,当x>0时,g(x)>g(0)=1>0,即x2<ex.
[典例剖析]类型 1 单变量不等式恒成立问题[例1] 已知函数f(x)=mex-x2.(1)若m=1,求曲线y=f(x)在(0,f(0))处的切线方程;(2)若关于x的不等式f(x)≥x(4-mex)在[0,+∞)上恒成立,求实数m的取值范围.
解析:(1)当m=1时,f(x)=ex-x2,所以f′(x)=ex-2x,所以f′(0)=1.又f(0)=1,所以曲线y=f(x)在(0,f(0))处的切线方程为y-1=x,即x-y+1=0.
类型 3 可转化为不等式恒成立的问题[例3] (2021·湖北十堰模拟)已知函数f(x)=axex-x2-2x.(1)当a=1时,求曲线y=f(x)在点(0,f(0))处的切线方程;(2)当x>0时,若曲线y=f(x)在直线y=-x的上方,求实数a的取值范围.解析:(1)当a=1时,f(x)=xex-x2-2x,其导数f′(x)=ex(x+1)-2x-2,f′(0)=-1.又因为f(0)=0,所以曲线y=f(x)在点(0,f(0))处的切线方程为y=-x.
方法总结1.求解不等式恒成立问题时,可以直接构造函数,然后用导数证明该函数的单调性,再利用函数的单调性,转化为判断该函数的最值的正负来求解参数的取值范围.
2.求解不等式恒成立问题时,也可以适当恒等变形,部分分离,化为过定点的直线与函数图象的位置关系,再利用导数的几何意义,转化为直线的斜率与过定点的切线的斜率的大小关系求解参数的取值范围.
[题组突破]1.(2021·重庆九校联盟联考)设函数f(x)=ex-a sin x.(1)当a=1时,证明:∀x∈(0,+∞),f(x)>1;(2)若∀x∈[0,+∞),f(x)≥0都成立,求实数a的取值范围.解析:(1)证明:由a=1知f(x)=ex-sin x,当x∈(0,+∞)时,f′(x)=ex-cs x>0,故f(x)在(0,+∞)上是增函数.又f(0)=1,故∀x∈(0,+∞),f(x)>f(0)=1,即当a=1时,∀x∈(0,+∞),f(x)>1.
2.(2021·湖北武汉质检)已知f(x)=x ln x,g(x)=x3+ax2-x+2.(1)求函数f(x)的单调区间;(2)若对任意x∈(0,+∞),2f(x)≤g′(x)+2恒成立,求实数a的取值范围.
方法总结不等式存在性问题,也是转化为函数最值问题,其关键点为:(1)∃x使f(x)≥a成立⇔f(x)max≥a.(2)∃x使f(x)≤b成立⇔f(x)min≤b.(3)∀x1∈M,∃x2∈N,f(x1)>g(x2)⇔f(x1)min>g(x2)min.(4)∃x1∈M,∃x2∈N,f(x1)>g(x2)⇔f(x1)max>g(x2)min.(5)∃x1∈M,∀x2∈N,f(x1)>g(x2)⇔f(x1)max>g(x2)max.
[对点训练]已知函数f(x)=ln x+-1.(1)求函数f(x)的单调区间;(2)设m∈R,对任意的a∈(-1,1),总存在x0∈[1,e],使得不等式ma-f(x0)<0成立,求实数m的取值范围.
2022届高考数学理一轮复习新人教版课件:第二章函数导数及其应用第十二节第2课时导数与函数的零点问题: 这是一份2022届高考数学理一轮复习新人教版课件:第二章函数导数及其应用第十二节第2课时导数与函数的零点问题,共43页。
2022届高考数学理一轮复习新人教版课件:第二章函数导数及其应用第十一节第2课时导数与函数的极值最值: 这是一份2022届高考数学理一轮复习新人教版课件:第二章函数导数及其应用第十一节第2课时导数与函数的极值最值,共43页。PPT课件主要包含了f′x<0,f′x>0,连续不断,-10等内容,欢迎下载使用。
2022届高考数学理一轮复习新人教版课件:第二章函数导数及其应用第十一节第1课时函数的导数与单调性: 这是一份2022届高考数学理一轮复习新人教版课件:第二章函数导数及其应用第十一节第1课时函数的导数与单调性,共46页。PPT课件主要包含了单调递增,单调递减,常数函数,-10等内容,欢迎下载使用。

