甘肃省天水市第一中学2020-2021学年高一下学期期末考试数学试题(含答案与解析)
展开满分:100分 时间:90分钟
一、单选题(每小题4分,共10小题,40分)
1.( )
A. B. C. D.
2.已知角的终边经过点,则( )
A. B. C. D.
3.已知,则( )
A. B. C. D.
4.向量,,若,则( )
A.2 B. C.3 D.5
5.设,是两个不共线的向量,若向量与向量共线,则( )
A. B. C. D.
6.如图所示,已知在中,是边上的中点,则( )
A. B. C. D.
7.在中,角、、所对的边分别是、、,若,则的形状为( )
A.等腰三角形 B.等边三角形 C.锐角三角形 D.钝角三角形
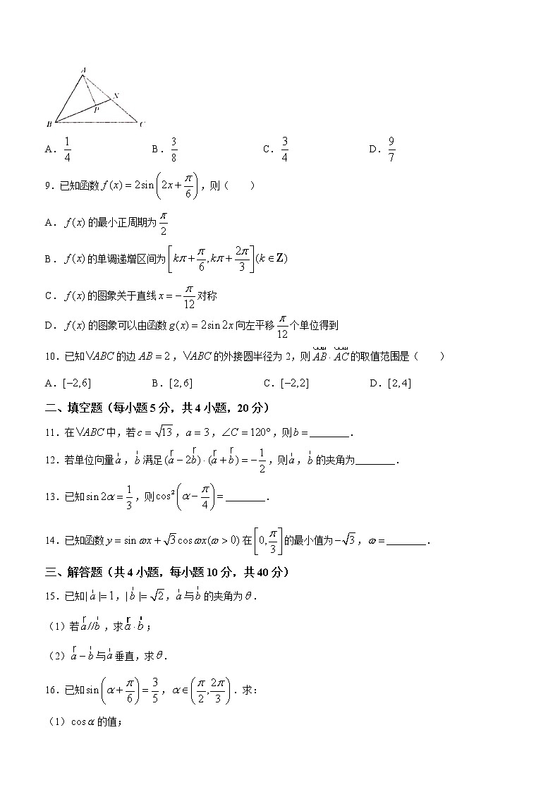
8.如图,在中,,是上的一点,,若,则实数的值为( )
A. B. C. D.
9.已知函数,则( )
A.的最小正周期为
B.的单调递增区间为
C.的图象关于直线对称
D.的图象可以由函数向左平移个单位得到
10.已知的边,的外接圆半径为2,则的取值范围是( )
A. B. C. D.
二、填空题(每小题5分,共4小题,20分)
11.在中,若,,,则________.
12.若单位向量,满足,则,的夹角为________.
13.已知,则________.
14.已知函数在的最小值为,________.
三、解答题(共4小题,每小题10分,共40分)
15.已知,,与的夹角为.
(1)若,求;
(2)与垂直,求.
16.已知,.求:
(1)的值;
(2)的值.
17.的内角,,的对边分别为,,,已知.
(1)求;
(2)若,的面积为,求的周长.
18.已知向量,,函数.
(1)求函数的最大值及最小正周期;
(2)将函数的图象向左平移个单位,得到函数的图象,求在上的值域.
参考答案
一、单选题(每小题4分,共10小题,40分)
1-5 ACBDD 6-10 BABDA
10.【详解】如图设的外接圆圆心为,
∵的边,的外接圆半径为2,
∴是等边三角形.
则
,
其中,则,于是,
故选:A.
二、填空题(每小题5分,共4小题,20分)
11.1 12. 13. 14.3
14.【详解】函数,
∵,∴
∵函数最小值为,则,∴.
三、解答题(共4小题,每小题10分,共40分)
15.(1);(2).
16.(1);(2)
17.【答案】解:(1)∵,
由正弦定理得:,
整理得:,
∵在中,,∴,即,
∴,即;
(2)由余弦定理得:,∴,
∵,∴,∴,
∴,∴的周长为.
18.【答案】(1)
.
所以函数的最大值为1,最小正周期为
(2)由(1)得.将函数的图象向左平移个单位后得到的图象.因此,
(3)又,所以,.
故在上的值域为.
2020-2021学年甘肃省天水市第一中学高一上学期第一学段考试数学试题(解析版): 这是一份2020-2021学年甘肃省天水市第一中学高一上学期第一学段考试数学试题(解析版),共13页。试卷主要包含了单选题,填空题,解答题等内容,欢迎下载使用。
甘肃省天水市第一中学2020-2021学年高一上学期第一学段考试数学试题 Word版含解析: 这是一份甘肃省天水市第一中学2020-2021学年高一上学期第一学段考试数学试题 Word版含解析,共14页。试卷主要包含了 设集合,则, 下列各组函数中,与相等的是, 已知函数,若,则的值为, 函数的奇偶性是等内容,欢迎下载使用。
甘肃省天水市田家炳中学2020-2021学年高一下学期期末考试数学试题(含答案): 这是一份甘肃省天水市田家炳中学2020-2021学年高一下学期期末考试数学试题(含答案),共8页。试卷主要包含了选择题,填空题,解答题等内容,欢迎下载使用。

