2023届高考一轮复习讲义(理科)第三章 导数及其应用 第3讲 高效演练分层突破学案
展开1.定积分eq \i\in(0,1,)(3x+ex)dx的值为( )
A.e+1 B.e
C.e-eq \f(1,2) D.e+eq \f(1,2)
解析:选D.eq \i\in(0,1,)(3x+ex)dx=eq \b\lc\(\rc\)(\a\vs4\al\c1(\f(3,2)x2+ex))eq \b\lc\|(\a\vs4\al\c1(1,0))=eq \f(3,2)+e-1=eq \f(1,2)+e.
2.若f(x)=eq \b\lc\{(\a\vs4\al\c1(lg x,x>0,,x+\a\vs4\al(\i\in(0,a,)3t2dt,x≤0,)))f(f(1))=1,则a的值为( )
A.1 B.2
C.-1 D.-2
解析:选A.因为f(1)=lg 1=0,f(0)=eq \i\in(0,a,)3t2dt=t3eq \b\lc\|(\a\vs4\al\c1(a,0))=a3,所以由f(f(1))=1得a3=1,所以a=1.
3.若f(x)=x2+2eq \i\in(0,1,)f(x)dx,则eq \i\in(0,1,)f(x)dx=( )
A.-1 B.-eq \f(1,3)
C.eq \f(1,3) D.1
解析:选B.因为f(x)=x2+2eq \i\in(0,1,)f(x)dx,
所以eq \i\in(0,1,)f(x)dx=eq \b\lc\(\rc\)(\a\vs4\al\c1(\f(1,3)x3+2x\a\vs4\al(\i\in(0,1,)f(x)dx)))eq \b\lc\|(\a\vs4\al\c1(1,0))
=eq \f(1,3)+2eq \i\in(0,1,)f(x)dx,所以eq \i\in(0,1,)f(x)dx=-eq \f(1,3).
4.设f(x)=eq \b\lc\{(\a\vs4\al\c1(\r(1-x2),x∈[-1,1],,x2-1,x∈(1,2],))则eq \i\in(-1,2,)f(x)dx的值为( )
A.eq \f(π,2)+eq \f(4,3) B.eq \f(π,2)+3
C.eq \f(π,4)+eq \f(4,3) D.eq \f(π,4)+3
解析:选A.eq \i\in(-1,2,)f(x)dx=eq \i\in(-1,1,)eq \r(1-x2)dx+eq \i\in(1,2,)(x2-1)dx=eq \f(1,2)π×12+eq \b\lc\(\rc\)(\a\vs4\al\c1(\f(1,3)x3-x))eq \b\lc\|(\a\vs4\al\c1(2,1))=eq \f(π,2)+eq \f(4,3),故选A.
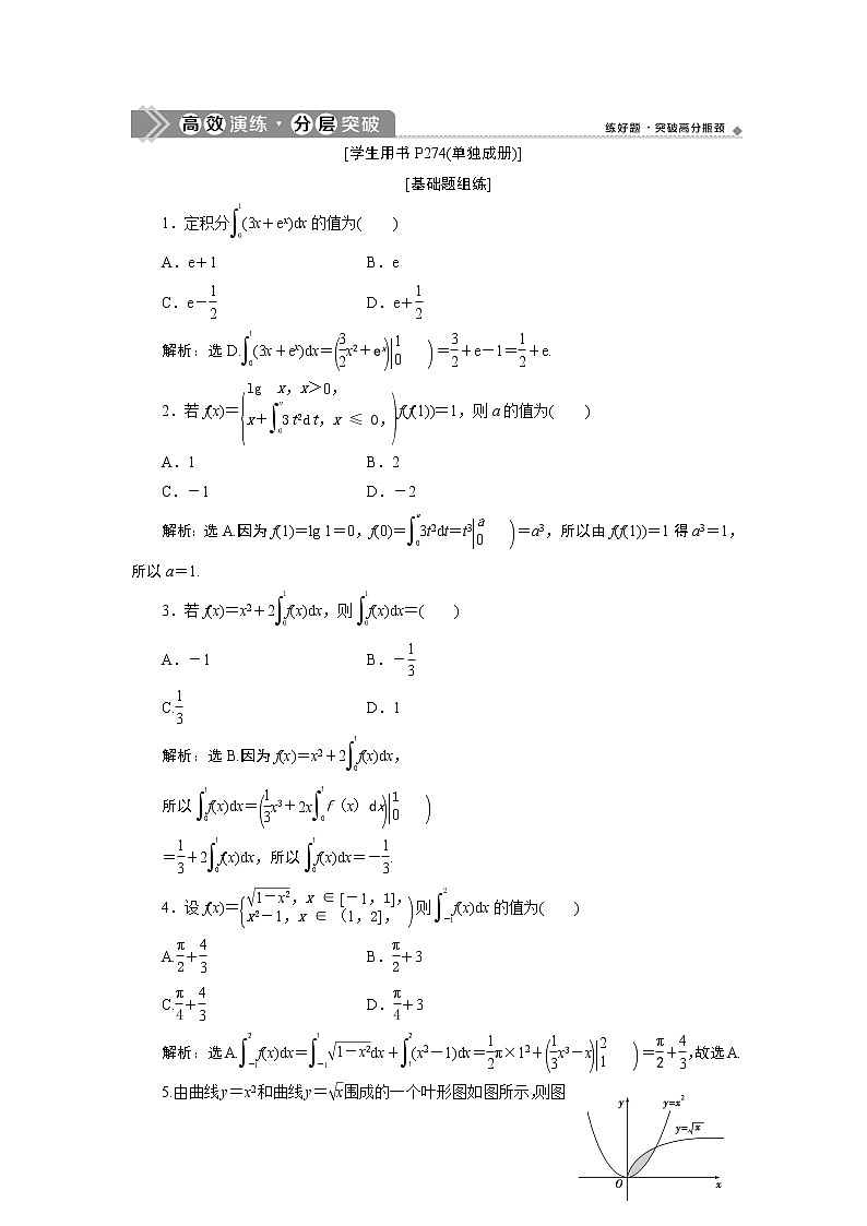
5.由曲线y=x2和曲线y=eq \r(x)围成的一个叶形图如图所示,则图中阴影部分的面积为( )
A.eq \f(1,3) B.eq \f(3,10)
C.eq \f(1,4) D.eq \f(1,5)
解析:选A.由eq \b\lc\{(\a\vs4\al\c1(y=x2,,y=\r(x),))解得eq \b\lc\{(\a\vs4\al\c1(x=0,,y=0))或eq \b\lc\{(\a\vs4\al\c1(x=1,,y=1,))所以阴影部分的面积为eq \i\in(0,1,)(eq \r(x)-x2)dx=eq \f(1,3).故选A.
6.定积分eq \i\in(-1,1,)(x2+sin x)dx=________.
解析:eq \i\in(-1,1,)(x2+sin x)dx
=eq \i\in(-1,1,)x2dx+eq \i\in(-1,1,)sin xdx
=2eq \i\in(0,1,)x2dx=2·eq \f(x3,3)eq \b\lc\|(\a\vs4\al\c1(1,0))=eq \f(2,3).
答案:eq \f(2,3)
7.eq \i\in(-1,1,)(x2tan x+x3+1)dx=________.
解析:因为x2tan x+x3是奇函数.
所以eq \i\in(-1,1,)(x2tan x+x3+1)dx=eq \i\in(-1,1,)1dx=x|eq \\al(1,-1)=2.
答案:2
8.一物体受到与它运动方向相反的力:F(x)=eq \f(1,10)ex+x的作用,则它从x=0运动到x=1时F(x)所做的功等于________.
解析:由题意知W=-eq \i\in(0,1,)eq \b\lc\(\rc\)(\a\vs4\al\c1(\f(1,10)ex+x))dx
=-eq \b\lc\(\rc\)(\a\vs4\al\c1(\f(1,10)ex+\f(1,2)x2))eq \b\lc\|(\a\vs4\al\c1(1,0))=-eq \f(e,10)-eq \f(2,5).
答案:-eq \f(e,10)-eq \f(2,5)
9.求下列定积分:
(1)eq \i\in(1,2,)eq \b\lc\(\rc\)(\a\vs4\al\c1(x-x2+\f(1,x)))dx;
(2)eq \i\in(-π,0,)(cs x+ex)dx.
解:(1)eq \i\in(1,2,)eq \b\lc\(\rc\)(\a\vs4\al\c1(x-x2+\f(1,x)))dx=eq \i\in(1,2,)xdx-eq \i\in(1,2,)x2dx+eq \i\in(1,2,)eq \f(1,x)dx
=eq \f(x2,2)eq \b\lc\|(\a\vs4\al\c1(2,1))-eq \f(x3,3)eq \b\lc\|(\a\vs4\al\c1(2,1))+ln xeq \b\lc\|(\a\vs4\al\c1(2,1))=eq \f(3,2)-eq \f(7,3)+ln 2=ln 2-eq \f(5,6).
(2)eq \i\in(-π,0,)(cs x+ex)dx=eq \i\in(-π,0,)cs xdx+eq \i\in(-π,0,)exdx
=sin xeq \b\lc\|(\a\vs4\al\c1(0,-π))+exeq \b\lc\|(\a\vs4\al\c1(0,-π))=1-eq \f(1,eπ).
10.已知函数f(x)=x3-x2+x+1,求其在点(1,2)处的切线与函数g(x)=x2围成的图形的面积.
解:因为(1,2)为曲线f(x)=x3-x2+x+1上的点,
设过点(1,2)处的切线的斜率为k,
则k=f′(1)
=(3x2-2x+1)|x=1=2,
所以过点(1,2)处的切线方程为y-2=2(x-1),即y=2x.
y=2x与函数g(x)=x2围成的图形如图中阴影部分所示,由eq \b\lc\{(\a\vs4\al\c1(y=x2,,y=2x))可得交点A(2,4),O(0,0),故y=2x与函数g(x)=x2围成的图形的面积
S=eq \i\in(0,2,)(2x-x2)dx=eq \b\lc\(\rc\)(\a\vs4\al\c1(x2-\f(1,3)x3))eq \b\lc\|(\a\vs4\al\c1(2,0))=4-eq \f(8,3)=eq \f(4,3).
[综合题组练]
1.由曲线xy=1,直线y=x,x=3所围成的封闭平面图形的面积为( )
A.eq \f(32,9) B.4-ln 3
C.4+ln 3 D.2-ln 3
解析:选B.画出平面图形,根据图形确定积分的上、下限及被积函数.由曲线xy=1,直线y=x,x=3所围成的封闭的平面图形如图所示:
由eq \b\lc\{(\a\vs4\al\c1(xy=1,,y=x,))得eq \b\lc\{(\a\vs4\al\c1(x=1,,y=1))
或eq \b\lc\{(\a\vs4\al\c1(x=-1,,y=-1.(舍)))
由eq \b\lc\{(\a\vs4\al\c1(y=x,,x=3,))得eq \b\lc\{(\a\vs4\al\c1(x=3,,y=3.))
故阴影部分的面积为eq \i\in(1,3,)eq \b\lc\(\rc\)(\a\vs4\al\c1(x-\f(1,x)))dx=
eq \b\lc\(\rc\)(\a\vs4\al\c1(\f(1,2)x2-ln x))eq \b\lc\|(\a\vs4\al\c1(3,,1))=4-ln 3.
2.设函数f(x)=ax2+c(a≠0),若eq \i\in(0,1,)f(x)dx=f(x0),0≤x0≤1,则x0的值为________.
解析:eq \i\in(0,1,)f(x)dx=eq \i\in(0,1,)(ax2+c)dx=eq \b\lc\(\rc\)(\a\vs4\al\c1(\f(1,3)ax3+cx))eq \b\lc\|(\a\vs4\al\c1(1,,0))=eq \f(1,3)a+c=f(x0)=axeq \\al(2,0)+c,
所以xeq \\al(2,0)=eq \f(1,3),x0=±eq \f(\r(3),3).
又因为0≤x0≤1,所以x0=eq \f(\r(3),3).
答案:eq \f(\r(3),3)
3.eq \i\in(-1,1,)(eq \r(1-x2)+ex-1)dx=________.
解析:eq \i\in(-1,1,)(eq \r(1-x2)+ex-1)dx
=eq \i\in(-1,1,)eq \r(1-x2)dx+eq \i\in(-1,1,)(ex-1)dx.
因为eq \i\in(-1,1,)eq \r(1-x2)dx表示单位圆的上半部分的面积,
所以eq \i\in(-1,1,)eq \r(1-x2)dx=eq \f(π,2).
而eq \i\in(-1,1,)(ex-1)dx=(ex-x)eq \b\lc\|(\a\vs4\al\c1(1,-1))
=(e1-1)-(e-1+1)=e-eq \f(1,e)-2,
所以eq \i\in(-1,1,)(eq \r(1-x2)+ex-1)dx=eq \f(π,2)+e-eq \f(1,e)-2.
答案:eq \f(π,2)+e-eq \f(1,e)-2
4.若函数f(x)在R上可导,f(x)=x3+x2f′(1),则eq \i\in(0,2,)f(x)dx=________.
解析:因为f(x)=x3+x2f′(1),
所以f′(x)=3x2+2xf′(1).
所以f′(1)=3+2f′(1),解得f′(1)=-3.
所以f(x)=x3-3x2.
故eq \i\in(0,2,)f(x)dx=eq \i\in(0,2,)(x3-3x2)dx=eq \b\lc\(\rc\)(\a\vs4\al\c1(\f(x4,4)-x3))eq \b\lc\|(\a\vs4\al\c1(2,0))=-4.
答案:-4
5.如图,在曲线C:y=x2,x∈[0,1]上取点P(t,t2),过点P作x轴的平行线l.曲线C与直线x=0,x=1及直线l围成的图形包括两部分,面积分别记为S1,S2.当S1=S2时,求t的值.
解:根据题意,直线l的方程是y=t2,且0<t<1.
结合题图,得交点坐标分别是
A(0,0),P(t,t2),B(1,1).
所以S1=eq \i\in(0,t,)(t2-x2)dx=eq \b\lc\(\rc\)(\a\vs4\al\c1(t2x-\f(1,3)x3))eq \b\lc\|(\a\vs4\al\c1(t,0))
=t3-eq \f(1,3)t3=eq \f(2,3)t3,0<t<1.
S2=eq \i\in(t,1,)(x2-t2)dx=eq \b\lc\(\rc\)(\a\vs4\al\c1(\f(1,3)x3-t2x))eq \b\lc\|(\a\vs4\al\c1(1,t))
=eq \b\lc\(\rc\)(\a\vs4\al\c1(\f(1,3)-t2))-eq \b\lc\(\rc\)(\a\vs4\al\c1(\f(1,3)t3-t3))
=eq \f(2,3)t3-t2+eq \f(1,3),0<t<1.
由S1=S2,
得eq \f(2,3)t3=eq \f(2,3)t3-t2+eq \f(1,3),
所以t2=eq \f(1,3).又0<t<1,所以t=eq \f(\r(3),3).
所以当S1=S2时,t=eq \f(\r(3),3).
2023届高考一轮复习讲义(理科)第三章 导数及其应用 第2讲 第1课时 高效演练分层突破学案: 这是一份2023届高考一轮复习讲义(理科)第三章 导数及其应用 第2讲 第1课时 高效演练分层突破学案,共7页。
2023届高考一轮复习讲义(理科)第三章 导数及其应用 第2讲 第4课时 高效演练分层突破学案: 这是一份2023届高考一轮复习讲义(理科)第三章 导数及其应用 第2讲 第4课时 高效演练分层突破学案,共4页。
2023届高考一轮复习讲义(理科)第三章 导数及其应用 第2讲 第3课时 高效演练分层突破学案: 这是一份2023届高考一轮复习讲义(理科)第三章 导数及其应用 第2讲 第3课时 高效演练分层突破学案,共4页。

