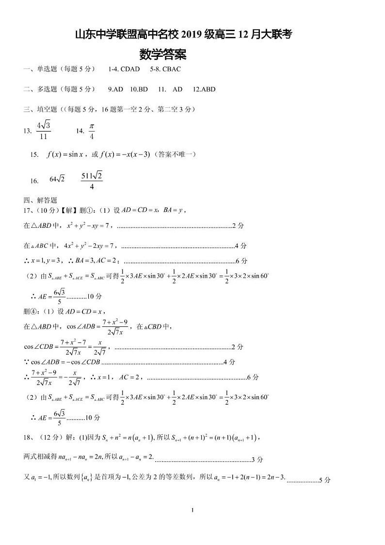
2022届山东中学联盟大联考数学试卷
展开2022-2023学年山东省实验中学百校联盟大联考(中学联盟)高三12月月考 数学 PDF版含答案: 这是一份2022-2023学年山东省实验中学百校联盟大联考(中学联盟)高三12月月考 数学 PDF版含答案,共16页。
2022-2023学年山东省实验中学百校联盟大联考(中学联盟)高三12月月考 数学(word版): 这是一份2022-2023学年山东省实验中学百校联盟大联考(中学联盟)高三12月月考 数学(word版),共16页。试卷主要包含了选择题的作答等内容,欢迎下载使用。
2022山东中学联盟高三12月联考数学试卷: 这是一份2022山东中学联盟高三12月联考数学试卷,共4页。

