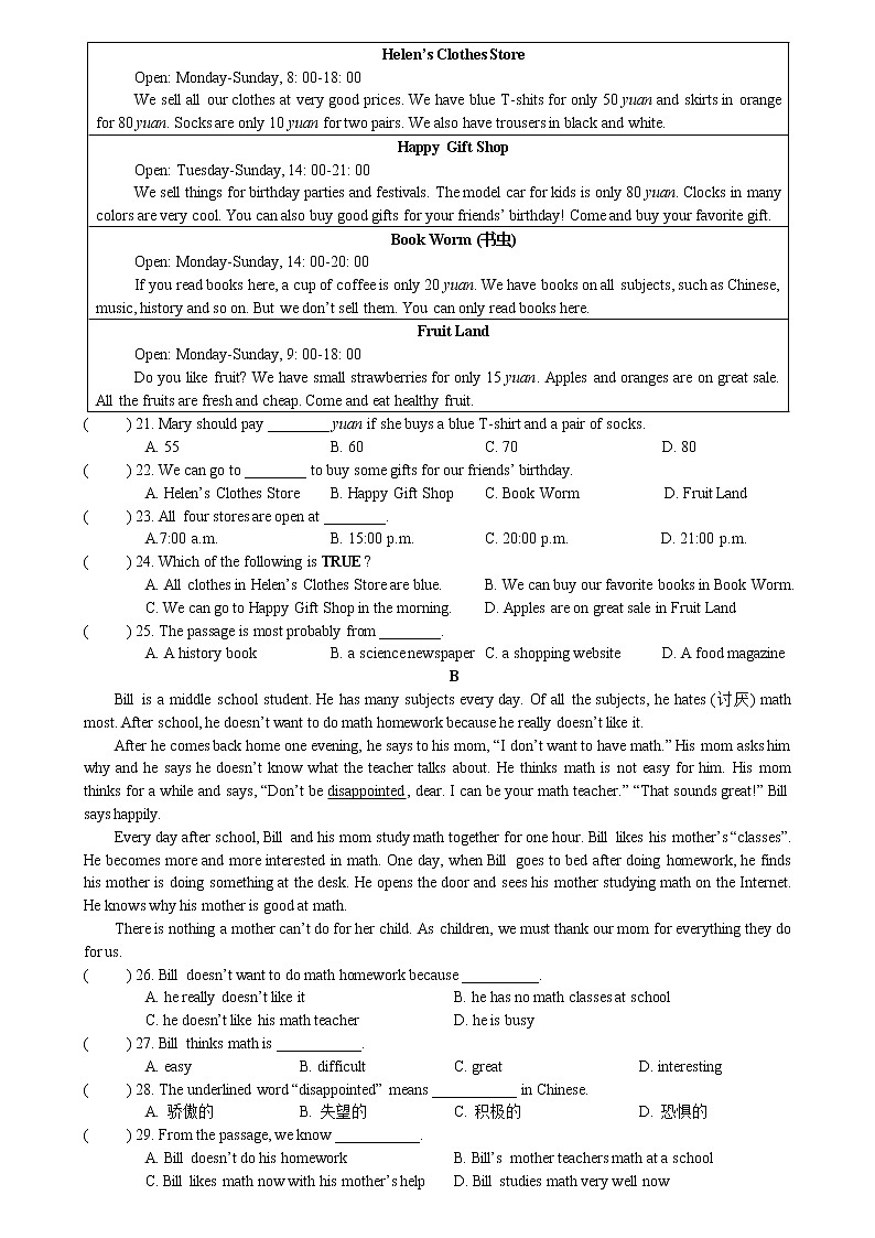
2021-2022学年度第一学期七年级英语期末综合复习卷二
展开综合复习二参考答案一、语法选择。1-5. ACABD 6-10 ABABC二、完形填空。11-15 BABCB 16-20 BDCAC三、阅读理解。21-25 ABBDC 26-30 ABBCC 31-35 EDGFC 四、单词拼写。36. Jack thinks science is very _______________ (有用的). 37. I like three _______________ (科目) best. They are Chinese, English and music. 38. Lucy likes traveling to many places and she likes _______________ (地理) very much. 39. I hope you can have a good _______________ (旅游) in Shanghai. 40. The sweater is on _______________ (特价销售) in the store.41. Playing computer games is _______________ (放松) for Mary.42. Lily is the _______________ (第一) one getting to the school in the class. 43. I have a set of _______________ (钥匙). 44. Baseball is a very _______________ (困难的) sport.45. Runners eat lots of _______________ (健康的) food.usefulsubjectsgeographytripsalerelaxingfirstkeysdifficultheathly五、翻译句子。46. What's your phone number? My phone number is 278-7056.47. You can ask Mary for your history book.48. Let's play basketball ! That sounds great.49. Come and buy your clothes at our great sale !50.He thinks it's good for him to eat rice for dinner.六、短文填空51. subject 52. sing 53. Because54. From 55.good七、回答问题。56. She is in London now.57. She has six lessons.58. Helen can have sports on Monday and Wednesday.59. She usually goes to the park and has a goog time with her family.60. Because her class is fun. Let me tell you something about my school life. I often get up at 7:00, and then drink some milk and eggs for breakfast. At 8:00, we start the first lesson. Our school have so many subjects, such as Chinese,math, English, geography, music, P.E. and so on. English is my favorite subject. After finishing four lessons in the morning, we have lunch at 12:00. 学校生活的基本情况(包括作息时间、课程等) In the afternoon, we can play games for an hour. Basketball is my favorite, because it's good for my health and can help me make more friends.喜欢的课后活动及原因(至少两个) I think my school life is pretty relaxing, and I will study harder here.对学校生活的看法
2022---2023学年度第一学期期末学力评估七年级英语卷: 这是一份2022---2023学年度第一学期期末学力评估七年级英语卷,共8页。
2022-2023学年度第一学期期末样卷 七年级英语: 这是一份2022-2023学年度第一学期期末样卷 七年级英语,共17页。试卷主要包含了 A, We like it等内容,欢迎下载使用。
八年级第一学期英语期末综合复习卷六: 这是一份八年级第一学期英语期末综合复习卷六,共4页。

