新教材(辅导班)高一数学寒假讲义05《三角函数》(解析版)学案
展开第五章 三角函数
注意事项:
1.答题前填写好自己的姓名、班级、考号等信息
2.请将答案正确填写在答题卡上
第I卷(选择题)
一、单选题(每题只有一个选项为正确答案,每题5分,共40分)
1.已知角的终边经过点,且,则( )
A. B. C. D.
【答案】D
【解析】角的终边经过点,由,可得,所以.
所以.故选D.
2.已知,则
A. B. C. D.
【答案】D
【解析】由得,故选D..
3.如果函数y=3cos(2x+φ)的图象关于点(,0)中心对称,那么|φ|的最小值为( )
A. B. C. D.
【答案】A
【解析】∵函数y=3cos(2x+φ)的图象关于点中心对称.
∴∴当时,有.故选:A.
4.已知函数,则在下列区间使函数单调递减的是( )
A. B. C. D.
【答案】C
【解析】依题意,函数,令,
解得,
所以函数 在 上先增后减,在 上单调递增,在 上单调递减,
在 上先增后减.故选C.
5.若为锐角,,则等于( )
A. B. C. D.
【答案】A
【解析】由角的关系可知
根据同角三角函数关系式,可得
所以选A
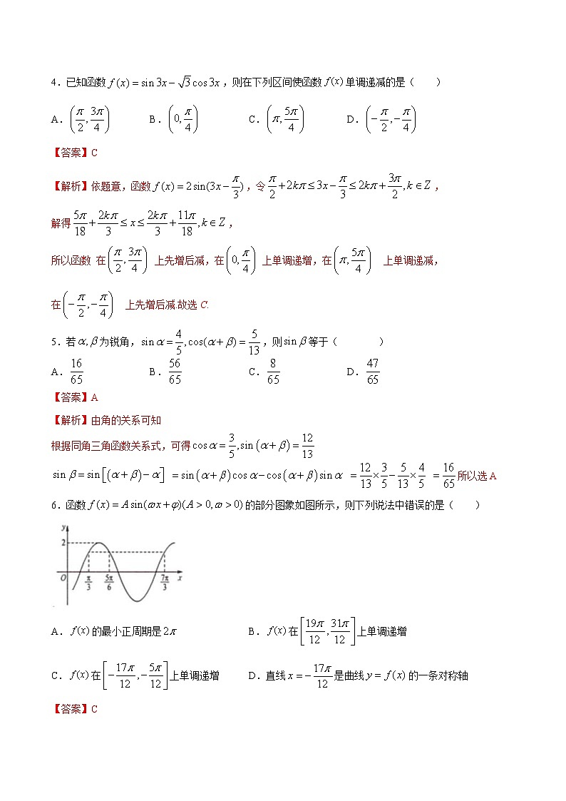
6.函数的部分图象如图所示,则下列说法中错误的是( )
A.的最小正周期是 B.在上单调递增
C.在上单调递增 D.直线是曲线的一条对称轴
【答案】C
【解析】由图可知,,该三角函数的最小正周期,故A项正确;
所以,则.
因为,所以该函数的一条对称轴为,
将代入,则,解得,
故.
令,得,
令,则故函数在上单调递增.故B项正确;
令,得,
令,故函数在上单调递减.故C项错误;
令,得,
令,故直线是的一条对称轴.故D项正确.故选C.
7.已知,则=( )
A. B. C. D.
【答案】B
【解析】由题意,
所以,
所以
.
故选B.
8.将函数的图象向右平移个单位长度后得到函数的图象,若,的图象都经过点,则的值可以是( )
A. B. C. D.
【答案】B
【解析】易得.
因为函数的图象过点,,所以代入函数解析式得.
所以.根据题意,得,
又因为的图象也经过点,所以代入得,
将、、或代入,只有成立.
故选B.
二、多选题(每题有多个选项为正确答案,每题5分,共20分)
9.设函数,给出下列命题,不正确的是( ).
A.的图象关于直线对称
B.的图象关于点对称
C.把的图象向左平移个单位长度,得到一个偶函数的图象
D.的最小正周期为,且在上为增函数
【答案】ABD
【解析】因为,所以A不正确;因为,所以B不正确;
因为函数的最小正周期为,但,所以D不正确;
把函数的图象向左平移个单位长度,得到函数的图象,函数为偶函数,所以C正确.
故选:ABD.
10.设函数,则( )
A.是偶函数 B.在区间上单调递增
C.最大值为2 D.其图象关于点对称
【答案】AD
【解析】 .
选项A: ,它是偶函数,正确;
选项B: ,所以,因此 是单调递减,错误;
选项C: 的最大值为,错误;
选项D:函数的对称中心为 ,,当,图象关于点 对称,
错误. 故选:AD
11.如图是函数在区间上的图象.为了得到这个函数的图象,只要将的图象上所有的点( ).
A.向左平移个单位长度,再把所得各点的横坐标缩短到原来的,纵坐标不变
B.向左平移个单位长度,再把所得各点的横坐标仲长到原来的,纵坐标不变
C.把所得各点的横坐标缩短到原来的,纵坐标不变,再向左平移个单位长度
D.向左平移个单位长度,再把所得各点的横坐标伸长到原来的2倍,纵坐标不变
【答案】AC
【解析】由图象知,A=1,T=π,所以=2,y=sin(2x+),将(,0)代入得:sin()=0,所以=kπ,,取=,得y=sin(2x+),
向左平移,得.然后各点的横坐标缩短到原来的,得.
故A正确.
各点的横坐标缩短到原来的,得.然后向左平移个单位,得.故C正确.故选:AC
12.函数的部分图像如图所示,将函数的图像向左平移个单位长度后得到的图像,则下列说法正确的是( )
A.函数为奇函数
B.函数的最小正周期为
C.函数的图像的对称轴为直线
D.函数的单调递增区间为
【答案】BD
【解析】由图象可知
,,∴,则.
将点的坐标代入中,整理得,
∴,即.,∴,
∴.
∵将函数的图象向左平移个单位长度后得到的图象,
∴.
∴既不是奇函数也不是偶函数,故A错误;
∴的最小正周期,故B正确.
令,解得
.则函数图像的对称轴为直线.故C错误;
由,可得,
∴函数的单调递增区间为.故D正确.
故选:BD.
第II卷(非选择题)
三、填空题(每题5分,共20分)
13.已知点P(tan α,cos α)在第三象限,则角α的终边在第________象限.
【答案】二
【解析】因为点P(tanα,cosα)在第三象限,所以tanα<0,cosα<0,
则角α的终边在第二象限,故答案为二.
14.函数=的最小值为_________.
【答案】
【解析】由函数
,
当时,即时,函数取得最小值.
15.已知,则______.
【答案】
【解析】因为,则.
16.已知函数的相邻两个对称中心距离为,且,将其上所有点的再向右平移个单位,纵坐标不变,横坐标变为原来的,得的图像,则的表达式为_______
【答案】.
【解析】由题意,函数的相邻两个对称中心距离为,解得,
且,即,因为,解得,
所以,
将图象上的点向右平移个单位,可得,
再把所得图象的纵坐标不变,横坐标变为原来的,可得的图象,
即函数的解析式为.
故答案为:.
四、解答题(17题10分,其余每题12分,共70分)
17.已知.
(Ⅰ)求的值;
(Ⅱ)求的值.
【答案】(Ⅰ);(Ⅱ).
【解析】解:(Ⅰ),解得;
(Ⅱ)=
.
18.已知角α的顶点与原点O重合,始边与x轴的非负半轴重合,它的终边过点P().
(Ⅰ)求sin(α+π)的值;
(Ⅱ)若角β满足sin(α+β)=,求cosβ的值.
【答案】(Ⅰ);(Ⅱ) 或 .
【解析】Ⅰ)由角的终边过点得,
所以.
(Ⅱ)由角的终边过点得,
由得.
由得,
所以或.
19.已知函数.
(1)求f(x)的最小正周期;
(2)求f(x)在上的值域.
【答案】(1);(2).
【解析】(1)由题意,函数
,
所以函数的最小正周期为。
(2)因为,则,可得,
所以,
故在上的值域为。
20.已知函数的图象在轴右侧的第一个最高点和第一个最低点的坐标分别为和.若将函数的图象向左平移个单位长度后得到的图象关于原点对称.
(1)求函数的解析式;
(2)若函数的周期为,当时,方程恰有两个不同的解,求实数的取值范围.
【答案】(1);(2)
【解析】(1)由题意可知函数的周期,且,所以,
故.将函数的图象向左平移个单位长度后得到的图象对应的函数解析式
为,因为函数的图象关于原点对称,
所以,即.
又,所以,故.
(2)由(1)得函数,其周期为,
又,所以.令,因为,所以,
若在上有两个不同的解,则,
所以当时,方程在上恰有两个不同的解,
即实数的取值范围是.
新教材(辅导班)高一数学寒假讲义03《函数概念与性质》(原卷版)学案: 这是一份新教材(辅导班)高一数学寒假讲义03《函数概念与性质》(原卷版)学案,共5页。学案主要包含了填空题(5分/题,共20分)等内容,欢迎下载使用。
新教材(辅导班)高一数学寒假讲义03《函数概念与性质》(解析版)学案: 这是一份新教材(辅导班)高一数学寒假讲义03《函数概念与性质》(解析版)学案,共11页。学案主要包含了填空题(5分/题,共20分)等内容,欢迎下载使用。
新教材(辅导班)高一数学寒假讲义01《集合与常用逻辑用语》(解析版)学案: 这是一份新教材(辅导班)高一数学寒假讲义01《集合与常用逻辑用语》(解析版)学案,共9页。学案主要包含了单选题,多选题,填空题(每题5分,共20分,解答题等内容,欢迎下载使用。

