2022版高考人教版数学一轮练习:练案【25理】【24文】 函数y=Asin(ωx+φ)的图象及应用
展开
这是一份2022版高考人教版数学一轮练习:练案【25理】【24文】 函数y=Asin(ωx+φ)的图象及应用,共11页。试卷主要包含了选择题,填空题,解答题等内容,欢迎下载使用。
A组基础巩固
一、选择题
1.(2021·永州模拟)函数y=2cseq \b\lc\(\rc\)(\a\vs4\al\c1(2x+\f(π,6)))的部分图象大致是( A )
[解析] 由y=2cseq \b\lc\(\rc\)(\a\vs4\al\c1(2x+\f(π,6)))可知,函数的最大值为2,故排除D;又因为函数图象过点eq \b\lc\(\rc\)(\a\vs4\al\c1(\f(π,6),0)),故排除B;又因为函数图象过点eq \b\lc\(\rc\)(\a\vs4\al\c1(-\f(π,12),2)),故排除C.
2.为了得到函数g(x)=sin x的图象,需将函数f(x)=sineq \b\lc\(\rc\)(\a\vs4\al\c1(\f(π,6)-x))的图象( D )
A.向左平移eq \f(π,6)个单位长度
B.向右平移eq \f(π,6)个单位长度
C.向左平移eq \f(5π,6)个单位长度
D.向右平移eq \f(5π,6)个单位长度
[解析] f(x)=sineq \b\lc\(\rc\)(\a\vs4\al\c1(\f(π,6)-x))=-sineq \b\lc\(\rc\)(\a\vs4\al\c1(x-\f(π,6)))=sineq \b\lc\(\rc\)(\a\vs4\al\c1(x-\f(π,6)+π))=sineq \b\lc\(\rc\)(\a\vs4\al\c1(x+\f(5π,6))),由f(x)=sineq \b\lc\(\rc\)(\a\vs4\al\c1(x+\f(5π,6)))的图象得到函数g(x)=sin x的图象,向右eq \f(5π,6)个单位长度即可.故选D.
3.将函数y=sin x的图象向左平移eq \f(π,2)个单位,得到函数y=f(x)的图象,则下列说法正确的是( D )
A.y=f(x)是奇函数
B.y=f(x)的周期为π
C.y=f(x)的图象关于直线x=eq \f(π,2)对称
D.y=f(x)的图象关于点eq \b\lc\(\rc\)(\a\vs4\al\c1(-\f(π,2),0))对称
[解析] 由题意知,f(x)=cs x,所以它是偶函数,A错;它的周期为2π,B错;它的对称轴是直线x=kπ,k∈Z,C错;它的对称中心是点eq \b\lc\(\rc\)(\a\vs4\al\c1(kπ+\f(π,2),0)),k∈Z,D对.
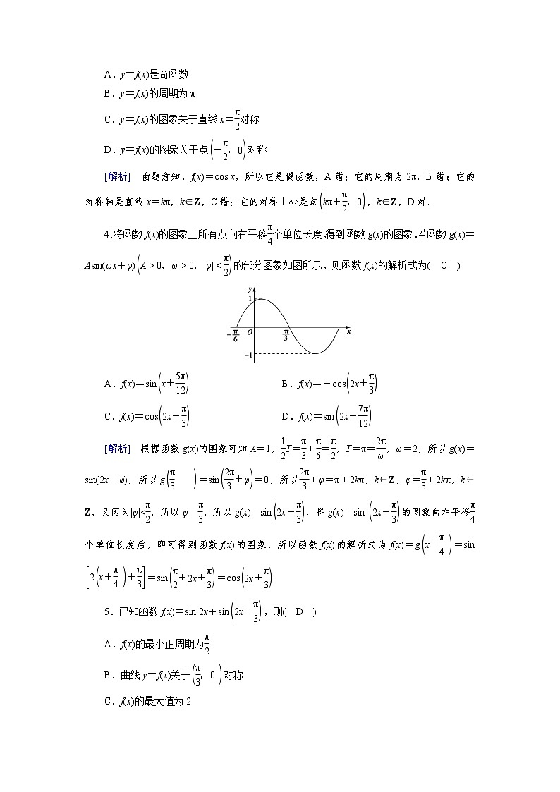
4.将函数f(x)的图象上所有点向右平移eq \f(π,4)个单位长度,得到函数g(x)的图象.若函数g(x)=Asin(ωx+φ)eq \b\lc\(\rc\)(\a\vs4\al\c1(A>0,ω>0,|φ|
相关试卷
这是一份高考数学一轮复习 专题5.5 函数y=Asin(ωx+φ)的图象及其应用(练),文件包含专题55函数y=Asinωx+φ的图象及其应用练教师版docx、专题55函数y=Asinωx+φ的图象及其应用练学生版docx等2份试卷配套教学资源,其中试卷共37页, 欢迎下载使用。
这是一份高考数学一轮复习考点规范练21函数y=Asinωx+φ的图象及应用含解析新人教A版理,共12页。
这是一份高考数学(理数)一轮复习课时作业21《函数y=Asin(ωx+φ)的图象及应用》(原卷版),共6页。

