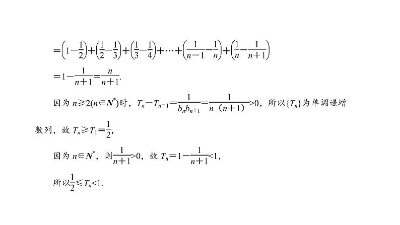
2022高考数学一轮总复习课件:综合突破三 数列综合问题
展开综合突破三 数列综合问题
广东专用2024版高考数学大一轮总复习第六章数列综合突破三数列综合问题课件: 这是一份广东专用2024版高考数学大一轮总复习第六章数列综合突破三数列综合问题课件,共53页。PPT课件主要包含了核心考点精准突破,课时作业知能提升,考点一基本综合问题,考点五奇偶数列等内容,欢迎下载使用。
《高考数学总复习》综合突破三 数列综合问题: 这是一份《高考数学总复习》综合突破三 数列综合问题
广东专用2023版高考数学一轮总复习第六章数列综合突破三数列综合问题课件: 这是一份广东专用2023版高考数学一轮总复习第六章数列综合突破三数列综合问题课件,共36页。

