2022版高三全国统考数学(文)大一轮备考课件:解题思维4 高考中结构不良试题的提分策略
展开2020年新高考试卷中出现了结构不良试题,所谓结构不良,就是试题不是完整呈现,一般需要考生从给出的多个条件中选出一个或两个补充完整进行解答,试题具有一定的开放性,不同的选择可能导致不同的结论,难度与用时也会有所不同.此类题型的设置一定程度上让学生参与了命题,从传统解题向解决问题的思维转变.如何选择条件,如何求解此类问题,以下给出了几个策略.
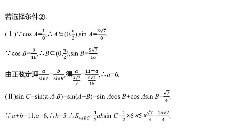
方法技巧 本题中,“定”的条件仅有一个,已经是最简结果,无论选择“动”的条件中的哪一个,其解题难度都差不多,此时,应根据自己的知识优势和擅长之处选择更适合自己的条件进行解答.即选择“动”的条件的原则是自己熟悉且擅长.
方法技巧 本题中,若先分析“定”的条件“a1,ak,Sk+2成等比数列”,则无法求解,反之,若先从“动”的条件入手,选择其一,则可求出{an}的通项公式,进而不难求出k的值.由此可知,“先动后定”也是解决有些结构不良试题的最优解法.
解析 (1)由题意知,a1,a2,a3的所有可能情况如下表:由上表可知,若选择条件①a1=2,或条件③a1=3,则满足条件的等差数列{an}均不存在.若选择条件②a1=1,则将a1放在第一行第二列时,满足条件的等差数列{an}存在,此时a1=1,a2=4,a3=7,则d=a2-a1=3,所以an=a1+(n-1)d=3n-2,n∈N*.
2022高三数学(理科)(全国版)一轮复习课件:解题思维4 高考中结构不良试题的提分策略: 这是一份2022高三数学(理科)(全国版)一轮复习课件:解题思维4 高考中结构不良试题的提分策略,共18页。PPT课件主要包含了考情解读等内容,欢迎下载使用。
2022版高三全国统考数学(文)大一轮备考课件:解题思维8 高考中概率、统计解答题的提分策略: 这是一份2022版高三全国统考数学(文)大一轮备考课件:解题思维8 高考中概率、统计解答题的提分策略,共24页。PPT课件主要包含了考情解读,思维导引,感悟升华等内容,欢迎下载使用。
2022版高三全国统考数学(文)大一轮备考课件:解题思维7 高考中圆锥曲线解答题的提分策略: 这是一份2022版高三全国统考数学(文)大一轮备考课件:解题思维7 高考中圆锥曲线解答题的提分策略,共24页。PPT课件主要包含了考情解读,感悟升华等内容,欢迎下载使用。

