高中数学9.3 数学探究活动:得到不可达两点之间的距离练习题
展开
这是一份高中数学9.3 数学探究活动:得到不可达两点之间的距离练习题,文件包含新教材精创期中模拟卷基础篇1-2019-2020学年下学期高一数学复课开学摸底考试卷人教B版必修第四册原卷版docx、新教材精创期中模拟卷基础篇1-2019-2020学年下学期高一数学复课开学摸底考试卷人教B版必修第四册解析版docx等2份试卷配套教学资源,其中试卷共22页, 欢迎下载使用。
2019-2020学年度高一上学期期中模拟测试卷数学试题(基础卷)(范围:人教B版必修三 三角函数、向量数量积、三角恒等变换(除二倍角公式),时间120分钟,满分150分)注意事项:
1.答卷前,考生务必将自己的姓名、考生号等填写在答题卡和试卷指定位置上。
2.回答选择题时,选出每小题答案后,用铅笔把答题卡上对应题目的答案标号涂黑。如需改动,用橡皮擦干净后,再选涂其他答案标号。回答非选择题时,将答案写在答题卡上。写在本试卷上无效。
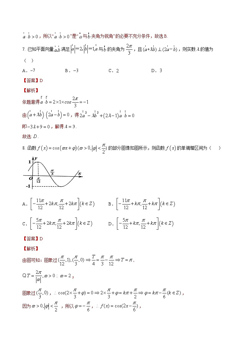
3.考试结束后,将本试卷和答题卡一并交回。一、选择题(本大题共12小题,每小题5分,共60分)1.角的终边在( )A.第一象限 B.第二象限 C.第三象限 D.第四象限 2.已知扇形的周长是,面积是,则扇形的中心角的弧度数是( )A. B. C.或 D.或 3.角的终边经过点且,则的值为( )A.6 B. C.3 D. 4.等于( )A.0 B. C. D.1 5..已知α为第二象限角,且 ,则的值是( )A. B. C. D. 6. 已知,为非零向量,则“”是“与夹角为锐角”的( )A.充分而不必要条件 B.必要而不充分条件C.充分必要条件 D.既不充分也不必要条件 7. 已知平面向量满足与的夹角为,且,则实数的值为( )A. B. C. D.8. 函数的部分图像如图所示,则函数的单调增区间为( )A. B.C. D. 9. 田忌赛马是中国古代对策论与运筹思想的著名范例.故事中齐将田忌与齐王赛马,孙膑献策以下马对齐王上马,以上马对齐王中马,以中马对齐王下马,结果田忌一负两胜从而获胜.该故事中以局部的牺牲换取全局的胜利成为军事上一条重要的用兵规律,在比大小游戏中(大者为胜),已知我方的三个数为,,,对方的三个数以及排序如表: 第一局第二局第三局对方当时,则我方必胜的排序是( )A. B. C. D. 10. 函数的图象向右平移个单位得到函数的图象,并且函数在区间上单调递增,在区间上单调递减,则实数的值为( )A. B. C.2 D. 11.对于函数,给出下列四个命题:①该函数的值域为;②当且仅当时,该函数取得最大值;③该函数是以为最小正周期的周期函数;④当且仅当时,.上述命题中正确命题的个数为( )A. B. C. D. 12.伟大的法国数学家笛卡儿创立了直角坐标系.他用平面上的一点到两条固定直线的距离来确定这个点的位置,用坐标来描述空间上的点,因此直角坐标系又被称为“笛卡尔系”;直角坐标系的引入,将诸多的几何学的问题归结成代数形式的问题,大大降低了问题的难度,而直角坐标系,在平面向量中也有着重要的作用;已知直角梯形中,,,,是线段上靠近的三等分点,是线段的中点,若,,则( )A. B. C. D. 二、填空题(本大题共4小题,每小题5分,共20分)13. 已知,,若,则__________. 14.若为锐角,,则__________. 15. 已知函数的图象由的图象向右平移个单位得到,这两个函数的部分图象如图所示,则_______.(请写出符合题意的一个值) 16.在平面直角坐标系中,已知任意角以坐标原点为顶点,轴的非负半轴为始边,若终边经过点,且,定义:,称“”为“正余弦函数”,对于“正余弦函数”,有同学得到以下性质:①该函数的值域为; ②该函数的图象关于原点对称;③该函数的图象关于直线对称; ④该函数为周期函数,且最小正周期为;⑤该函数的递增区间为.其中正确的是__________.(填上所有正确性质的序号) 三、解答题(本大题共6小题,共70分)17. 已知角的顶点与原点O重合,始边与轴的非负半轴重合,它的终边与单位圆交点为. (1)求 和的值;(2)求的值. 18.已知,,.(1)求向量,的夹角;(2)求. 19.在平面直角坐标系中,已知向量,,.(1)若,求的值;(2)若与的夹角为,求的值. 20. 已知函数.(1)在给定的坐标系内,用五点作图法画出函数在一个周期内的图象,并求函数的单调递减区间;(2) 若函数写出满足条件的的取值集合。 21. 已知函数(,)的图象与轴相切,且图象上相邻两个最高点之间的距离为.(1)求,的值;(2)求在上的最大值和最小值. 22. 函数(其中)的部分图象如图所示,把函数的图像向右平移个单位长度,再向下平移个单位,得到函数的图像.(1)当时,若方程恰好有两个不同的根,求的取值范围及的值;(2)令,若对任意都有恒成立,求的最大值
相关试卷
这是一份【新教材精创】提升篇(1)-下学期高一数学复课开学摸底考试卷(人教A版 必修第二册),文件包含新教材精创提升篇1-下学期高一数学复课开学摸底考试卷人教A版必修第二册原卷版docx、新教材精创提升篇1-下学期高一数学复课开学摸底考试卷人教A版必修第二册解析版docx等2份试卷配套教学资源,其中试卷共18页, 欢迎下载使用。
这是一份【新教材精创】提升篇(2)-下学期高一数学复课开学摸底考试卷(人教A版 必修第二册),文件包含新教材精创提升篇2-下学期高一数学复课开学摸底考试卷人教A版必修第二册原卷版docx、新教材精创提升篇2-下学期高一数学复课开学摸底考试卷人教A版必修第二册解析版docx等2份试卷配套教学资源,其中试卷共14页, 欢迎下载使用。
这是一份【新教材精创】基础篇(2)-下学期高一数学复课开学摸底考试卷(人教A版 必修第二册),文件包含新教材精创基础篇2-下学期高一数学复课开学摸底考试卷人教A版必修第二册原卷版docx、新教材精创基础篇2-下学期高一数学复课开学摸底考试卷人教A版必修第二册解析版docx等2份试卷配套教学资源,其中试卷共13页, 欢迎下载使用。

