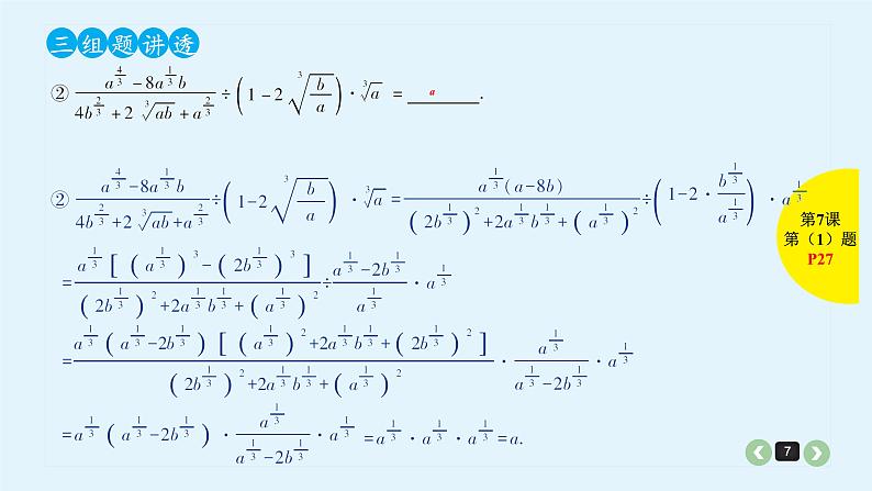
2020全国高考文数一轮复习课件 第7课 指数与指数函数
展开第7课 指数与指数函数
2020全国高考文数一轮复习课件 第45课 统计: 这是一份2020全国高考文数一轮复习课件 第45课 统计,共60页。PPT课件主要包含了普查讲45Ⅱ,一张图学透,四组题讲透,第9题,第10题,第11题,第12题,第13题,第14题,第15题等内容,欢迎下载使用。
2020全国高考文数一轮复习课件 第37课 圆与方程: 这是一份2020全国高考文数一轮复习课件 第37课 圆与方程,共60页。PPT课件主要包含了普查讲37Ⅱ,直线与圆的位置关系,圆与圆的位置关系,一张图学透,第37课圆与方程,三组题讲透,第6题,第7题,第8题,第9题等内容,欢迎下载使用。
2020全国高考文数一轮复习课件 第40课 抛物线: 这是一份2020全国高考文数一轮复习课件 第40课 抛物线,共60页。PPT课件主要包含了第40课抛物线,普查讲40Ⅱ,一张图学透,两组题讲透,第8题,第9题,第10题,第11题,第12题,第13题等内容,欢迎下载使用。

