- 山东专用2021新高考数学二轮复习板块1高考专题突破_选择题+填空题命题区间精讲精讲5概率与统计课件 课件 0 次下载
- 山东专用2021新高考数学二轮复习板块1高考专题突破_选择题+填空题命题区间精讲精讲6三角函数的概念图象与性质课件(1) 课件 0 次下载
- 山东专用2021新高考数学二轮复习板块1高考专题突破_选择题+填空题命题区间精讲精讲8数列课件 课件 0 次下载
- 山东专用2021新高考数学二轮复习板块1高考专题突破_选择题+填空题命题区间精讲精讲9空间几何体的表面积与体积课件(1) 课件 0 次下载
- 山东专用2021新高考数学二轮复习板块1高考专题突破_选择题+填空题命题区间精讲精讲10空间位置关系与空间角课件(1) 课件 0 次下载
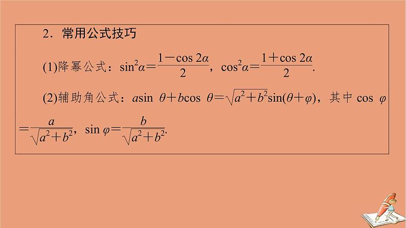
山东专用2021新高考数学二轮复习板块1高考专题突破_选择题+填空题命题区间精讲精讲7三角恒等变换与解三角形课件(1)
展开命题点1 三角恒等变换
命题点2 利用正、余弦定理解三角形
命题点3 正、余弦定理的实际应用
山东专用2021新高考数学二轮复习板块1高考专题突破_选择题+填空题命题区间精讲精讲18高考中的数学文化题课件(1): 这是一份山东专用2021新高考数学二轮复习板块1高考专题突破_选择题+填空题命题区间精讲精讲18高考中的数学文化题课件(1),PPT课件主要包含了命题点1,命题点2,栏目导航,命题点1数学名著,命题点2数学名人等内容,欢迎下载使用。
山东专用2021新高考数学二轮复习板块1高考专题突破_选择题+填空题命题区间精讲精讲14双曲线课件(1): 这是一份山东专用2021新高考数学二轮复习板块1高考专题突破_选择题+填空题命题区间精讲精讲14双曲线课件(1),共49页。PPT课件主要包含了命题点1,命题点2,栏目导航,专题限时集训等内容,欢迎下载使用。
山东专用2021新高考数学二轮复习板块1高考专题突破_选择题+填空题命题区间精讲精讲13椭圆课件(1): 这是一份山东专用2021新高考数学二轮复习板块1高考专题突破_选择题+填空题命题区间精讲精讲13椭圆课件(1),共60页。PPT课件主要包含了命题点1,命题点2,栏目导航,命题点3等内容,欢迎下载使用。

