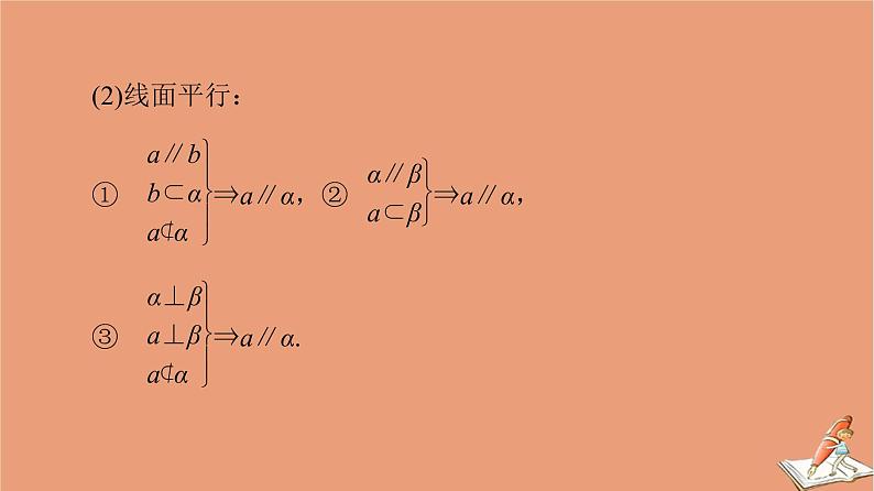
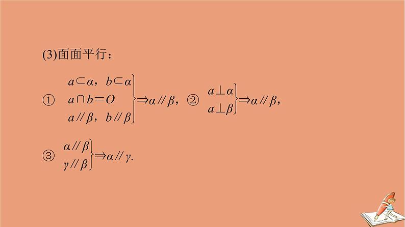
2021高考数学二轮复习板块3高考必备基础知识回扣回扣6立体几何课件
展开2021高考数学二轮复习板块3高考必备基础知识回扣回扣8统计与概率课件: 这是一份2021高考数学二轮复习板块3高考必备基础知识回扣回扣8统计与概率课件,共25页。
2021高考数学二轮复习板块3高考必备基础知识回扣回扣7解析几何课件(1): 这是一份2021高考数学二轮复习板块3高考必备基础知识回扣回扣7解析几何课件(1),共50页。
2021高考数学二轮复习板块3高考必备基础知识回扣回扣5数列课件(1): 这是一份2021高考数学二轮复习板块3高考必备基础知识回扣回扣5数列课件(1),共29页。

