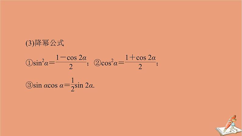
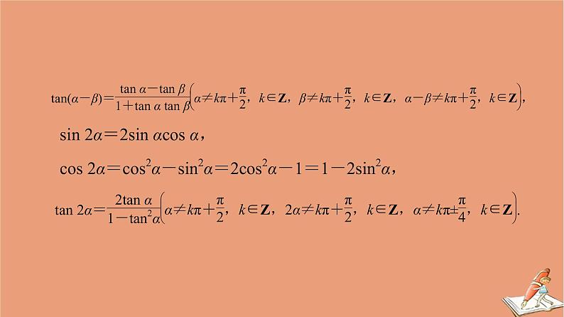
2021高考数学二轮复习板块3高考必备基础知识回扣回扣4三角函数与解三角形课件理
展开2021高考数学二轮复习板块3高考必备基础知识回扣回扣7解析几何课件理(1): 这是一份2021高考数学二轮复习板块3高考必备基础知识回扣回扣7解析几何课件理(1),共46页。
2021高考数学二轮复习板块3高考必备基础知识回扣回扣8统计与概率课件理: 这是一份2021高考数学二轮复习板块3高考必备基础知识回扣回扣8统计与概率课件理,共42页。
2021高考数学二轮复习板块3高考必备基础知识回扣回扣9算法与逻辑推理课件理: 这是一份2021高考数学二轮复习板块3高考必备基础知识回扣回扣9算法与逻辑推理课件理,共20页。

