专题25 y=Asin(wx+θ) 图像与性质的综合运用-2021年高考数学微专题(新高考地区专用)
展开
这是一份专题25 y=Asin(wx+θ) 图像与性质的综合运用-2021年高考数学微专题(新高考地区专用),文件包含专题25yAsinwx+θ图像与性质的综合运用原卷版docx、专题25yAsinwx+θ图像与性质的综合运用解析版docx等2份试卷配套教学资源,其中试卷共22页, 欢迎下载使用。
题型一 、图像与简单性质的考查
例1、(2020届山东省潍坊市高三上期中)已知函数,则( )
A.的最小正周期为B.图象的一条对称轴方程为
C.的最小值为D.的上为增函数
【答案】B
【解析】,
对A,的最小正周期为,故A错误;
对B,,图象的一条对称轴方程为,故B正确;
对C,的最小值为,故C错误;
对D,由,得,则在上先增后减,故D错误.
故选:B.
变式1、(2020届山东实验中学高三上期中)已知函数的图象关于直线对称,若,则的最小值为( )
A.B.C.D.
【答案】B
【解析】的图象关于直线对称,
,
即,,
则,
,
,或,,
即,一个为最大值,一个为最小值,
则的最小值为,
,
的最小值为,
即的最小值为.
故选:.
变式2、(2020·山东新泰市第一中学高三月考)将函数的图像向左平移个单位长度后,得到的图像,若函数在上单调递减,则正数的最大值为
A.B.1C.D.
【答案】A
【解析】依题意,,向左平移个单位长度得到.故,下面求函数的减区间:由,由于故上式可化为,由于函数在上单调递减,故,解得,所以当时,为正数的最大值.故选A.
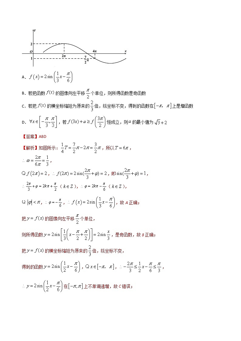
变式3、(2020·济南市历城第二中学高三月考)(多选题)函数(,)的部分图象如图所示,则下列结论正确的是( )
A.
B.若把函数的图像向左平移个单位,则所得函数是奇函数
C.若把的横坐标缩短为原来的倍,纵坐标不变,得到的函数在上是增函数
D.,若恒成立,则的最小值为
【答案】ABD
【解析】如图所示:,所以,
,
,,即,
(),(),
,,,故A正确;
把的图像向左平移个单位,
则所得函数,是奇函数,故B正确;
把的横坐标缩短为原来的倍,纵坐标不变,
得到的函数,,,
在上不单调递增,故C错误;
由可得,恒成立,
令,,则,
,,
,,
的最小值为,故D正确.
故选:ABD.
变式4、(2020届山东省枣庄市高三上学期统考)将函数的图象向右平移个单位长度得到图象,则下列判断正确的是( )
A.函数在区间上单调递增
B.函数图象关于直线对称
C.函数在区间上单调递减
D.函数图象关于点对称
【答案】ABD
【解析】函数的图像向右平移个单位长度得到.
由于,故是的对称轴,B选项正确.
由于,故是的对称中心,D选项正确.
由,解得,即在区间上递增,故A选项正确、C选项错误.
故选:ABD.
变式5、(2020届山东省烟台市高三上期末)已知函数的图象关于直线对称,则( )
A.函数为奇函数
B.函数在上单调递增
C.若,则的最小值为
D.函数的图象向右平移个单位长度得到函数的图象
【答案】AC
【解析】因为直线是的对称轴,
所以,则,
当时,,则,
对于选项A,,因为,所以为奇函数,故A正确;
对于选项B,,即,当时,在当单调递增,故B错误;
对于选项C,若,则最小为半个周期,即,故C正确;
对于选项D,函数的图象向右平移个单位长度,即,故D错误
故选:AC
题型二、与零点等函数性质的结合
例2、(2020届山东省滨州市高三上期末)已知函数的图象过点,则( )
A.把的图象向右平移个单位得到函数的图象
B.函数在区间上单调递减
C.函数在区间内有五个零点
D.函数在区间上的最小值为1
【答案】D
【解析】因为函数的图象过点,
所以,因此,
所以,
因此;
A选项,把的图象向右平移个单位得到函数的图象,故A错;
B选项,由得,即函数的单调递减区间是:,故B错;
C选项,由得,即,
因此,所以,共四个零点,故C错;
D选项,因为,所以,因此,所以,即的最小值为1,故D正确;
故选:D.
变式1、(2020·山东高三开学考试)将函数的图象向右平移个单位长度后得到函数的图象,且,则下列说法正确的是( )
A.为奇函数
B.
C.当时,在上有4个极值点
D.若在上单调递增,则的最大值为5
【答案】BCD
【解析】∵
∴,且,
∴,即为奇数,
∴为偶函数,故A错.
由上得:为奇数,∴,故B对.
由上得,当时,,,由图像可知在上有4个极值点,故C对,
∵在上单调,所以,解得:,又∵,
∴的最大值为5,故D对
故选:BCD.
变式2、(2021·山东滕州市第一中学新校高三月考)设函数g(x)=sinωx(ω>0)向左平移个单位长度得到函数f(x),已知f(x)在[0,2π]上有且只有5个零点,则下列结论正确的是( )
A.f(x)的图象关于直线对称
B.f(x)在(0,2π)上有且只有3个极大值点,f(x)在(0,2π)上有且只有2个极小值点
C.f(x)在上单调递增
D.ω的取值范围是[)
【答案】CD
【解析】依题意得, ,如图:
对于,令,,得,,所以的图象关于直线对称,故不正确;
对于,根据图象可知,,在有3个极大值点,在有2个或3个极小值点,故不正确,
对于,因为,,所以,解得,所以正确;
对于,因为,由图可知在上递增,因为,所以,所以在上单调递增,故正确;
故选:CD.
变式3、(2020·蒙阴县实验中学高三期末)关于函数的描述正确的是( )
A.其图象可由的图象向左平移个单位得到
B.在单调递增
C.在有2个零点
D.在的最小值为
【答案】ACD
【解析】由题:,
由的图象向左平移个单位,
得到,所以选项A正确;
令,得其增区间为
在单调递增,在单调递减,所以选项B不正确;
解,得:,,
所以取,所以选项C正确;
,,
所以选项D正确.
故选:ACD
二、达标训练
1、(2020届山东省枣庄、滕州市高三上期末)将曲线上各点的横坐标伸长到原来的2倍,纵坐标不变,再把得到的曲线向右平移个单位长度,得到曲线,则( )
A.1B.-1C.D.
【答案】D
【解析】把的图象向左平移个单位长度,得的图象,再把所得图象各点的横坐标变为原来的倍,纵坐标不变,得图象的函数式为,
,∴,
∴.
故选:D.
2、(2020·德州跃华学校高中部高三月考)已知函数的零点构成一个公差为的等差数列,把函数的图象沿轴向右平移个单位,得到函数的图象.关于函数,下列说法正确的是( )
A.在上是增函数B.其图象关于直线对称
C.函数是偶函数D.在区间上的值域为
【答案】D
【解析】f(x)=sinωxcsωx=2sin(ωx),
由函数f(x)的零点构成一个公差为的等差数列,
则周期T=π,即ω=2,
即f(x)=2sin(2x),
把函数f(x)的图象沿x轴向右平移个单位,得到函数g(x)的图象,
则g(x)=2sin[2(x)]=2sin2x,
当≤2x≤,即≤x≤, y=g(x)是减函数,故y=g(x)在[,]为减函数,
当2x=即x(k∈Z),y=g(x)其图象关于直线x(k∈Z)对称,且为奇函数,
故选项A,B,C错误,
当x时,2x∈[,],函数g(x)的值域为[,2],
故选项D正确,
故选D.
3、(2020届山东省滨州市三校高三上学期联考)设函数,则下列结论正确的是( )
A.是的一个周期B.的图像可由的图像向右平移得到
C.的一个零点为D.的图像关于直线对称
【答案】ACD
【解析】的最小正周期为,故也是其周期,故A正确;
的图像可由的图像向右平移得到,故B错误;
,故C正确;
,故D正确.
故选:ACD
4、(2020·山东省淄博实验中学高三上期末)已知函数,是的导函数,则下列结论中正确的是( )
A.函数的值域与的值域不相同
B.把函数的图象向右平移个单位长度,就可以得到函数的图象
C.函数和在区间上都是增函数
D.若是函数的极值点,则是函数的零点
【答案】CD
【解析】∵函数f(x)=sinx﹣csxsin(x)
∴g(x)=f'(x)=csx+sinxsin(x),
故函数函数f(x)的值域与g(x)的值域相同,
且把函数f(x)的图象向左平移个单位,就可以得到函数g(x)的图象,
存在x0=,使得函数f(x)在x0处取得极值且是函数的零点,
函数f(x)在上为增函数,g(x)在上也为增函数,∴单调性一致,
故选:CD.
5、(2020届山东省潍坊市高三上期末)已知的最小正周期为,则下列说法正确的有( )
A.
B.函数在上为增函数
C.直线是函数图象的一条对称轴
D.是函数图象的一个对称中心
【答案】BD
【解析】,
,
,故A不正确;
当时, 是函数的单调递增区间,故B正确;
当时,,,所以不是函数的对称轴,故C不正确;、
当时,,,所以是函数的一个对称中心,故D正确.
故选:BD
6、(2020届山东省济宁市高三上期末)将函数的图象向右平移个单位后得到函数的图象,则函数具有性质( )
A.在上单调递增,为偶函数B.最大值为1,图象关于直线对称
C.在上单调递增,为奇函数D.周期为,图象关于点对称
【答案】ABD
【解析】
则,单调递增,为偶函数, 正确错误;
最大值为,当时,为对称轴,正确;
,取,当时满足,图像关于点对称,正确;
故选:
7、(2020·山东师范大学附中高三月考)已知函数的部分图象如图所示,下列说法正确的是( )
A.函数的图象关于点对称
B.函数的图象关于直线对称
C.函数在单调递减
D.该图象向右平移个单位可得的图象
【答案】ABD
【解析】由函数的图象可得,周期,所以,
当时,函数取得最大值,即,所以,则,又,得,
故函数.
对于A,当时,,即点是函数的一个对称中心,故A正确;
对于B,当时,,即直线是函数的一条对称轴,故B正确;
对于C,令,解得,则函数的单调递减区间为,故C错误;
对于D,将的图象向右平移个单位后,得到的图象,即D正确.故选:ABD.
8、(2020·山东省实验中学高三月考)已知函数(),若将函数的图象向右平移个单位长度后,所得图象关于原点对称,则下列结论中不正确的是( )
A.B.是图象的一个对称中心
C.D.是图象的一条对称轴
【答案】ABC
【解析】函数的图象向右平移个单位,即,
由题意知:关于原点对称,,
∴,而,故,
∴,知:
则为对称中心;
;
, 则;
故选:ABC
9、(2020·博兴县第三中学高三月考)已知,下面结论正确的是( )
A.若f(x1)=1,f(x2)=,且的最小值为π,则ω=2
B.存在ω∈(1,3),使得f(x)的图象向右平移个单位长度后得到的图象关于y轴对称
C.若f(x)在[0,2π]上恰有7个零点,则ω的取值范围是
D.若f(x)在上单调递增,则ω的取值范围是(0,]
【答案】BCD
【解析】由题意,
A.题意说明函数相邻两个最值的横坐标之差为,周期为,,,A错;
B.f(x)的图象向右平移个单位长度后得到的图象解析式是,时,,是偶函数,图象关于轴对称,B正确;
C.时,,在上有7个零点,则,解得,C正确;
D.f(x)在上单调递增,则,又,故解得,D正确.
故选:BCD.
相关试卷
这是一份(新高考)高考数学一轮复习过关练考点12 y=Asin(wx+φ)的图像与性质(含解析),共20页。
这是一份专题06 函数单调性的综合运用-2022年高考数学微专题复习(新高考地区专用),文件包含专题06函数单调性的综合运用解析版docx、专题06函数单调性的综合运用原卷版docx等2份试卷配套教学资源,其中试卷共14页, 欢迎下载使用。
这是一份2022高考数学一轮复习专题25 y=Asin(wx+θ) 图像与性质的综合运用(解析卷),共16页。试卷主要包含了题型选讲,与零点等函数性质的结合等内容,欢迎下载使用。

