2021年高考考点完全题数学(文)考点通关练课件 第五章 不等式、推理与证明、算法初步与复数 33
展开第一部分 考点通关练第五章 不等式、推理与证明、算法初步与复数
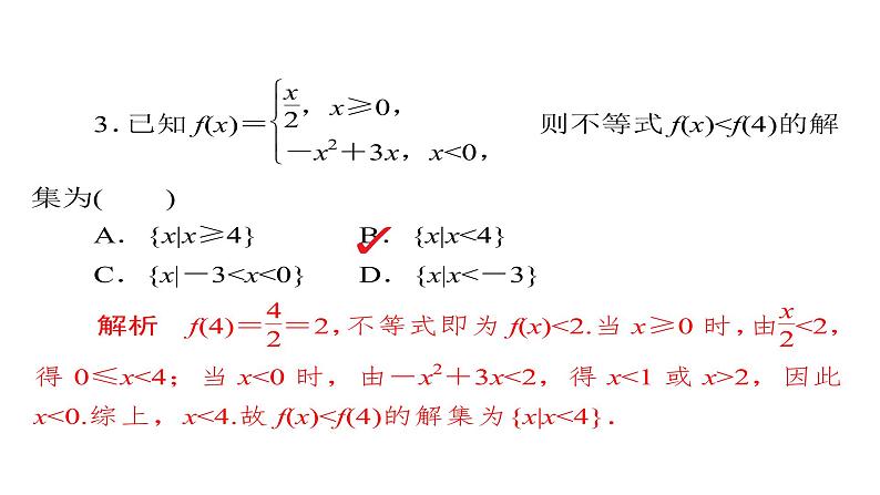
考点测试33 一元二次不等式及其解法
第1步 狂刷小题·练基础
第2步 精做大题·练能力
高中数学高考2018年高考考点完全题数学(文)考点通关练课件 第五章 不等式、推理与证明、算法初步与复数 33: 这是一份高中数学高考2018年高考考点完全题数学(文)考点通关练课件 第五章 不等式、推理与证明、算法初步与复数 33,共52页。
2021年高考考点完全题数学(文)考点通关练课件 第五章 不等式、推理与证明、算法初步与复数 38: 这是一份2021年高考考点完全题数学(文)考点通关练课件 第五章 不等式、推理与证明、算法初步与复数 38,共60页。
2021年高考考点完全题数学(文)考点通关练课件 第五章 不等式、推理与证明、算法初步与复数 39: 这是一份2021年高考考点完全题数学(文)考点通关练课件 第五章 不等式、推理与证明、算法初步与复数 39,共46页。PPT课件主要包含了考点测试39复数等内容,欢迎下载使用。

