2021年高考考点完全题数学(文)考点通关练课件 第二章 函数、导数及其应用 4
展开第一部分 考点通关练第二章 函数、导数及其应用
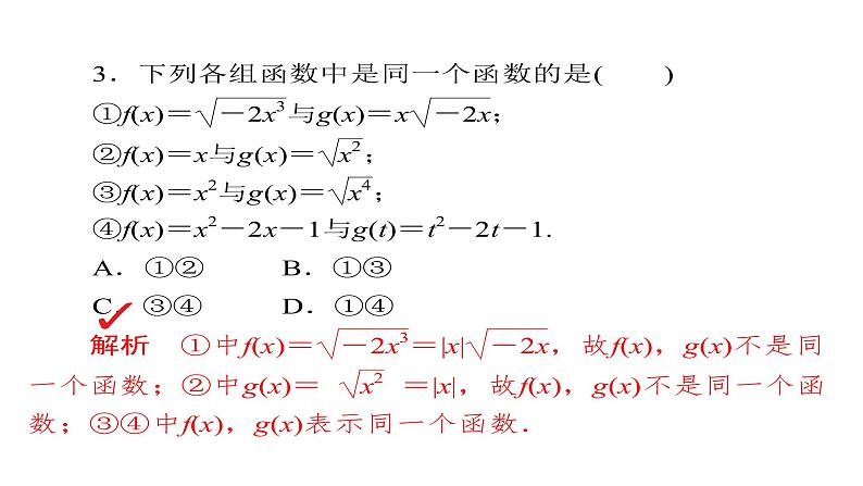
考点测试4 函数及其表示
第1步 狂刷小题·练基础
第2步 精做大题·练能力
2021年高考考点完全题数学(文)考点通关练课件 第二章 函数、导数及其应用 9: 这是一份2021年高考考点完全题数学(文)考点通关练课件 第二章 函数、导数及其应用 9,共50页。
2021年高考考点完全题数学(文)考点通关练课件 第二章 函数、导数及其应用 14: 这是一份2021年高考考点完全题数学(文)考点通关练课件 第二章 函数、导数及其应用 14,共59页。
2021年高考考点完全题数学(文)考点通关练课件 第二章 函数、导数及其应用 8: 这是一份2021年高考考点完全题数学(文)考点通关练课件 第二章 函数、导数及其应用 8,共59页。

