2021年高考考点完全题数学(理)专题突破练课件_(6) 圆锥曲线定点、定值、最值、范围、探索性问题
展开第二部分 专题突破练
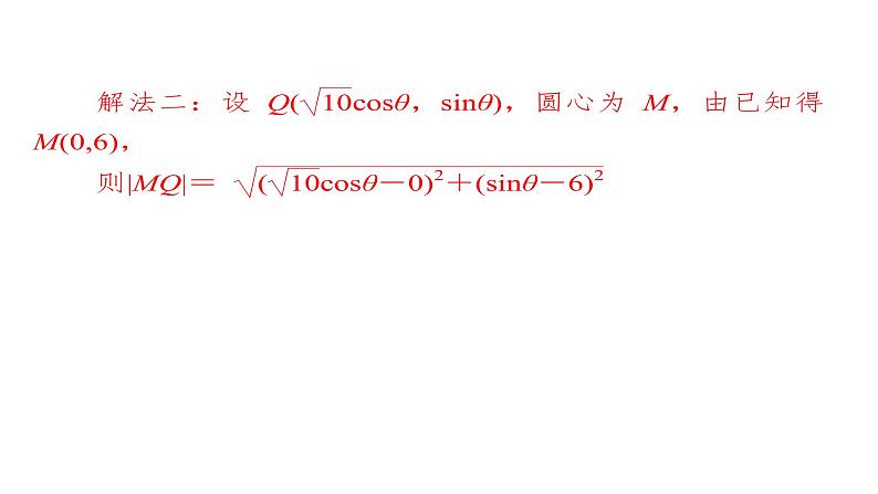
专题突破练(6) 圆锥曲线定点、定值、最值、范围、探索性问题
适用于新高考新教材2024版高考数学二轮复习考点突破练14圆锥曲线中的定点定值探索性问题课件: 这是一份适用于新高考新教材2024版高考数学二轮复习考点突破练14圆锥曲线中的定点定值探索性问题课件,共18页。
2024届高考数学二轮复习专题4圆锥曲线中的定点、定值、存在性问题课件: 这是一份2024届高考数学二轮复习专题4圆锥曲线中的定点、定值、存在性问题课件,共30页。
高考数学(理)一轮复习课件+讲义 第9章 第9讲 第2课时 定点、定值、探索性问题: 这是一份高考数学(理)一轮复习课件+讲义 第9章 第9讲 第2课时 定点、定值、探索性问题,文件包含高考数学理一轮复习课件第9章第9讲第2课时定点定值探索性问题pptx、高考数学理一轮复习讲义第9章第9讲第2课时定点定值探索性问题doc等2份课件配套教学资源,其中PPT共57页, 欢迎下载使用。

