2021年高考考点完全题数学(理)专题突破练课件_(2) 利用导数研究不等式与方程的根
展开第二部分 专题突破练
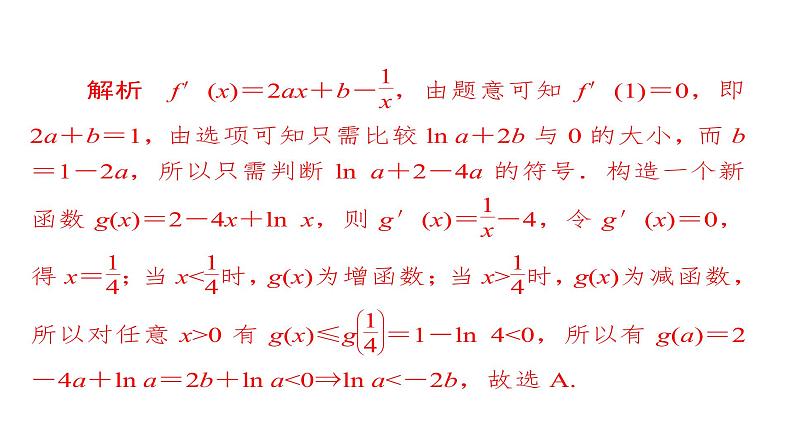
专题突破练(2) 利用导数研究不等式与方程的根
高中数学高考2018年高考考点完全题数学(理)专题突破练课件_(7) 概率与其他知识的交汇: 这是一份高中数学高考2018年高考考点完全题数学(理)专题突破练课件_(7) 概率与其他知识的交汇,共46页。
高中数学高考2018年高考考点完全题数学(理)专题突破练课件_(2) 利用导数研究不等式与方程的根: 这是一份高中数学高考2018年高考考点完全题数学(理)专题突破练课件_(2) 利用导数研究不等式与方程的根,共39页。
高中数学高考2018年高考考点完全题数学(理)专题突破练课件_(1) 函数的综合问题: 这是一份高中数学高考2018年高考考点完全题数学(理)专题突破练课件_(1) 函数的综合问题,共42页。

