2021年高考考点完全题数学(理)考点通关练课件 第三章 三角函数、解三角形与平面向量 24
展开第一部分 考点通关练第三章 三角函数、解三角形与平面向量
考点测试24 正弦定理和余弦定理
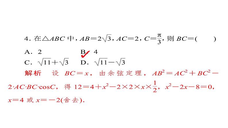
第1步 狂刷小题·练基础
第2步 精做大题·练能力
2021年高考考点完全题数学(文)考点通关练课件 第三章 三角函数、解三角形与平面向量 24: 这是一份2021年高考考点完全题数学(文)考点通关练课件 第三章 三角函数、解三角形与平面向量 24,共60页。
2021年高考考点完全题数学(理)考点通关练课件 第三章 三角函数、解三角形与平面向量 25: 这是一份2021年高考考点完全题数学(理)考点通关练课件 第三章 三角函数、解三角形与平面向量 25,共60页。
2021年高考考点完全题数学(理)考点通关练课件 第三章 三角函数、解三角形与平面向量 27: 这是一份2021年高考考点完全题数学(理)考点通关练课件 第三章 三角函数、解三角形与平面向量 27,共56页。

