2020届湖北省名师联盟高三下学期4月月考仿真卷理科数学试题(解析版)
展开2020届湖北省名师联盟高三下学期4月月考仿真卷
理科数学
注意事项:
1.答题前,先将自己的姓名、准考证号填写在试题卷和答题卡上,并将准考证号条形码粘贴在答题卡上的指定位置。
2.选择题的作答:每小题选出答案后,用2B铅笔把答题卡上对应题目的答案标号涂黑,写在试题卷、草稿纸和答题卡上的非答题区域均无效。
3.非选择题的作答:用签字笔直接答在答题卡上对应的答题区域内。写在试题卷、草稿纸和答题卡上的非答题区域均无效。
4.考试结束后,请将本试题卷和答题卡一并上交。
第Ⅰ卷
一、选择题:本大题共12小题,每小题5分,共60分.在每小题给出的四个选项中,只有一项是符合题目要求的.
1.已知集合,,则等于( )
A. B. C. D.
2.已知双曲线的渐近线方程为,则该双曲线的焦距为( )
A. B.2 C. D.4
3.某工厂利用随机数表对生产的600个零件进行抽样测试,先将600个零件进行编号,编号分别为001,002,…,599,600,从中抽取60个样本,下面提供随机数表的第4行到第6行:
若从表中第6行第6列开始向右依次读取3个数据,则得到的第5个样本编号是( )
A.522 B.324 C.535 D.578
4.在等差数列中,,则此数列的前13项的和等于( )
A.16 B.26 C.8 D.13
5.我国古代有着辉煌的数学研究成果,其中《周髀算经》、《九章算术》、《海岛算经》、《孙子算经》、《缉古算经》有着丰富多彩的内容,是了解我国古代数学的重要文献.这5部专著中有3部产生于汉、魏、晋、南北朝时期.现拟从这5部专著中选择2部作为学生课外兴趣拓展参考书目,则所选2部专著中至少有一部不是汉、魏、晋、南北朝时期专著的概率为( )
A. B. C. D.
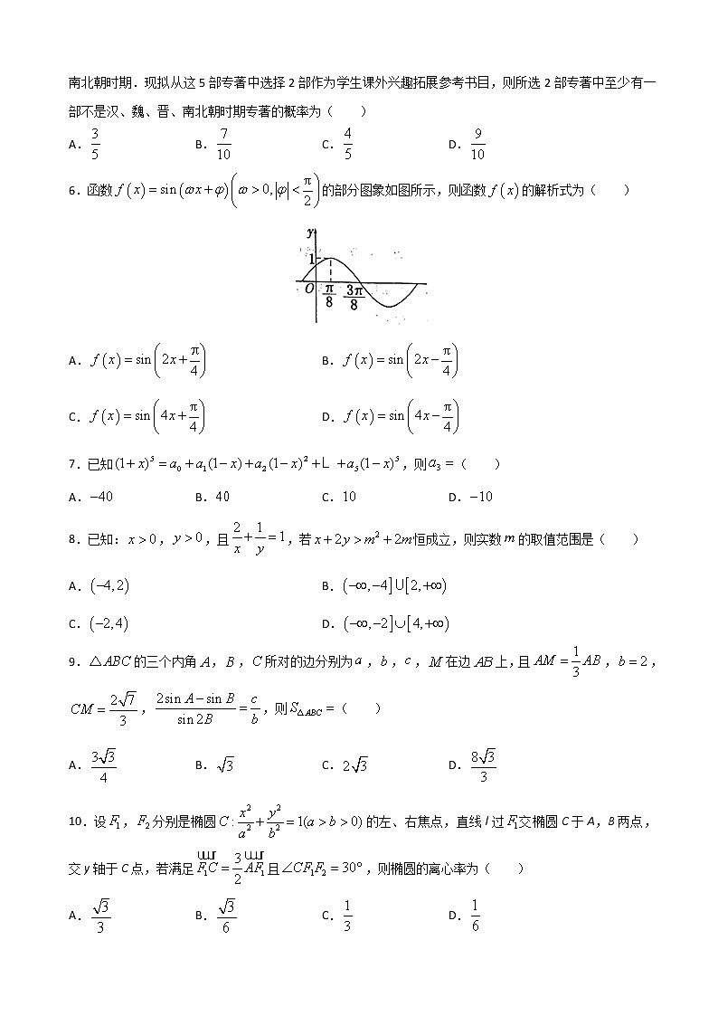
6.函数的部分图象如图所示,则函数的解析式为( )
A. B.
C. D.
7.已知,则( )
A. B. C. D.
8.已知:,,且,若恒成立,则实数的取值范围是( )
A. B.
C. D.
9.的三个内角,,所对的边分别为,,,在边上,且,,,,则( )
A. B. C. D.
10.设,分别是椭圆的左、右焦点,直线l过交椭圆C于A,B两点,交y轴于C点,若满足且,则椭圆的离心率为( )
A. B. C. D.
11.在三棱锥中,,且,,,分别是棱,的中点,下面四个结论:
①;
②平面;
③三棱锥的体积的最大值为;
④与一定不垂直.
其中所有正确命题的序号是( )
A.①②③ B.②③④ C.①④ D.①②④
12.已知定义在上的奇函数,满足,当时,,
若函数,在区间上有10个零点,则的取值范围是( )
A. B. C. D.
第Ⅱ卷
二、填空题:本大题共4小题,每小题5分,共20分.
13.已知平面向量,满足,,,则______.
14.已知函数().若存在,使得成立,则实数a的取值范围是______.
15.函数的部分图象如图所示,点,是最高点,点是最低点,若是直角三角形,则__________.
16.如图,多面体,,,两两垂直,,,,则经过,,,的外接球的表面积是_________.
三、解答题:本大题共6大题,共70分,解答应写出文字说明、证明过程或演算步骤.
17.(12分)已知数列满足:,,.
(1)证明:数列是等比数列;
(2)设,,求数列的前项和.
18.(12分)如图1,在梯形中,,,为中点,是与的交点,将沿翻折到图2中的位置得到四棱锥.
(1)求证:;
(2)若,,求二面角的余弦值.
19.(12分)已知椭圆的离心率为,椭圆与轴交于两点,且.
(1)求椭圆的方程;
(2)设点是椭圆上的一个动点,且直线与直线分别交于两点.是否存在点使得以为直径的圆经过点?若存在,求出点的横坐标;若不存在,说明理由.
20.(12分)十九大以来,某贫困地区扶贫办积极贯彻落实国家精准扶贫的政策要求,带领广大农村地区人民群众脱贫奔小康.经过不懈的奋力拼搏,新农村建设取得巨大进步,农民年收入也逐年增加.为了制定提升农民年收入、实现2020年脱贫的工作计划,该地扶贫办统计了2019年50位农民的年收入并制成如下频率分布直方图:
(1)根据频率分布直方图,估计50位农民的年平均收入元(单位:千元)(同一组数据用该组数据区间的中点值表示);
(2)由频率分布直方图,可以认为该贫困地区农民年收入X服从正态分布,其中近似为年平均收入,近似为样本方差,经计算得,利用该正态分布,求:
①在扶贫攻坚工作中,若使该地区约有占总农民人数的84.14%的农民的年收入高于扶贫办制定的最低年收入标准,则最低年收入大约为多少千元?
②为了调研“精准扶贫,不落一人”的政策要求落实情况,扶贫办随机走访了1000位农民.若每位农民的年收入互相独立,问:这1000位农民中的年收入不少于12.14千元的人数最有可能是多少?
附参考数据:,若随机变量X服从正态分布,则,,.
21.(12分)已知函数,.
(1)若在内单调递减,求实数的取值范围;
(2)若函数有两个极值点分别为,,证明:.
请考生在22、23两题中任选一题作答,如果多做,则按所做的第一题记分.
22.(10分)【选修4-4:坐标系与参数方程】
已知曲线的参数方程为(为参数),以原点为极点,以轴的非负半轴为极轴建立极坐标系,曲线的极坐标方程为.
(1)求曲线的极坐标方程和曲线的直角坐标方程;
(2)射线与曲线交于点,射线与曲线交于点,求的取值范围.
23.(10分)【选修4-5:不等式选讲】
已知定义在R上的函数.
(1)求的最小值;
(2)若,且,求的最小值.
2019-2020学年下学期高三4月月考仿真卷
理科数学答案
第Ⅰ卷
一、选择题:本大题共12小题,每小题5分,共60分.在每小题给出的四个选项中,只有一项是符合题目要求的.
1.【答案】B
【解析】由,则,
又,所以,
故选B.
2.【答案】D
【解析】双曲线的渐近线方程为,
可得,,则,的焦距为.
故选D.
3.【答案】A
【解析】第6行第6列开始的数为808(不合),436,789(不合),535,577,348,994(不合),837(不合),522,
则满足条件的5个样本编号为436,535,577,348,522,则第5个编号为522.
故选A.
4.【答案】D
【解析】∵,∴,∴,
∴,故选D.
5.【答案】B
【解析】由题意,5部专著中有3部产生于汉、魏、晋、南北朝时期.
现拟从这5部专著中选择2部作为学生课外兴趣拓展参考书目,
基本事件总数,
所选2部专著中至少有一部不是汉、魏、晋、南北朝时期专著包含的基本事件个数,
则所选2部专著中至少有一部不是汉、魏、晋、南北朝时期专著的概率为,
故选B.
6.【答案】A
【解析】根据图像:,故,故,.
,,故,
故.
当时,,满足条件,故,
故选A.
7.【答案】A
【解析】∵,通项,
,故选A.
8.【答案】A
【解析】由题,因为,,,
所以,
当且仅当,即,时等号成立,
因为恒成立,则,即,解得,
故选A.
9.【答案】B
【解析】中,,∴,
∴,
∴,∴,
又,∴,
又,
∴,
∴,∴,
∴,解得或(不合题意,舍去),
∴的面积为,
故选B.
10.【答案】A
【解析】因为F1是椭圆的左焦点,直线过F1交y轴于C点,
所以,即,
因为,所以,
又因为,所以,
在三角形AF1F2中,,,,
根据余弦定理可得,
代入得,化简得,
所以离心率为,
所以选A.
11.【答案】D
【解析】设的中点为,连接,则,,
又,所以平面,所以,故①正确;
因为,所以平面,故②正确;
当平面与平面垂直时,最大,最大值为,故③错误;
若与垂直,
又因为,所以平面,所以,
又,所以平面,所以,
因为,所以显然与不可能垂直,故④正确,
故选D.
12.【答案】A
【解析】由可知函数的图象关于点成中心对称,
且,所以,
所以,函数的周期为,
由于函数为奇函数,则,则,
作出函数与函数的图象如下图所示:
,则,
于是得出,,
由图象可知,函数与函数在区间上从左到右个交点的横坐标分别为、、、、、、、、、,第个交点的横坐标为,
因此,实数的取值范围是,故选A.
第Ⅱ卷
二、填空题:本大题共4小题,每小题5分,共20分.
13.【答案】
【解析】因为平面向量,满足,,,
所以,
故答案为.
14.【答案】
【解析】由,得,
设,则存在,使得成立,
即成立.所以成立,所以成立,
又令,,所以时,,单调递增,
当时,有最小值,
所以实数a的取值范围是,故答案为.
15.【答案】
【解析】由图可得,,,
根据对称性,是直角三角形,
所以为等腰直角三角形,直角三角形斜边中线等于斜边长的一半,
,,,所以,故答案为.
16.【答案】
【解析】根据,,两两垂直构造如图所示的长方体,
则经过,,,的外接球即为长方体的外接球,
故球的直径为长方体的体对角线的长.
设,,,
由题意得,解得,
所以球半径为,
球的表面积为,答案.
三、解答题:本大题共6大题,共70分,解答应写出文字说明、证明过程或演算步骤.
17.【答案】(1)证明见解析;(2).
【解析】(1)∵,∴,∴,
则数列是以1为首项,2为公比的等比数列.
(2)由(1)知,,∴,∴,
∴,
,
∴
,
∴.
18.【答案】(1)证明见解析;(2).
【解析】(1)由图1可知,四边形为菱形,则,
则在图(2)中,,所以,
又,所以,
又,故.
(2)因为,所以,
设,则,
又,所以,
建立如图所示的空间直角坐标系,
则,,,,,,
则,,
则面的法向量为,
设面的法向量为,
则,则,
令,则,则,
所以,
又由图可知二面角为钝二面角,
故二面角的余弦值为.
19.【答案】(1);(2)不存在,详见解析.
【解析】(1)由已知,得知,,
又因为离心率为,所以.
因为,所以,
所以椭圆的标准方程为.
(2)假设存在.
设,,,
由已知可得,,
所以的直线方程为,
的直线方程为,
令,分别可得,,
所以,
线段的中点,
若以为直径的圆经过点,则,
因为点在椭圆上,所以,代入化简得,
所以,而,矛盾,
所以这样的点不存在.
20.【答案】(1)千元;(2)①14.77千元;②978人.
【解析】(1)千元,
故估计50位农民的年平均收入为17.40千元.
(2)由题意知,
①,
所以时,满足题意,
即最低年收入大约为14.77千元.
②由,
每个农民的年收入不少于12.14千元的事件的概率为0.9773,
记1000个农民的年收入不少于12.14千元的人数为,
则,其中,
于是恰好有k个农民的年收入不少于12.14千元的事件概率为,
从而由,得,
而,所以,当时,;
当时,,
由此可知,在所走访的1000位农民中,年收入不少于12.14千元的人数最有可能是978人.
21.【答案】(1);(2)证明见解析.
【解析】(1),∴在内单调递减,
∴在内恒成立,
即在内恒成立.
令,则,
∴当时,,即在内为增函数;
当时,,即在内为减函数,
∴的最大值为,∴.
(2)若函数有两个极值点分别为,,
则在内有两根,,
由(1),知,
由,两式相减,得.
不妨设,
∴要证明,只需证明.
即证明,亦即证明.
令函数,.
∴,即函数在内单调递减,
∴时,有,∴,
即不等式成立,
综上,得.
22.【答案】(1),;(2).
【解析】(1)由曲线的参数方程(为参数),
得,即曲线的普通方程为,
又,,
曲线的极坐标方程为,即,
曲线的极坐标方程可化为,
故曲线的直角方程为.
(2)由已知,设点和点的极坐标分别为,,其中,
则,,
于是,
由,得,
故的取值范围是.
23.【答案】(1);(2).
【解析】(1)因为,所以,
当时,单调递减;
当时,单调递减;
当时,单调递增,
故当时,函数取得最小值.
(2)若,且,,即,
当且仅当,即,时,等号成立,
则,
令,,而的开口向上,
对称轴方程为,在上单调递增,
当,取得最小值,的最小值为.

