搜索
      上传资料 赚现金

      专项突破1 突破1 利用导数求参数的值或范围 教学课件 2026高考 数学 总复习 二轮复习 专题复习

      • 1.25 MB
      • 2026-01-19 18:37:53
      • 25
      • 0
      • 博耀经典
      加入资料篮
      立即下载
      17809974第1页
      1/34
      17809974第2页
      2/34
      17809974第3页
      3/34
      17809974第4页
      4/34
      17809974第5页
      5/34
      17809974第6页
      6/34
      17809974第7页
      7/34
      17809974第8页
      8/34
      还剩26页未读, 继续阅读

      专项突破1 突破1 利用导数求参数的值或范围 教学课件 2026高考 数学 总复习 二轮复习 专题复习

      展开

      这是一份专项突破1 突破1 利用导数求参数的值或范围 教学课件 2026高考 数学 总复习 二轮复习 专题复习,共34页。
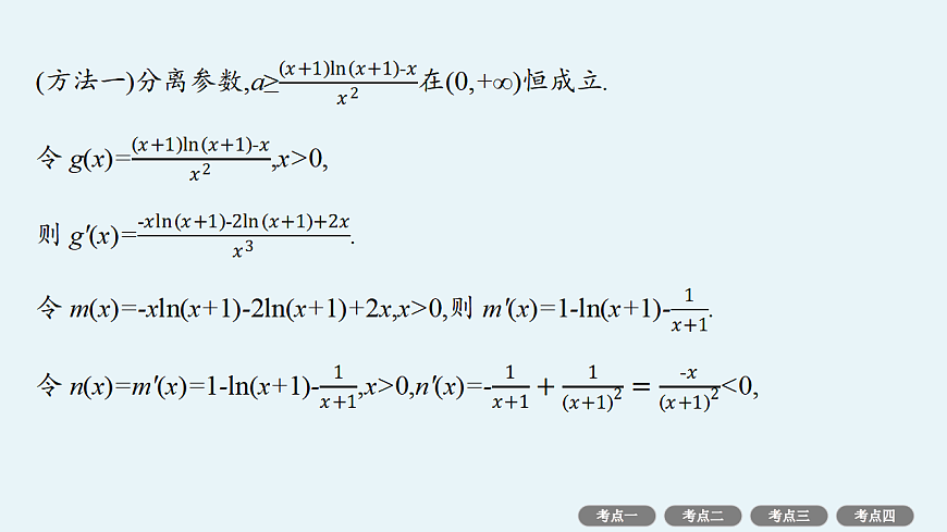
      考点一 与单调性有关的参数范围问题
      (1)当a=-1时,求曲线y=f(x)在点(1,f(1))处的切线方程;(2)若函数f(x)在(0,+∞)单调递增,求a的取值范围.
      ∴m'(x)在(0,+∞)单调递减,则m'(x)0恒成立,∴g'(x)在(0,+∞)单调递增,∴g'(x)>0-ln 1=0,即g'(x)>0,g(x)在(0,+∞)单调递增,∴g(x)>0+0-0=0恒成立,即f'(x)>0,f(x)在(0,+∞)单调递增,符合题意.
      [对点训练1]已知函数f(x)=ax2-ln|x|+x(a∈R).(1)若a=1,求f(x)的单调区间和极值;(2)若f(x)在(-∞,0)和(0,+∞)上均为单调函数,求实数a的取值范围.
      考点二 与极值有关的参数范围问题
      例2(2024新高考Ⅱ,16)已知函数f(x)=ex-ax-a3.(1)当a=1时,求曲线y=f(x)在点(1,f(1))处的切线方程;(2)若f(x)有极小值,且极小值小于0,求a的取值范围.
      解 (1)当a=1时,f(x)=ex-x-1,则切点为(1,e-2).又f'(x)=ex-1,k=f'(1)=e-1,故所求切线方程为y-(e-2)=(e-1)(x-1),整理得(e-1)x-y-1=0.(2)由题得,f'(x)=ex-a.当a≤0时,f'(x)>0恒成立,则f(x)在R上为增函数,无极值,所以a>0.令f'(x)=0,得x=ln a.当f'(x)0,即f'(x)在(0,+∞)内单调递增,所以至多存在一个x0∈(0,+∞),使得f'(x0)=0,故f(x)不存在两个极值点.②当a>0时,解g'(x)=0,得x=a,故当x∈(0,a)时,g'(x)0,f'(x)单调递增,所以f'(x)min=f'(a)=ln a+2,
      (ⅰ)当ln a+2≥0,即a≥e-2时,f'(x)≥f'(x)min≥0,f(x)在(0,+∞)内单调递增,故f(x)不存在极值点.
      且f(x)在(0,x1),(x2,+∞)内单调递增,在(x1,x2)内单调递减,所以x1,x2分别是y=f(x)的极大值点和极小值点.综上,a的取值范围为(0,e-2).
      考点三 与最值有关的参数范围问题
      例3已知函数f(x)=ex-ax-2.(1)若f(x)在区间(0,1)内存在极值,求a的取值范围;(2)若x∈(0,+∞),f(x)>x-sin x-cs x,求a的取值范围.解 (1)由f(x)=ex-ax-2,得f'(x)=ex-a,当a≤0时,f'(x)>0,则f(x)单调递增,f(x)不存在极值.当a>0时,令f'(x)=0,则x=ln a,若x0,f(x)单调递增,所以x=ln a是f(x)的极小值点.因为f(x)在区间(0,1)存在极值,则00,当x∈[1,+∞)时,ex≥e,则n'(x)>0,所以当x∈(0,+∞)时,n'(x)>0,则n(x)即m'(x)单调递增,所以m'(x)>m'(0)=0,则m(x)即g'(x)单调递增,所以g'(x)>g'(0)=1-a,
      ①当a≤1时,g'(0)=1-a≥0,故当x∈(0,+∞)时,g'(x)>0,则g(x)单调递增,所以g(x)>g(0)=0,所以f(x)>x-sin x-cs x在x∈(0,+∞)时恒成立.②当a>1时,g'(0)=1-a

      相关课件 更多

      资料下载及使用帮助
      版权申诉
      • 1.电子资料成功下载后不支持退换,如发现资料有内容错误问题请联系客服,如若属实,我们会补偿您的损失
      • 2.压缩包下载后请先用软件解压,再使用对应软件打开;软件版本较低时请及时更新
      • 3.资料下载成功后可在60天以内免费重复下载
      版权申诉
      若您为此资料的原创作者,认为该资料内容侵犯了您的知识产权,请扫码添加我们的相关工作人员,我们尽可能的保护您的合法权益。
      入驻教习网,可获得资源免费推广曝光,还可获得多重现金奖励,申请 精品资源制作, 工作室入驻。
      版权申诉二维码
      欢迎来到教习网
      • 900万优选资源,让备课更轻松
      • 600万优选试题,支持自由组卷
      • 高质量可编辑,日均更新2000+
      • 百万教师选择,专业更值得信赖
      微信扫码注册
      手机号注册
      手机号码

      手机号格式错误

      手机验证码 获取验证码 获取验证码

      手机验证码已经成功发送,5分钟内有效

      设置密码

      6-20个字符,数字、字母或符号

      注册即视为同意教习网「注册协议」「隐私条款」
      QQ注册
      手机号注册
      微信注册

      注册成功

      返回
      顶部
      学业水平 高考一轮 高考二轮 高考真题 精选专题 初中月考 教师福利
      添加客服微信 获取1对1服务
      微信扫描添加客服
      Baidu
      map