




所属成套资源:四川省字节精准教育联盟·NCS高2026届高考适应性考试(一诊)试题
四川省字节精准教育联盟·NCS高三上学期高考适应性考试(一诊)数学试题(含答案)
展开 这是一份四川省字节精准教育联盟·NCS高三上学期高考适应性考试(一诊)数学试题(含答案),文件包含字节精准教育联盟·NCS高2026届高考适应性考试一诊数学答案docx、字节精准教育联盟·NCS高2026届高考适应性考试一诊数学docx等2份试卷配套教学资源,其中试卷共10页, 欢迎下载使用。
数 学
注意事项:
本试卷分选择题和非选择题两部分。满分150分,考试时间120分钟。
答题前,考生务必用直径0.5毫米黑色墨水签字笔将密封线内项目填写清楚。
考生作答时,请将答案答在答题卡上。选择题每小题选出答案后,用2B铅笔把答题卡上对应题目的答案标号涂黑;非选择题请用直径0.5毫米黑色墨水签字笔在答题卡上各题的答题区域内作答,超出答题区域书写的答案无效,在试题卷、草稿纸上作答无效。
考试结束后,只交回答题卡。
一、单选题(共8小题,每小题5分,共40分)
1.已知条件,条件,则是的( )
A.充分不必要条件B.必要不充分条件
C.充要条件D.既不充分也不必要条件
2.复数的虚部为( )
A.B.3C.D.
3.已知一组数据为,则这组数据的分位数是( )
A.3B.4C.4.5D.5
4.已知抛物线的焦点为,点在上,,则的值是( )
A.2B.4C.9D.4或9
5.“”是“”的( )
A.充分不必要条件B.必要不充分条件
C.充要条件D.既不充分也不必要条件
6.已知圆锥的高为1,母线与底面所成角的大小为,则该圆锥的体积为( )
A.B.C.D.
7.已知函数,,若函数有5个零点,则实数a的取值范围为( )
A.B.C.D.
8.已知函数的定义域为,且它的图象关于对称,当时,恒成立,设,,,则,,的大小关系为( )
A.B.
C.D.
二、多选题(共3小题,每小题6分,共18分,漏选得部分分,错选均不得分)
9.已知正方体ABCD—A1B1C1D1的棱长为1,则以下说法正确的是( )
A.直线与平面所成角的正切值为
B.二面角所成角的大小为
C.直线与直线所成的角为
D.点到平面的距离为
10.下列说法,正确的有( )
A.在斜三角形中,恒有
B.已知,则的最大值为
C.已知实数满足,则.
D.已知点是圆上的动点,且,点是直线上的动点,则的最小值为1
11.已知直线:,当和时,对应直线分别为和,则下列说法中正确的是( )
A.存在,使得过点
B.当时,对任意,总存在两个不同的值与之对应
C.的充要条件是
D.存在点,对任意,使得到的距离为常数
三、填空题(共3小题,每空5分,共15分)
12.已知向量,,若,则实数 .
13.已知随机变量X的可能取值是,已知(其中),又,则 .
14.如图,在平行四边形中,,且交于点,现沿折痕将折起,直至满足条件,此时 .
四、解答题(共5小题,15题13分16~17题15分,18~19题17分,共77分)
15.已知△ABC中,分别为内角的对边,且,
(1)求角的大小;
(2)设点为上一点,是△ABC的角平分线,且,求的长度.
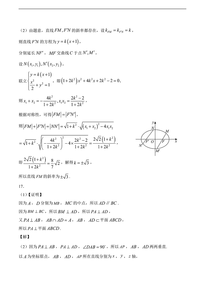
16.已知动点与定点的距离和P到定直线的距离的比是常数,记点P的轨迹为曲线C.
(1)求曲线C的标准方程;
(2)设点,若曲线C上两点M,N均在x轴上方,且,,求直线FM的斜率.
17.如图1,在中,,,分别为边,的中点,且,将沿折起到的位置,使,如图2,连接,.
(1)求证:平面;
(2)若为的中点,求直线与平面所成角的正切值;
(3)线段上一动点满足,判断是否存在,使平面与平面夹角正弦值为,若存在,求出的值;若不存在,请说明理由.
18.给定函数
(1)判断函数的单调性,并求的极值.
(2)若有两个解,求的取值范围.
19.已知数列的首项,且满足.
(1)求证:是等比数列;
(2)求数列的前项和;
(3)令,数列的前项和为.求证:.
相关试卷 更多
- 1.电子资料成功下载后不支持退换,如发现资料有内容错误问题请联系客服,如若属实,我们会补偿您的损失
- 2.压缩包下载后请先用软件解压,再使用对应软件打开;软件版本较低时请及时更新
- 3.资料下载成功后可在60天以内免费重复下载
免费领取教师福利 








