搜索
      上传资料 赚现金

      [精] 第六章 §6.6 子数列问题-2026年高考数学大一轮复习课件含试题及答案(提高版)

      • 8.16 MB
      • 2025-06-28 06:43:47
      • 82
      • 0
      • 教习网会员03
      加入资料篮
      立即下载
      第六章 §6.6 子数列问题-2026年高考数学大一轮复习课件含试题及答案(提高版)第1页
      1/60
      第六章 §6.6 子数列问题-2026年高考数学大一轮复习课件含试题及答案(提高版)第2页
      2/60
      第六章 §6.6 子数列问题-2026年高考数学大一轮复习课件含试题及答案(提高版)第3页
      3/60
      第六章 §6.6 子数列问题-2026年高考数学大一轮复习课件含试题及答案(提高版)第4页
      4/60
      第六章 §6.6 子数列问题-2026年高考数学大一轮复习课件含试题及答案(提高版)第5页
      5/60
      第六章 §6.6 子数列问题-2026年高考数学大一轮复习课件含试题及答案(提高版)第6页
      6/60
      第六章 §6.6 子数列问题-2026年高考数学大一轮复习课件含试题及答案(提高版)第7页
      7/60
      第六章 §6.6 子数列问题-2026年高考数学大一轮复习课件含试题及答案(提高版)第8页
      8/60
      还剩52页未读, 继续阅读

      第六章 §6.6 子数列问题-2026年高考数学大一轮复习课件含试题及答案(提高版)

      展开

      这是一份第六章 §6.6 子数列问题-2026年高考数学大一轮复习课件含试题及答案(提高版),共60页。PPT课件主要包含了奇数项与偶数项问题,数列的公共项,数列增减项,课时精练等内容,欢迎下载使用。
      子数列是数列问题中的一种常见题型.将原数列转化为子数列问题一般适用于某个数列是由几个有规律的数列组合而成的,具体求解时,要搞清楚子数列的项在原数列中的位置,以及在子数列中的位置,即项不变化,项数变化.
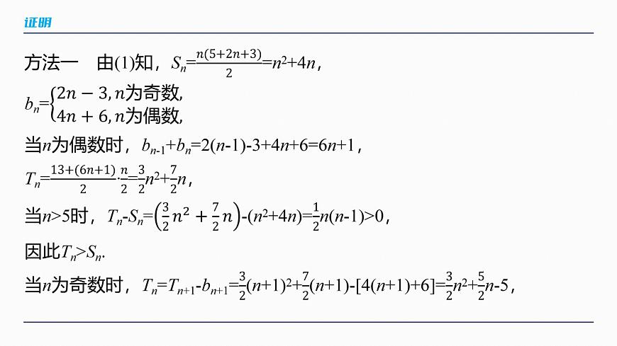
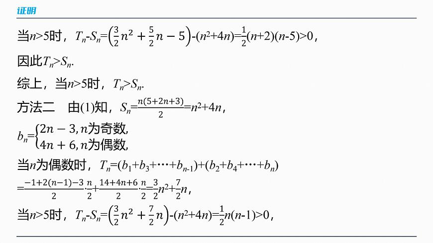
      (2)证明:当n>5时,Tn>Sn.
      数列中的奇、偶项问题的常见题型(1)数列中连续两项和或积的问题(an+an+1=f(n)或an·an+1=f(n));(2)含有(-1)n的类型;(3)含有{a2n},{a2n-1}的类型.
      跟踪训练1 (2024·西安模拟)已知正项数列{an}中,a3=4,a2a5=32,且ln an,ln an+1,ln an+2成等差数列.(1)求数列{an}的通项公式;
      (2)若数列{bn}满足bn=an+(-1)nlg2an+1,求数列{bn}的前n项和Tn.
      例2 (2025·嘉兴模拟)已知{an}是首项为2,公差为3的等差数列,数列{bn}满足b1=4,bn+1=3bn-2n+1.(1)证明{bn-n}是等比数列,并求{an},{bn}的通项公式;
      (2)若数列{an}与{bn}中有公共项,即存在k,m∈N*,使得ak=bm成立.按照从小到大的顺序将这些公共项排列,得到一个新的数列,记作{cn},求c1+c2+…+cn.
      两个等差数列的公共项是等差数列,且公差是两等差数列公差的最小公倍数,两个等比数列的公共项是等比数列,公比是两个等比数列公比的最小公倍数.
      (2)将数列{bn}与{cn}的所有公共项按从小到大的顺序组成新数列{dn},求{dn}的前10项和.
      (2)在数列{an}中的a1和a2之间插入1个数x11,使a1,x11,a2成等差数列;在a2和a3之间插入2个数x21,x22,使a2,x21,x22,a3成等差数列;…;在an和an+1之间插入n个数xn1,xn2,…,xnn,使an,xn1,xn2,…,xnn,an+1成等差数列,这样可以得到新数列{bn}:a1,x11,a2,x21,x22,a3,x31,x32,x33,a4,…,an,设数列{bn}的前n项和为Sn,求S55(用数字作答).
      对于数列的中间插项或减项构成新数列问题,我们要把握两点:先判断数列之间共插入(减少)了多少项(运用等差等比求和或者项数公式去看),再对于题目给出的条件确定它包含了哪些项.
      跟踪训练3 记等差数列{an}的前n项和为Sn,已知S5=15,a2=2,等比数列{bn}满足b2=a1+a3,b3=2a4.(1)求数列{an},{bn}的通项公式;
      (1)因为2Sn=3an-1,所以当n≥2时,2Sn-1=3an-1-1,所以2an=3an-3an-1(n≥2),即an=3an-1(n≥2).当n=1时,2S1=2a1=3a1-1,解得a1=1,则{an}是首项为1,公比为3的等比数列,故an=3n-1.(2)由(1)可知,当n为奇数时,bn=an=3n-1;当n为偶数时,bn=lg3an=n-1.当n为奇数时,Tn=(b1+b3+b5+…+bn)+(b2+b4+b6+…+bn-1)
      一、单项选择题1.(2024·连云港模拟)若将2~2 026这2 025个整数中能被3除余2且被7除余2的数按由小到大的顺序排成一列,则此数列的项数是A.94B.95C.96D.97
      2.(2025·漳州模拟)将数列{3n-1}与{2n}的公共项从小到大排列得到数列{an},则a20等于A.237B.238C.239D.240
      3.在数列{an}中,a1=1,anan+1=2n,若am+am+1+…+am+9=248,则m等于A.3B.4C.5D.6
      二、多项选择题5.“埃拉托塞尼筛法”是保证能够挑选全部素数的一种古老的方法.这种方法是依次写出2和2以上的自然数,留下第一个数2不动,剔除掉所有2的倍数;接着,在剩余的数中留下2后面的一个数3不动,剔除掉所有3的倍数;接下来,再在剩余的数中对3后面的一个数5作同样处理;…;依次进行同样的剔除.剔除到最后,剩下的便全是素数.基于“埃拉托塞尼筛法”,则A.2到20的全部素数和为77B.挑选2到20的全部素数过程中剔除的所有数的和为134C.2到30的全部素数和为100D.挑选2到30的全部素数过程中剔除的所有数的和为335
      三、填空题7.已知数列{an}满足(-1)n+1an+2+(-1)nan=3(-1)n+1(n∈N*),若a1=a2=1,则{an}的前20项和S20=   . 
      8.若数列{an}满足a1=1,an+1=3an+1,若bn=2an+1(n∈N*),抽去数列{bn}的第3项、第6项、第9项、…、第3n项、…余下的项的顺序不变,构成一个新数列{cn},则数列{cn}的前100项和为     . 
      四、解答题9.(2025·河北沧衡名校联盟联考)设数列{an}的前n项和为Sn,且2Sn=3an-1.(1)求{an}的通项公式;
      10.已知等差数列{An}的首项为2,公差为8,在{An}中每相邻两项之间插入三个数,使得它们与原数列的项一起构成一个新的等差数列{an}.(1)求数列{an}的前n项和Sn;

      相关课件 更多

      资料下载及使用帮助
      版权申诉
      • 1.电子资料成功下载后不支持退换,如发现资料有内容错误问题请联系客服,如若属实,我们会补偿您的损失
      • 2.压缩包下载后请先用软件解压,再使用对应软件打开;软件版本较低时请及时更新
      • 3.资料下载成功后可在60天以内免费重复下载
      版权申诉
      若您为此资料的原创作者,认为该资料内容侵犯了您的知识产权,请扫码添加我们的相关工作人员,我们尽可能的保护您的合法权益。
      入驻教习网,可获得资源免费推广曝光,还可获得多重现金奖励,申请 精品资源制作, 工作室入驻。
      版权申诉二维码
      欢迎来到教习网
      • 900万优选资源,让备课更轻松
      • 600万优选试题,支持自由组卷
      • 高质量可编辑,日均更新2000+
      • 百万教师选择,专业更值得信赖
      微信扫码注册
      手机号注册
      手机号码

      手机号格式错误

      手机验证码 获取验证码 获取验证码

      手机验证码已经成功发送,5分钟内有效

      设置密码

      6-20个字符,数字、字母或符号

      注册即视为同意教习网「注册协议」「隐私条款」
      QQ注册
      手机号注册
      微信注册

      注册成功

      返回
      顶部
      学业水平 高考一轮 高考二轮 高考真题 精选专题 初中月考 教师福利
      添加客服微信 获取1对1服务
      微信扫描添加客服
      Baidu
      map