搜索
      上传资料 赚现金

      广东省2024_2025学年高三数学上学期开学联考试题含解析

      • 762.42 KB
      • 2025-05-15 07:53:16
      • 59
      • 0
      • 教习网2972821
      加入资料篮
      立即下载
      广东省2024_2025学年高三数学上学期开学联考试题含解析第1页
      1/19
      广东省2024_2025学年高三数学上学期开学联考试题含解析第2页
      2/19
      广东省2024_2025学年高三数学上学期开学联考试题含解析第3页
      3/19
      还剩16页未读, 继续阅读

      广东省2024_2025学年高三数学上学期开学联考试题含解析

      展开

      这是一份广东省2024_2025学年高三数学上学期开学联考试题含解析,共19页。试卷主要包含了选择题的作答,非选择题的作答等内容,欢迎下载使用。
      注意事项:
      1.答题前,先将自己的姓名、准考证号填写在答题卡上,并将准考证号条形码粘贴在答题卡上的指定位置.
      2.选择题的作答:每小题选出答案后,用2B铅笔把答题卡上对应题目的答案标号涂黑.写在试题卷、草稿纸和答题卡上的非答题区域均无效.
      3.非选择题的作答:用签字笔直接写在答题卡上对应的答题区域内.写在试题卷、草稿纸和答题卡上的非答题区域均无效.
      4.考试结束后,请将本试题卷和答题卡一并上交.
      一、选择题:本题共8小题,每小题5分,共40分.在每小题给出的四个选项中,只有一项是符合题目要求的.
      1. 若,,则()
      A. B.
      C. D.
      【答案】D
      【解析】
      【分析】利用列举法表示出集合后,结合交集定义即可得解.
      【详解】依题意,,,所以.
      故选:D.
      2. “”是“点在圆内”的()
      A. 充分不必要条件B. 必要不充分条件
      C. 充分必要条件D. 既不充分又不必要条件
      【答案】A
      【解析】
      【分析】先求出“点在圆内”的充要条件,对比即可得解.
      【详解】点在圆内,
      所以“”是“点在圆内”的充分不必要条件.
      故选:A.
      3. 函数的部分图象如图所示,则可以为()
      A. B.
      C. D.
      【答案】A
      【解析】
      【分析】由排除D,由奇偶性排除B,由在时的单调性即可排除C,最后验证A符合题意即可.
      【详解】对于D,函数中,,所以排除D;
      对于B,显然,都为奇函数,为偶函数,
      且也是奇函数,理由如下:
      的定义域为全体实数,且,所以是奇函数
      所以,为偶函数,为奇函数,所以排除B;
      对于C,当时,(由复合函数单调性可判断),同时单调递增,且同时非负,
      所以在时也单调递增,所以排除C;
      经检验A选项符合题意.
      故选:A.
      4. x-1x25x52+2展开式中的常数项为()
      A. B. 0C. 5D. 10
      【答案】B
      【解析】
      【分析】直接由二项式定理进行求解即可.
      【详解】展开式中的通项为,
      所以x-1x25x52+2展开式中的常数项为.
      故选:B.
      5. 若,,则的最小值为()
      A. 2B. 4C. 16D. 64
      【答案】C
      【解析】
      【分析】直接运用基本不等式即可求解.
      【详解】因为,所以,
      因为,所以,
      所以,当且仅当时,的最小值为16.
      故选:C.
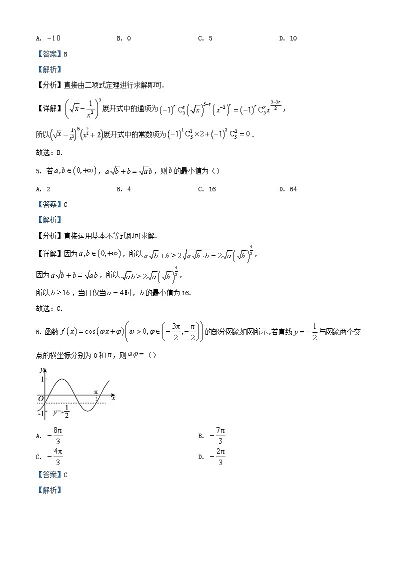
      6. 函数的部分图象如图所示,若直线与图象两个交点的横坐标分别为0和,则()
      A. B.
      C. D.
      【答案】C
      【解析】
      【分析】有图象可得函数周期,即可得,由的值结合图象及的范围可得,即可得解.
      【详解】由图象可得的周期为,所以,
      因为,且,所以或,
      因为在单调递增区间内,所以,所以.
      故选:C.
      7. 若,数列的前项和为,且,,则()
      A. 76B. 38C. 19D. 0
      【答案】A
      【解析】
      【分析】由题意可知函数关于对称,然后再通过,求解数列an的通项,进而求解.
      【详解】因为,
      所以
      所以的图象关于点对称,
      因为,
      所以,
      所以,
      所以,
      所以,
      又,,
      所以,,
      所以,所以,
      所以,,
      所以.
      故选:A.
      8. 若为函数图象上的一点,,则的最小值为()
      A. B. C. D. 2
      【答案】B
      【解析】
      【分析】求出函数的导函数,设,函数在点处的切线的斜率为,要使AB取得最小值,从而得到,令,利用导数说明函数的单调性,观察得到,求出此时点坐标,即可求出AB的最小值.
      【详解】因为,所以在R上单调递增,且f'x也单调递增,
      若,则,显然不符合题意;
      设,则函数在点处的切线的斜率为,
      所以AB取得最小值,
      令,
      则,
      令,则且,
      令,则,
      显然在0,+∞上单调递增,又,,
      所以存在使得,即,
      所以当时,此时单调递减,当时,此时单调递增,
      所以在处取得极小值即最小值,


      函数在上单调递减,
      又,,当时,
      所以,所以恒成立,
      即恒成立,所以在上单调递增,又,所以,
      此时,所以AB取得最小值为.
      故选:B.
      【点睛】关键点点睛:本题关键是转化为在点处的切线与垂直,求出,其中说明函数的单调性是一个难点.
      二、选择题:本题共3小题,每小题6分,共18分.在每小题给出的选项中,有多项符合题目要求.全部选对的得6分,部分选对的得部分分,有选错的得0分.
      9. 设,其中为的共轭复数,则()
      A. 实部为2B. 的虚部是
      C. D. 在复平面内,对应的点在第二象限
      【答案】AC
      【解析】
      【分析】首先由共轭复数的概念复数相等求得即可判断AB,结合模的计算公式以及复数的几何意义可依次判断CD.
      【详解】设,因为,所以,
      所以,所以,
      所以,,所以z=2+i,,
      对于A,所以的实部为2,所以A正确;
      对于B,的虚部是,所以B错误;
      对于C,,所以C正确;
      对于D,,所以在复平面内对应的点在第四象限,所以D错误.
      故选:AC.
      10. 已知双曲线的左、右焦点分别为,,实轴的左、右端点分别为,,虚轴的上、下端点分别为,,斜率为的直线经过且与的左支交于两个不同的点,为上一点,且,则()
      A. B. 四边形的周长小于24
      C. D. 面积为
      【答案】ABD
      【解析】
      【分析】对于A,求出实轴长度即可判断;对于B,由勾股定理即可判断;对于C,画出图形即可判断;对于D,结合双曲线定义、余弦定理得,进一步结合三角形面积公式即可求解.
      【详解】对于A,的实半轴长,虚半轴长,半焦距,渐近线方程为,所以,所以A正确;
      对于B,四边形的周长为,所以B正确;
      对于C,作出与其渐近线,直接由图形得,,所以C错误;
      对于D,不妨设位于的左支,则,
      所以①,
      因为,所以,
      所以②,
      所以得,,
      所以三角形的面积为,所以D正确.
      故选:ABD.
      11. 已知正三棱台上、下底面的边长及高分别为,,2,则正三棱台的()
      A. 斜高为B. 体积为
      C. 侧棱与底面所成角为D. 外接球的表面积为
      【答案】AC
      【解析】
      【分析】对于A,通过分析得出,,,结合勾股定理验算即可;对于B,直接由棱台体积公式验算即可;对于C,显然侧棱与底面所成的角为,结合解三角形知识验算即可;对于D,显然外接球的球心在直线上,设,列方程可求出以及外接球半径,进一步即可验算.
      【详解】对于A,如图,
      在正三棱台中,设,分别为上下底面的中心,D1,分别为,的中点,
      因为上底面的边长,下底面的边长分别为,,
      所以,,,,
      又,所以,所以A正确;
      对于B,体积为,所以B错误;
      对于C,侧棱与底面所成的角为,在直角梯形中,由,,,
      计算得,而,从而,所以C正确;
      对于D,由已知得,外接球的球心在直线上,设,
      由题得,,解得,
      所以外接球的表面积为,所以D错误.
      故选:AC.
      【点睛】关键点点睛:判断D选项的关键在于求得外接圆半径,由此即可顺利得解.
      三、填空题:本题共3小题,每小题5分,共15分.
      12. 已知质点,从点处分别以,的速度同时在圆上作逆时针运动,若经过,,第一次相遇,则______.
      【答案】
      【解析】
      【分析】由题意比多走一圈,可列关于的方程,由此即可得解.
      【详解】由已知得,经过,,第一次相遇,此时比多走一圈,所以,所以.
      故答案为:.
      13. 已知,,若,则______.
      【答案】
      【解析】
      【分析】借助向量垂直可得其数量积为,利用向量数量积公式与模长公式计算后结合三角函数基本关系即可得解.
      【详解】由,则有,即,
      又,
      则,
      故.
      故答案为:
      14. 已知直线与抛物线C:y2=4x交于,两点,为的焦点,若中点的纵坐标始终为1,则的取值范围是______.
      【答案】
      【解析】
      【分析】设,,直线的方程为,联立抛物线方程,得到两根之和,两根之积,根据中点纵坐标,得到方程,求出,由焦半径公式得到,由根据的判别式得到,从而得到的取值范围.
      【详解】不妨设,,直线的方程为,
      与联立消去得,y2-4ky-4m=0,
      此时必须,所以,
      因为中点的纵坐标为1,所以,所以,所以,
      所以,又为抛物线的焦点,
      所以,
      因为,所以,所以.
      故答案为:.
      四、解答题:本题共5小题,共77分.解答应写出必要的文字说明,证明过程或演算步骤.
      15. 设公比不为1的等比数列的前项和为,且.
      (1)求的公比;
      (2)若,求数列的前项和.
      【答案】(1)
      (2)
      【解析】
      【分析】(1)根据题意列方程即可求解;
      (2)由题意得,结合等比数列求和公式即可求解.
      【小问1详解】
      设的公比为,
      ,,
      ,,
      ,.
      【小问2详解】
      ,,
      (或)

      .
      16. 在每年的1月份到7月份,某品牌空调销售商发现:“每月销售量(单位:台)”与“当年的月份”线性相关.根据统计得下表:
      (1)根据往年的统计得,当年的月份与销量满足回归方程.请预测当年7月份该品牌的空调可以销售多少台?
      (2)该销售商从当年的前6个月中随机选取3个月,记为销量不低于前6个月的月平均销量的月份数,求的分布列和数学期望.
      【答案】(1)72台 (2)分布列见解析,
      【解析】
      【分析】(1)计算出与y后,借助回归直线过样本中心点即可得回归直线方程,再借助回归直线方程代入计算即可得解;
      (2)得出的所有可能取值后,计算每种取值对应概率即可得其分布列,借助分布列计算即可得其期望.
      【小问1详解】


      又回归直线过样本中心点,
      所以,得,
      所以,
      当时,,
      所以预测当年7月份该品牌的空调可以销售72台.
      【小问2详解】
      因为,所以销量不低于前6个月的月平均销量的月份数为4,5,6,
      所以,




      所以的分布列为:
      .
      17. 如图,在三棱柱中,为底面重心,点分别在棱上,且
      (1)求证:平面;
      (2)若底面,且三棱柱的各棱长均相等,求平面与平面DOG的夹角的余弦值.
      【答案】(1)证明见解析
      (2)
      【解析】
      【分析】(1)根据线面平行的判断定理,转化为证明线线平行,利用平行线比例关系,构造辅助线,即可证明;
      (2)根据底面特点,建立空间直角坐标系,分别求平面与平面的法向量,根据向量公式求二面角的余弦值.
      【小问1详解】
      如图,连接并延长,交于,延长线段,交于,连接.
      因为为底面重心,所以,
      又,
      所以,所以,
      所以.
      因为,所以,
      所以.
      因为平面,平面,
      所以平面.
      【小问2详解】
      取的中点为,连接.
      因为底面,且三棱柱的各棱长均相等,
      所以直线两两互相垂直.
      以为坐标原点,所在直线分别为轴建立如图所示的空间直角坐标系,
      设三棱柱的棱长为6,则,
      所以.
      设平面的法向量为n=x,y,z,
      则,即,可取
      易知平面的一个法向量为.
      设平面与平面的夹角为,
      则,
      即平面与平面的夹角的余弦值为.
      18. 已知函数,,.
      (1)当时,求在上的值域;
      (2)当时,,,求的取值范围.
      【答案】(1)
      (2)
      【解析】
      【分析】(1)对求导,分析得出在上单调递增,由此即可得解;
      (2)连续求导,分是否大于2进行讨论即可求解.
      【小问1详解】
      当时,,
      所以,
      因为,
      所以,,
      因为,
      所以,
      所以,
      所以在上单调递增,
      所以,当时,,
      且注意到的图象是一条连续的曲线,
      所以在上的值域为.
      【小问2详解】
      当时,,,
      即在区间上成立.
      则,
      令,,
      因为,所以,
      所以,,
      所以在时单调递增.可知.
      当a≤2时,,即,
      所以在上单调递增.
      所以成立.
      当时,,当时,,
      所以使得,
      当时,,
      即,即在上单调递减,
      所以,即,不成立,舍去,
      综上,a≤2.
      【点睛】关键点点睛:第二问的关键在于连续求导后得出,故需对进行分类讨论,由此即可顺利得解.
      19. 我们把各边与椭圆的对称轴垂直或平行的的内接四边形叫做的内接矩形.如图,已知四边形是的一个边长为1的内接正方形,,分别与轴交于,,且,为的两个焦点.
      (1)求的标准方程;
      (2)设是四边形内部的100个不同的点,线段,与轴分别交于,,记,其中,证明:,中至少有一个小于.
      【答案】(1)
      (2)证明见解析
      【解析】
      【分析】(1)依题意可得,再求出,即可求出,从而求出;
      (2)连接并延长与交于点,连接,根据椭圆的定义得到,从而得到,再由对称性得到,即可得证.
      【小问1详解】
      依题意,焦距,所以,
      连接,则,所以,
      所以,所以,
      所以的标准方程为,即.
      【小问2详解】
      连接并延长与交于点,连接(为了便于理解,解析图中只做了两条,其它类似),
      则,
      所以,
      所以根据对称性,
      若,均不小于,则,与矛盾,
      所以,中至少有一个小于.
      月份
      1
      2
      3
      4
      5
      6
      销量
      12
      21
      33
      41
      52
      63
      0
      1
      2
      3

      相关试卷 更多

      资料下载及使用帮助
      版权申诉
      • 1.电子资料成功下载后不支持退换,如发现资料有内容错误问题请联系客服,如若属实,我们会补偿您的损失
      • 2.压缩包下载后请先用软件解压,再使用对应软件打开;软件版本较低时请及时更新
      • 3.资料下载成功后可在60天以内免费重复下载
      版权申诉
      若您为此资料的原创作者,认为该资料内容侵犯了您的知识产权,请扫码添加我们的相关工作人员,我们尽可能的保护您的合法权益。
      入驻教习网,可获得资源免费推广曝光,还可获得多重现金奖励,申请 精品资源制作, 工作室入驻。
      版权申诉二维码
      欢迎来到教习网
      • 900万优选资源,让备课更轻松
      • 600万优选试题,支持自由组卷
      • 高质量可编辑,日均更新2000+
      • 百万教师选择,专业更值得信赖
      微信扫码注册
      手机号注册
      手机号码

      手机号格式错误

      手机验证码 获取验证码 获取验证码

      手机验证码已经成功发送,5分钟内有效

      设置密码

      6-20个字符,数字、字母或符号

      注册即视为同意教习网「注册协议」「隐私条款」
      QQ注册
      手机号注册
      微信注册

      注册成功

      返回
      顶部
      学业水平 高考一轮 高考二轮 高考真题 精选专题 初中月考 教师福利
      添加客服微信 获取1对1服务
      微信扫描添加客服
      Baidu
      map