


河北省NT20名校联合体2025届高三下学期第二次调研考试数学试卷(解析版)
展开 这是一份河北省NT20名校联合体2025届高三下学期第二次调研考试数学试卷(解析版),共16页。试卷主要包含了选择题,填空题,解答题等内容,欢迎下载使用。
一、选择题:本题共8小题,每小题5分,共40分.在每小题给出的四个选项中,只有一项是符合题目要求的.
1. 已知集合,,,则( )
A. B. C. D.
【答案】B
【解析】由题知,,则,故.
故选:B.
2. 复数,则复数的虚部是( )
A. B. C. D.
【答案】A
【解析】,故的虚部是.
故选:A.
3. 抛掷两枚质地均匀的骰子,则向上的数字之和是4的倍数的概率为( )
A. B. C. D.
【答案】B
【解析】抛掷两枚质地均匀的骰子共有种不同的结果,
向上的点数之和为4的倍数,
共有(1,3),(3,1),(2,2),(3,5),(5,3),(2,6),(6,2),(4,4),(6,6),共9种情况,
所以概率为.
故选:B.
4. 等轴双曲线C过点,则双曲线C的右焦点到其中一条渐近线的距离为( )
A. B. 2C. D.
【答案】C
【解析】设等轴双曲线方程为,代入点,可得,所以双曲线方程为,
所以双曲线的右焦点为,渐近线方程为,
所以右焦点到渐近线的距离为.
故选:C.
5. 若,则( )
A. B. C. D.
【答案】C
【解析】由,可得
,
则,则,
故选:C.
6. 已知圆台的母线长为4,下底面的半径是上底面半径的3倍,母线与底面所成的角为60°,那么圆台的外接球的表面积为( )
A. B. C. D.
【答案】D
【解析】因为母线与底面所成的角为60°,则圆台的高,上底面半径,下底面半径,
设外接球的半径为,球心到上底面的距离为,则,解得,
所以,所以.
故选:D.
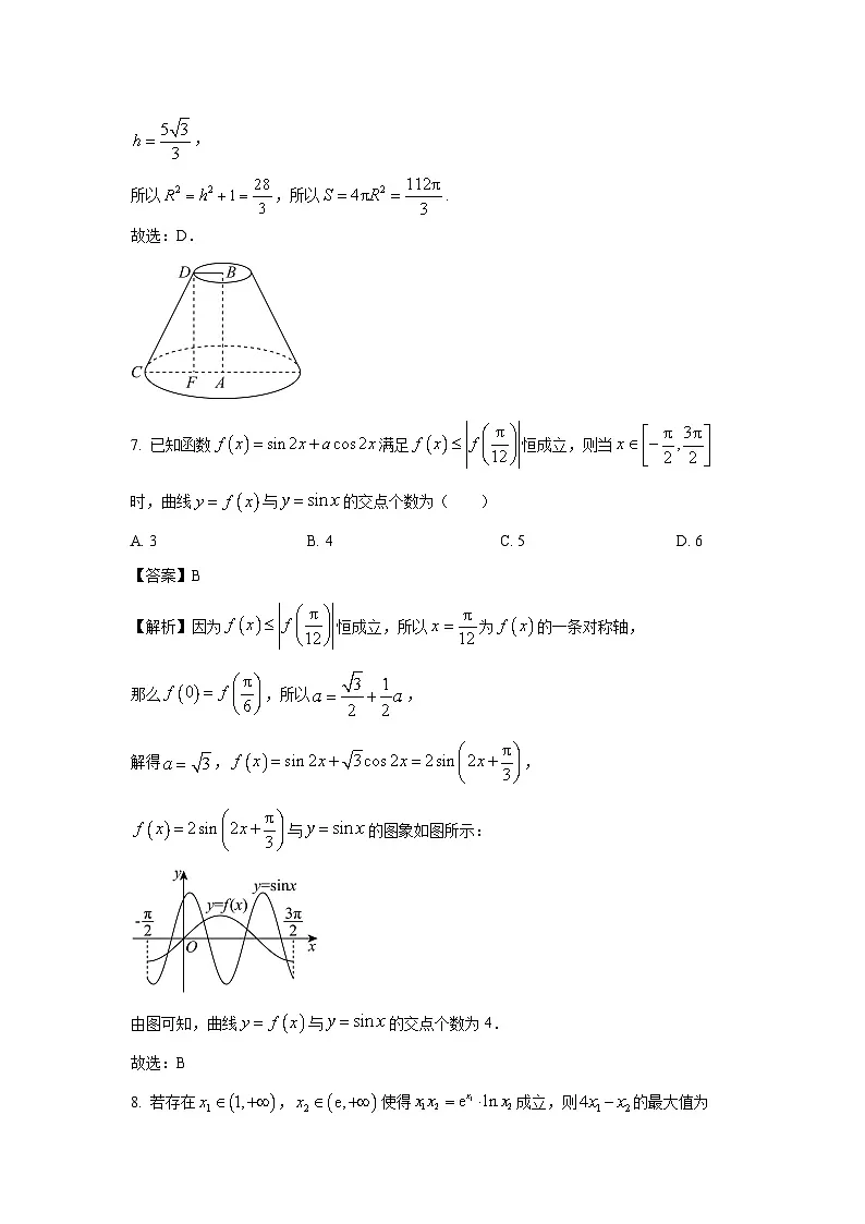
7. 已知函数满足恒成立,则当时,曲线与的交点个数为( )
A. 3B. 4C. 5 D. 6
【答案】B
【解析】因为恒成立,所以为的一条对称轴,
那么,所以,
解得,,
与的图象如图所示:
由图可知,曲线与的交点个数为4.
故选:B
8. 若存在,使得成立,则的最大值为( )
A. B. C. D.
【答案】D
【解析】由,则,对求导,所以,
当时,,,所以,在上单调递减.
当时,,当时,,所以的值域是.
又,,,所以,那么.
设,则,
当时,,当时,,
所以在上单调递增,在上单调递减,则的最大值为.
故选:D.
二、选择题:本题共3小题,每小题6分,共18分,在每小题给出的四个选项中,有多项是符合题目要求的.全部选对的得6分,部分选对的得部分分,有选错的得0分.
9. 某汽车4S店在周末举行新车发布会,并向所有到场的观众发放了一份相关的问卷.该发布会结束后,共收回问卷300份.据统计,这300份问卷的得分(满分为100分)近似服从正态分布,下列说法正确的是( )
附:若,则,,.
A. 这300份问卷得分数据的期望是82,标准差是36
B. 这300份问卷中得分超过88分的约有48份
C.
D. 若在其他4S店举行该发布会并发放问卷,得到的问卷得分数据也服从正态分布
【答案】BC
【解析】由题意知,该问卷得分数据服从正态分布,可得数据期望是,方差是,标准差是,所以A错误;
由,可得300×0.1585≈48,所以该问卷中得分超过88分的约有48份,所以B正确;
由正态分布概率密度曲线的对称性,可得,所以C正确;
由同一份问卷发放到不同4S店,得到的数据不一定相同,所以D错误.
故选:BC.
10. 已知数列的前项和为,且满足,,,则以下说法正确的是( )
A. 是等比数列B. 是等比数列
C. D.
【答案】AB
【解析】设,则,
则,解得或,
当时,,
因,所以是以4为首项,4为公比的等比数列,
所以①,故A正确;
当时,,
因,所以是以为首项,为公比的等比数列,
所以②,故B正确;
①②两式作差得,,故C错误;
数列的前项和为,
数列的前项和为,
则,故D错误.
故选:AB.
11. 已知抛物线E:的焦点为F,准线交y轴于点P,抛物线E上一点到点F的距离为6,点A,B是抛物线C上的两点,点M是的中点,则下列说法正确的是( )
A.
B. 若中点M的横坐标为4,则直线的斜率为2
C. 若,则恒过点
D. 若直线过点F,则
【答案】ACD
【解析】对于A,由题意可知,点到点F的距离为,解得,故A正确;
对于B,设,则,两式作差得,
所以直线的斜率为,故B错误;
对于对于C,设:,联立直线和抛物线,
则,,,所以.
因为,所以,所以,解得,
所以直线恒过点,故C正确;
对于D,由A得,可设:,
联立直线和抛物线,
则,,,
所以
,故D正确.
故选:ACD.
三、填空题:本题共3小题,每小题5分,共15分.
12. 已知平面向量,,且,则_______.
【答案】
【解析】由题意得,,
又,则,解得.
故答案为:.
13. 的展开式中的系数为_______(用数字作答).
【答案】120
【解析】的展开式的通项式,
当时,,
当时,,
的展开式中含的系数为.
故答案为:120.
14. 已知定义在上的函数的导函数为,为偶函数,且,则________.
【答案】-2025
【解析】由为偶函数得,
则.
两边同时求导,得①.
所以的图象关于点对称,即,
由的图象关于点对称,得②.
①-②,得,所以,
又,所以,
即的周期为4,,,
.
故答案为-2025.
四、解答题:本题共5小题,共77分.解答应写出文字说明、证明过程或演算步骤.
15. 若的内角A,B,C所对的边分别为a,b,c,且.
(1)若,,求B;
(2)若,求的面积
解:(1)由正弦定理可知,
解得.
又因为,所以或.
代入均可满足,所以或.
(2)由,,均大于0,
所以A,B均为锐角,
由基本不等式得,当且仅当时等号成立,
,故,又,所以只能是,即,
此时,即为等腰直角三角形,所以.
面积.
16. 为了落实健康第一教育理念,实施学生体质强健计划,现对某高中学生每天的运动时间进行调查,随机抽取了100名学生进行调查.下面是根据调查结果绘制的学生每天平均运动时间(单位:分钟)的频率分布直方图,将每天平均运动时间不低于80分钟的学生称为“运动爱好者”.
(1)试求频率分布直方图中值;
(2)用样本估计总体,已知某学生每天平均运动时间不低于60分钟,求该学生是“运动爱好者”的概率;
(3)从样本里的“运动爱好者”学生中随机选取两位同学,用随机变量表示每天平均运动时间在分钟之间的学生数,求的分布列及期望.
解:(1)由频率分布直方图可知,
,
解得.
(2)设“该学生每天平均运动时间不低于60分钟”为事件A,
“该学生是‘运动爱好者’”为事件B,
则,
,
所以在该学生每天平均运动时间不低于60分钟的条件下是“运动爱好者”的概率为
.
(3)由题意可知,样本中共有“运动爱好者”学生25人,运动时间在分钟之间的学生有5人,
所以.
,,.
则的分布列为
则.
17. 已知平行六面体如图所示,,.
(1)求证:平面;
(2)若,求二面角的余弦值.
【答案】(1)证明:在平行六面体中,
因为,设,
则,,
因为,所以,
所以,,
在中,,,所以,
又因为平面,所以平面;
(2)解:由(1)已得,且平面,故平面,
故可以D坐标原点,所在直线为x轴,所在直线为y轴,所在直线为z轴,建立坐标系,
则,,,,,
,,,
设平面法向量为,则,
则,令,则,
因为,,则,
则,所以,又,
设平面的法向量为,则,
则,令,则,
因,
设二面角的平面角为,由图知为锐角,
则,
即二面角的余弦值是.
18. 平面直角坐标系中,圆A的方程为,点B的坐标为,点P是圆上任意一点,线段的垂直平分线交半径于点Q,当点P在圆上运动时,点Q的轨迹为曲线E.
(1)求点Q的轨迹E的方程;
(2)过点A作一条直线与点Q的轨迹E相交于M,N两点,满足,点H满足,问:点H是否在一条定直线上,若是,求出这条直线方程,若不是,请说明理由.
解:(1)如图,
由题意知
所以Q点的轨迹是以,为焦点,长轴长为4的椭圆.
设椭圆的方程为,
则,,,
所以椭圆方程为.
(2)如图,
解法一:
设,,,,
由可得,
则,即①
由可得
则,即②
所以,整理得③
当直线的斜率存在时,设直线的方程为:,联立得,
消去得,
,,
代入③得,又因为,所以.
直线斜率不存在时,不妨取,,
则,,则,,解得,
综上可得,点在一条定直线上,直线方程为.
解法二:设,,,,
由可得,
则,即①
由可得,
则,即②
所以,整理得③
当直线的斜率不存在或不为0时,设直线方程为,
联立,消去得,
,
代入③得
当直线的斜率为0时,,,
则,恒成立,点H在上也成立,
综上可得,点H在一条定直线上,直线方程为.
19. 对数运算可以使一些复杂的数学计算变得简单,比如函数:,通常为了便于求导,我们可以作变形:.
(1)求的单调区间;
(2)已知.
①若数列满足,,求数列的通项公式;
②求证:.
解:(1),
令,解得,令,解得
所以的单调递增区间为,递减区间为
(2)①由题意可知,,
那么
两边同时取对数可得
所以是以为首项,2为公比的等比数列,
则,所以,所以
②设函数,
当时,,当时,,
所以在(0,1)上单调递增,在上单调递减
则,即在上恒成立
所以,即.0
1
2
相关试卷 更多
- 1.电子资料成功下载后不支持退换,如发现资料有内容错误问题请联系客服,如若属实,我们会补偿您的损失
- 2.压缩包下载后请先用软件解压,再使用对应软件打开;软件版本较低时请及时更新
- 3.资料下载成功后可在60天以内免费重复下载
免费领取教师福利 
.png)




