搜索
      上传资料 赚现金

      重庆市万州二中2024-2025学年高一下学期期中考试物理试卷(Word版附答案)

      • 1.84 MB
      • 2025-05-01 19:43:11
      • 55
      • 0
      • 教习网3275309
      加入资料篮
      立即下载
      查看完整配套(共3份)
      包含资料(3份) 收起列表
      试卷
      高2024级高一下期期中考试 物理试题(1).docx
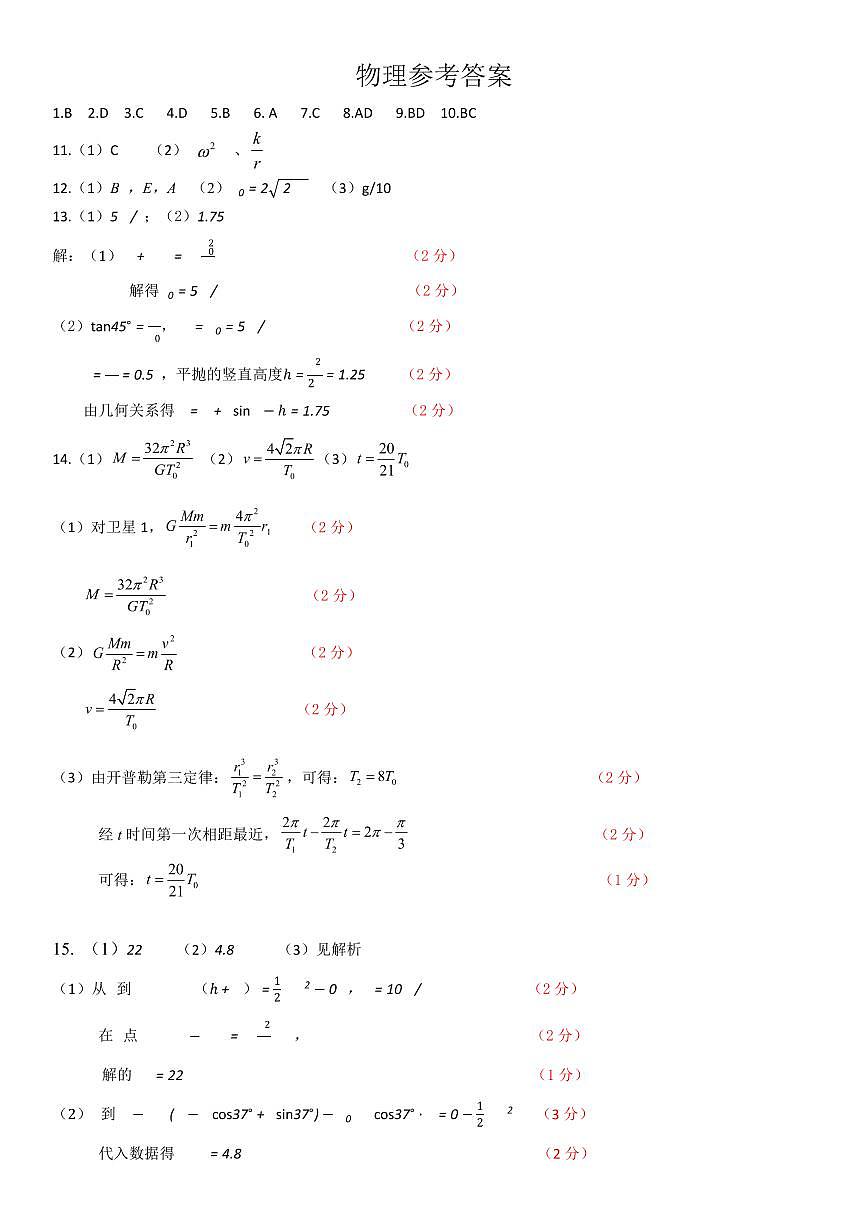
      预览
      答案
      高一物理参考答案.pdf
      预览
      练习
      万州二中高2024级高一下期期中考试物理答题卡.pdf
      预览
      正在预览:高2024级高一下期期中考试 物理试题(1).docx
      高2024级高一下期期中考试  物理试题(1)第1页
      高清全屏预览
      1/5
      高2024级高一下期期中考试  物理试题(1)第2页
      高清全屏预览
      2/5
      高一物理参考答案第1页
      高清全屏预览
      1/2
      万州二中高2024级高一下期期中考试物理答题卡第1页
      高清全屏预览
      1/1
      还剩3页未读, 继续阅读

      重庆市万州二中2024-2025学年高一下学期期中考试物理试卷(Word版附答案)

      展开

      这是一份重庆市万州二中2024-2025学年高一下学期期中考试物理试卷(Word版附答案),文件包含高2024级高一下期期中考试物理试题1docx、高一物理参考答案pdf、万州二中高2024级高一下期期中考试物理答题卡pdf等3份试卷配套教学资源,其中试卷共8页, 欢迎下载使用。
      单项选择题(本大题共7小题,每题4分,共28分)
      1. 关于曲线运动,下列说法正确的是( )
      A.物体在恒力作用下不可能做曲线运动
      B.平抛运动是一种匀变速曲线运动
      C.做匀速圆周运动的物体,所受合力是恒定的
      D.做圆周运动的物体,所受合力总是指向圆心的
      2. 4月18日,万州二中举行了校园足球文化节,在一次头球过程中,颜泽波老师经历了加速跑、起跳、头球三个过程,且足球击出后的速度比击出前大。下列说法正确的是( )
      A. 加速跑阶段,地面静摩擦力对颜老师做正功
      B. 起跳阶段,地面支持力对颜老师做正功
      C. 头球全过程,因为不知道足球击出前、后的速度方向,故无法判断颜老师对足球做功的正负
      D. 头球全过程,颜老师一定对足球做正功
      3.如图所示,小明学习了“小船渡河问题”后,将玩具电动车放在跑步机上做实验。将跑步机模式选择“慢跑”,履带以v0=3m/s匀速运行。跑步机履带外侧机身上有正对的A、B两点,履带宽度为50cm,小车每次都从A点出发,已知电动车在静止的履带上能以v=5m/s的速度匀速运动。下列说法正确的是( )
      A.无论玩具车车头指向何方,小车运动的合速度始终大于5m/s
      B.玩具小车到达对面的最短时间为0.125s
      C.玩具小车从A点出发到达正对面的B点,车头需与A点左侧履带边缘成53°夹角
      D.玩具小车从A点出发到达正对面的B点用时为0.1s
      4. 2024年10月30日,神舟十九号载人飞船将三名航天员送入太空,飞船入轨后按照预定程序与天和核心舱对接。神舟十九号载人飞船与天和核心舱对接过程的示意图如图所示,天和核心舱处于圆轨道III,神舟十九号飞船处于圆轨道I,通过变轨操作后,沿椭圆轨道II由A处运动到B处与天和核心舱对接,则神舟十九号飞船( )
      A. 在轨道II上B处的速度大于A处的速度
      B. 在轨道I上与地心的连线和在轨道II上与地心连线在任意相等时间内扫过的面积相等
      C. 由轨道I变轨到轨道II,需在A处减速
      D. 在轨道I和轨道II上经过A处时加速度相等
      5.一质量为m的物块静止在水平地面上A点,现对物块施加一水平向右的变力F,且F与速度v满足关系F=k 1V(其中k为定值),作用时间t后撤去外力F,最后物块停在C点。已知物块与地面间动摩擦因数为u,重力加速度为g,则AC间距离为( )
      A. (kv−umg)t22m B. ktumg C. kt-umg D. 12-ugt2
      6. 直角侧移门(如图1所示)可以解决小户型浴室开关门不方便的问题,其结构可简化成图2和图3(俯视图)所示,玻璃门的两端滑轮A、B通过一根可自由转动的轻杆连接,滑轮可沿直角导轨自由滑动,已知滑轮可视为质点,玻璃门的宽度L=1m,在某次关门的过程中,使用者拉住把手使滑轮A从初始位置静止开始做加速度为a=0.25m/s2的匀加速运动,当玻璃门与滑轮A达到图3所示位置时,滑轮B的速度大小为( )
      36m/s B. 34m/s C. 12m/s D. 32m/s
      7.如图,在水平地面上有一圆弧形凹槽ABC,AC连线与地面相平,凹槽ABC是位于竖直平面内以O为圆心、半径为R的一段圆弧,B为圆弧最低点,而且AB段光滑,BC段粗糙。现有一质量为m的小球(可视为质点),从水平地面上P处以初速度v0斜向右上方飞出,v0与水平地面夹角为θ,不计空气阻力,该小球恰好能从A点沿圆弧的切线方向进入轨道,沿圆弧ABC继续运动后从C点以速率V02飞出。重力加速度为g,则下列说法中正确的是( )
      A. 小球由P到A的过程中,离地面的最大高度为
      B. 小球进入A点时重力的瞬时功率为
      C. 小球在圆弧形轨道内克服摩擦做功为
      D. 小球经过圆弧形轨道最低点B处受到轨道的支持力大小为
      二、多项选择题(本大题共3小题,每题5分,共15分)
      8.下列说法正确的是( )
      图1 图2 图3 图4
      A.图1中两个在同一水平面圆锥摆,虽然θ角不同,但角速度大小相同
      B.图2中火车转弯时为避免轮缘与内外轨发生侧向挤压,轨道的倾角θ应根据火车的质量设计
      C.图3中若A、B均相对圆盘静止,圆周运动半径RA:RB=3:2,质量mA:mB=2:1,则A、B所受摩擦力fA=2fB
      D.图4左图为气嘴灯的结构,感应装置中弹簧连接的重物上有触点C,B端有固定触点D,触点C、D接触后,LED就会发光。将此气嘴灯安装在自行车的气嘴上,为了使其在骑行时发光,B端应在车轮转轴外侧,A端应在内侧
      卡戎过去被认为是冥王星的卫星,新的观测表明,冥王星与卡戎实际上构成双星系统,冥王星与卡戎的质量比约为m1:m2=7∶1,它们的距离设为L。二者同时绕它们连线上某点O做匀速圆周运动。以下说法正确的是( )
      A.冥王星、卡戎做圆周运动的角速度之比为1:7
      B.冥王星、卡戎做圆周运动的线速度之比为1:7
      C.卡戎绕O做匀速圆周运动的周期为2π L3Gm1
      D. 设想将卡戎的一部分质量转移到冥王星上去,稳定后二者距离仍为L,且仍构成双星系统,则与质量转移前相比,
      双星系统的线速度大小之和不变
      10. 一个质量为m的羽毛球卡在球筒底部,球筒的质量为M,筒长为L,羽毛球的高度为d(可将羽毛球看成质量集中在球头的质点),已知羽毛球和球筒间的滑动摩擦力等于最大静摩擦,且f=kmg(k>1)。某同学使用以下两种方式将球从筒内取出:方式一:“甩”,如图甲所示。手握球筒底部,使羽毛球在竖直平面内绕O点做半径为R的圆周运动。当球筒角速度为 ω,运动至竖直朝下时,羽毛球恰要相对球筒滑动;方式二:“敲”,如图乙所示。手握球筒,从距离桌面 L2 高度由静止开始向下运动,使球筒以一定速度撞击桌面,球筒撞到桌面后不再运动,此后羽毛球相对球筒滑动且恰好能滑至球头碰到桌面。已知重力加速度为g,不计一切空气阻力,以下说法正确的是:
      A. 方式一羽毛球恰要相对球筒滑动时球筒的角速度ω= kgR
      B. 方式一羽毛球恰要相对球筒滑动时球筒的角速度ω= (k−1)gR
      C. 方式二手对球筒所做的功W=(m+M)[(k−1)(L−d)−L2]g
      D. 方式二手对球筒所做的功W=(m+M)(k−1)(L−d)g
      三、实验题(每空2分,共16分)
      11. (6分)探究向心力大小F与物体的质量m、角速度和轨道半径r的关系实验。
      (1)本实验主要采用的实验探究方法是 ;(单选)
      A.理想实验法 B.等效替代法 C.控制变量法 D.演绎推理法
      (2)某同学用如下图所示实验装置进行探究,圆柱体放置在水平圆盘上做匀速圆周运动,圆柱体与圆盘之间的摩擦可忽略不计。力传感器测量绳子拉力大小F,角速度传感器测量角速度大小ω。
      该组同学让圆柱体做半径为r匀速圆周运动,改变ω的值,测量多组数据,得到如图1所示图像,对图线的数据进行处理,获得了如图2所示的图像,该图像是一条过原点的直线,则图像2的横坐标x代表的是_____(填ω2或1ω2),如果直线的斜率为k,则可以得到圆柱体的质量为______(用k和r表示)。

      12.(10分)某小组用如图1所示的装置研究平抛运动。将坐标纸和复写纸对齐重叠并固定在竖直硬板上,小球沿斜槽轨道滑下后从斜槽末端Q点飞出,落在水平挡板MN上,在坐标纸上挤压出一个痕迹点,移动挡板,依次重复上述操作,坐标纸上将留下一系列痕迹点。

      (1)在该实验中,让小球多次从斜槽上滚下,在白纸上依次记下小球的位置,同学甲和同学乙得到的记录纸如图2所示,从图中明显看出甲的实验错误是 ,乙图中有两个点位于抛物线下方的原因是 ;下列器材问题和操作方式不会对实验探究产生影响的是 (以上各空均选择正确答案的标号,单选)。
      A.斜槽轨道有摩擦 B.斜槽末端不水平 C.小球在释放时有初速度v0
      D.小球自由释放的位置变高了 E.小球自由释放的位置变低了
      (2)丙同学不小心将记录实验的坐标纸弄破损,导致平抛运动的初始位置缺失。他选取轨迹上的某一点做为坐标原点O,建立xOy坐标系(x轴沿水平方向y轴沿竖直方向),如图3所示。在轨迹上选取A、B两点,坐标纸中每个小方格的边长为L,重力加速度为g,根据题中所给信息,小球平抛运动的初速度v0= (计算结果用L,g表示)
      (3)丁同学通过电脑软件将平抛运动的速度方向与水平方向夹角θ的正切值tanθ随时间t变化的图像绘制了出来,如图4所示,则初速度v0=_______(计算结果用g表示)
      四、计算题(共41分)
      13.(10分)
      “抛石机”是古代战争中常用的一种设备。如图所示,某学习小组用自制的抛石机演练抛石过程。已知所用抛石机臂长L=2m,质量m=1.0kg的石块装在长臂末端的口袋中,开始时长臂处于静止状态,与水平面间的夹角α=30∘,现对短臂施力,当长臂转到竖直位置时立即停止转动,石块水平抛出。已知抛出前瞬间,长臂顶部对石块向下的压力为2.5N,抛出后垂直打在倾角为45∘的斜面上,不计空气阻力,重力加速度g取10m/s2,求:
      (1)石块在长臂顶部抛出时的速度大小;
      (2)则石块打在斜面上的点距地面高度;
      14.(13分)
      如图所示,两颗卫星绕某行星在同一平面内做匀速圆周运动,两卫星绕行方向相同(逆时针方向)。已知卫星1运行的周期为T0,行星的半径为R,卫星1和卫星2到行星中心的距离分别为2R、8R,引力常量为G。某时刻两卫星与行星中心连线之间的夹角为π3。(题中T0、R、G为已知量)求:
      (1)行星的质量M;
      (2)行星的第一宇宙速度的大小;
      (3)从图示时刻开始,经过多长时间两卫星第一次相距最近。
      15.(18分)
      如图所示,在竖直平面内,粗糙的斜面轨道AB的下端与光滑的圆弧轨道BCD相切于B,C是最低点,圆心角∠BOC=37∘,D与圆心O等高,圆弧轨道半径R=1.0m,现有一个质量为m=0.2kg可视为质点的小物体,从D点的正上方E点处自由下落,物体恰好到达斜面顶端A处。已知DE距离ℎ=4.0m,物体与斜面AB之间的动摩擦因数μ=0.5。取sin37∘=0.6,cs37∘=0.8,g=10m/s2。求:
      (1)物体第一次到达C点时受到轨道的支持力大小;
      (2)斜面AB的长度L;
      (3)若μ的值可变,求μ取不同值时,物块在斜面上滑行的路程x(结果用μ表示)。

      相关试卷 更多

      资料下载及使用帮助
      版权申诉
      • 1.电子资料成功下载后不支持退换,如发现资料有内容错误问题请联系客服,如若属实,我们会补偿您的损失
      • 2.压缩包下载后请先用软件解压,再使用对应软件打开;软件版本较低时请及时更新
      • 3.资料下载成功后可在60天以内免费重复下载
      版权申诉
      若您为此资料的原创作者,认为该资料内容侵犯了您的知识产权,请扫码添加我们的相关工作人员,我们尽可能的保护您的合法权益。
      入驻教习网,可获得资源免费推广曝光,还可获得多重现金奖励,申请 精品资源制作, 工作室入驻。
      版权申诉二维码
      期中专区
      • 精品推荐
      • 所属专辑8份
      欢迎来到教习网
      • 900万优选资源,让备课更轻松
      • 600万优选试题,支持自由组卷
      • 高质量可编辑,日均更新2000+
      • 百万教师选择,专业更值得信赖
      微信扫码注册
      手机号注册
      手机号码

      手机号格式错误

      手机验证码 获取验证码 获取验证码

      手机验证码已经成功发送,5分钟内有效

      设置密码

      6-20个字符,数字、字母或符号

      注册即视为同意教习网「注册协议」「隐私条款」
      QQ注册
      手机号注册
      微信注册

      注册成功

      返回
      顶部
      学业水平 高考一轮 高考二轮 高考真题 精选专题 初中月考 教师福利
      添加客服微信 获取1对1服务
      微信扫描添加客服
      Baidu
      map