若您为此资料的原创作者,认为该资料内容侵犯了您的知识产权,请扫码添加我们的相关工作人员,我们尽可能的保护您的合法权益。

1/5

2/5
![109-[答案]湖北省武汉市2022届高三下学期2月调研考试数学答案第1页](http://img-preview.51jiaoxi.com/3/3/16932114/1-1746011316041/0.jpg?x-oss-process=image/resize,w_870,m_lfit,g_center/format,webp/sharpen,100)
1/4
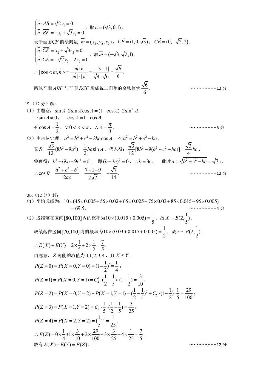
![109-[答案]湖北省武汉市2022届高三下学期2月调研考试数学答案第2页](http://img-preview.51jiaoxi.com/3/3/16932114/1-1746011316074/1.jpg?x-oss-process=image/resize,w_870,m_lfit,g_center/format,webp/sharpen,100)
2/4
还剩3页未读, 继续阅读
所属成套资源:2021-2024武汉高三调考数学分类汇总
成套系列资料,整套一键下载
2022年武汉市高三年级二月调研考试数学模拟试卷及参考答案
展开 这是一份2022年武汉市高三年级二月调研考试数学模拟试卷及参考答案,文件包含2022年武汉市二月调考pdf、109-答案湖北省武汉市2022届高三下学期2月调研考试数学答案pdf等2份试卷配套教学资源,其中试卷共9页, 欢迎下载使用。
相关试卷 更多
资料下载及使用帮助
版权申诉
- 1.电子资料成功下载后不支持退换,如发现资料有内容错误问题请联系客服,如若属实,我们会补偿您的损失
- 2.压缩包下载后请先用软件解压,再使用对应软件打开;软件版本较低时请及时更新
- 3.资料下载成功后可在60天以内免费重复下载
版权申诉
免费领取教师福利 

.png)




