搜索
      上传资料 赚现金

      湖南省三湘名校联盟2024-2025学年高一下学期期中考试数学试题(解析版)

      • 695.75 KB
      • 2025-04-19 18:46:58
      • 108
      • 0
      • 教辅之家
      加入资料篮
      立即下载
      湖南省三湘名校联盟2024-2025学年高一下学期期中考试数学试题(解析版)第1页
      高清全屏预览
      1/11
      湖南省三湘名校联盟2024-2025学年高一下学期期中考试数学试题(解析版)第2页
      高清全屏预览
      2/11
      湖南省三湘名校联盟2024-2025学年高一下学期期中考试数学试题(解析版)第3页
      高清全屏预览
      3/11
      还剩8页未读, 继续阅读

      湖南省三湘名校联盟2024-2025学年高一下学期期中考试数学试题(解析版)

      展开

      这是一份湖南省三湘名校联盟2024-2025学年高一下学期期中考试数学试题(解析版),共11页。试卷主要包含了 已知集合,则, 下列命题中为真命题的是, 在复平面内,所对应的点位于, 在中,,记,则, 已知向量,则, 设复数满足,则等内容,欢迎下载使用。
      一、选择题:本题共8小题,每小题5分,共40分.在每小题给出的四个选项中,只有一项是符合题目要求的.
      1. 已知集合,则( )
      A. B.
      C. D.
      【答案】D
      【解析】因为,故.
      故选:D.
      2. 下列命题中为真命题的是( )
      A. 圆柱的侧面展开图是一个正方形
      B. 用一个平面去截圆锥,圆锥底面和截面之间的部分为圆台
      C. 有两个面互相平行,其余各面都是四边形的多面体是棱柱
      D. 球体是旋转体的一种类型
      【答案】D
      【解析】对于A,圆柱的侧面展开图是一个矩形,不一定为正方形,故A错误;
      对于B,根据圆台的定义,用一个平行于底面的平面去截圆锥,圆锥底面和截面之间的部分为圆台,故B错误;
      对于C,有两个面互相平行,其余各面都是四边形,并且每相邻两个四边形的公共边都互相平行,由这些面所围成的多面体叫做棱柱,故C错误;
      对于D,球体是半圆绕着其直径所在直线旋转一周得到的封闭几何体,故D正确,
      故选:D.
      3. 设外接圆的半径为,若,则的形状为( )
      A. 锐角三角形B. 直角三角形
      C. 钝角三角形D. 不确定
      【答案】B
      【解析】设外接圆的半径为,若,由正弦定理,可得,所以,因为,可得,所以为直角三角形.故选:B.
      4. 在复平面内,所对应的点位于( )
      A. 第一象限B. 第二象限
      C. 第三象限D. 第四象限
      【答案】B
      【解析】由题意可得,其在复平面内所对应的点为,位于第二象限,故选:B.
      5. 在中,,记,则( )
      A. B.
      C. D.
      【答案】C
      【解析】由题意可得,其中,
      所以.故选:C
      6. 已知是实系数一元二次方程的一个复数根,则( )
      A. B. C. D.
      【答案】B
      【解析】将代入方程可得,
      即,故,解得,故.故选:B
      7. 已知平面上四个点,,,,则向量在向量上的投影向量为( )
      A. B.
      C. D.
      【答案】A
      【解析】根据题意,可得,,则,
      所以在向量上投影数量等于,可得向量在向量上的投影向量为.故选:A.
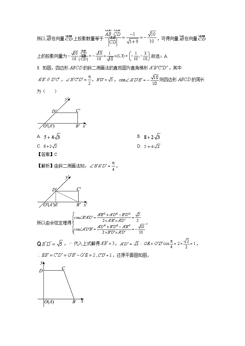
      8. 如图,四边形的斜二测画法的直观图为直角梯形,其中,,,则四边形的周长为( )
      A. B.
      C. D.
      【答案】C
      【解析】由斜二测画法知,,
      所以由余弦定理得,
      ,代入上式解得,,,,还原平面图如图,
      即,,,
      四边形的周长为.故选:C.
      二、多选题:本题共3小题,每小题6分,共18分.在每小题给出的选项中,有多项符合题目要求,全部选对得6分,部分选对得部分分,选错得0分.
      9. 已知向量,则( )
      A. 是的充要条件
      B. 是与的夹角为锐角的必要不充分条件
      C. 是的充要条件
      D. 是的充要条件
      【答案】AC
      【解析】对于A,由,故A正确;
      对于B,由为锐角且不共线且,故B错误;
      对于C,由或,故C正确;
      对于D,时,可得:,
      ,此时,
      仍满足,故D错误,
      故选:AC.
      10. 设复数满足,则( )
      A. B.
      C. D.
      【答案】AC
      【解析】设,
      由,则,所以,即,故A正确;
      代入可得,,所以,故B错误;
      由,故C正确;由,故D错误.
      故选:AC.
      11. 记的内角的对边分别为,已知,则( )
      A. B.
      C D.
      【答案】ACD
      【解析】对于A,因为,由正弦定理可知,
      即,故A正确;
      对于B,在边上取一点,使得,则,

      ,故,
      在中,由正弦定理可得,
      即,
      故,故B错误;对于C,由射影定理可得,
      故,
      因为,所以,
      由余弦定理可得,
      故,即,故C正确;
      对于D,由B知,,可得,
      故,
      即,故,即,故D正确.
      故选:ACD.
      三、填空题:本题共3小题,每小题5分,共15分.
      12. 在中,,则__________.
      【答案】
      【解析】在中,由余弦定理可得

      故答案为:.
      13. 已知函数,则的图象经过定点__________;的值域为__________.
      【答案】 ;
      【解析】因为恒成立,所以令得,
      故的图象经过定点;
      函数的定义域为R,所以函数的值域为,
      因为在上单调递增,值域为,
      所以函数的值域为.
      故答案为;.
      14. 菱形中,,点在线段上,且,则__________.
      【答案】或
      【解析】因为,所以,
      所以,
      因为点在线段上,
      可设

      而,所以,解得,
      所以,则,
      所以,故.故答案为:.
      四、解答题:本题共5小题,共77分.解答应写出文字说明,证明过程或演算步骤.
      15. 已知中,.
      (1)求;
      (2)证明:
      (1)解:由辅助角公式可得,
      即,则,
      又,故.
      (2)证明:设中角的对边分别为,
      由余弦定理且,
      可得,
      当且仅当时取等,故.
      由正弦定理可得,
      又,故,即,得证.
      16. 已知函数.
      (1)求的定义域;
      (2)证明:曲线关于直线对称;
      (3)若,求的取值范围.
      (1)解:由,解得或,
      故的定义域为.
      (2)证明:因为,
      所以,
      又,
      所以,即曲线关于直线对称.
      (3)解:对于函数,其在上单调递减,在上单调递增,
      且在上单调递增,
      故在上单调递减,在上单调递增,
      由(2)知,曲线关于直线对称,
      要使,需满足,且,
      解得.
      17. 已知复数,(,且,),且.
      (1)求的值;
      (2)证明:;
      (3)设,在复平面上对应的向量分别为,,若,求的值.
      (1)解:由已知,则,,所以,
      又,则,
      所以,化简可得,又,所以,即;
      (2)证明:由(1)得,
      所以,又,所以;
      (3)解:设在复平面上对应的向量为,
      在复平面上对应的向量为,
      所以,
      故,解得.
      18. 已知将函数的图象向左平移个单位后所得函数的图象关于轴对称.
      (1)求;
      (2)求的相位及其最小正周期;
      (3)当时,求使得不等式恒成立的对应的取值范围.
      解:(1)将的图象向左平移个单位,得到函数的图象,
      由题意该函数为偶函数,所以,
      解得,
      又因为,解得.
      (2)由(1)可得,
      故的相位为,最小正周期为.
      (3)令,因为,所以,
      则原题等价于求使得不等式恒成立时,对应的取值范围,
      注意到当或时,,
      当时,单调递增,单调递减,又因为,
      所以时,,不符合题意;
      当时,,符合题意;时,单调递减,单调递增,所以时,,符合题意.综上,满足题意,此时.
      19. 已知海面上两点处置有距离为海里的两个灯塔,游船在点时,与两点处灯塔的距离均为2海里.游船航行一段距离后,从两灯塔间穿过并抵达点,此时在点处灯塔测得.
      (1)若两点的距离为海里,求的长度;
      (2)求两点距离的取值范围.
      解:(1)由题意知,,故为以为直角顶点的等腰直角三角形,故,又因为,且由题意得分布于直线两侧,所以,有,
      由余弦定理可得,解得(海里).
      (2)由题意知点始终位于以为起点的射线上,记该射线为.
      注意到在(1)的条件下,故此时,即,
      所以此时的长度即为两点距离的最小值;
      由于游船从两灯塔间穿过,即与存在异于端点的交点,
      设为点.由正弦定理得,
      在中,,
      其中为定值,故增大时,减小,
      又因为,
      因为,所以,故,
      因为,
      所以,
      故(海里).

      相关试卷 更多

      资料下载及使用帮助
      版权申诉
      • 1.电子资料成功下载后不支持退换,如发现资料有内容错误问题请联系客服,如若属实,我们会补偿您的损失
      • 2.压缩包下载后请先用软件解压,再使用对应软件打开;软件版本较低时请及时更新
      • 3.资料下载成功后可在60天以内免费重复下载
      版权申诉
      若您为此资料的原创作者,认为该资料内容侵犯了您的知识产权,请扫码添加我们的相关工作人员,我们尽可能的保护您的合法权益。
      入驻教习网,可获得资源免费推广曝光,还可获得多重现金奖励,申请 精品资源制作, 工作室入驻。
      版权申诉二维码
      欢迎来到教习网
      • 900万优选资源,让备课更轻松
      • 600万优选试题,支持自由组卷
      • 高质量可编辑,日均更新2000+
      • 百万教师选择,专业更值得信赖
      微信扫码注册
      手机号注册
      手机号码

      手机号格式错误

      手机验证码 获取验证码 获取验证码

      手机验证码已经成功发送,5分钟内有效

      设置密码

      6-20个字符,数字、字母或符号

      注册即视为同意教习网「注册协议」「隐私条款」
      QQ注册
      手机号注册
      微信注册

      注册成功

      返回
      顶部
      学业水平 高考一轮 高考二轮 高考真题 精选专题 初中月考 教师福利
      添加客服微信 获取1对1服务
      微信扫描添加客服
      Baidu
      map