搜索
      上传资料 赚现金

      黑龙江省哈尔滨市师范大学附属中学2024-2025学年高一上学期期末考试数学试题(Word版附解析)

      • 7.89 MB
      • 2025-04-03 19:50:00
      • 105
      • 0
      • 教习网3275309
      加入资料篮
      立即下载
      查看完整配套(共2份)
      包含资料(2份) 收起列表
      原卷
      黑龙江省哈尔滨师范大学附属中学2024-2025学年高一上学期期末考试数学试卷(原卷版).docx
      预览
      解析
      黑龙江省哈尔滨师范大学附属中学2024-2025学年高一上学期期末考试数学试卷 Word版含解析.docx
      预览
      正在预览:黑龙江省哈尔滨师范大学附属中学2024-2025学年高一上学期期末考试数学试卷(原卷版).docx
      黑龙江省哈尔滨师范大学附属中学2024-2025学年高一上学期期末考试数学试卷(原卷版)第1页
      1/4
      黑龙江省哈尔滨师范大学附属中学2024-2025学年高一上学期期末考试数学试卷(原卷版)第2页
      2/4
      黑龙江省哈尔滨师范大学附属中学2024-2025学年高一上学期期末考试数学试卷 Word版含解析第1页
      1/18
      黑龙江省哈尔滨师范大学附属中学2024-2025学年高一上学期期末考试数学试卷 Word版含解析第2页
      2/18
      黑龙江省哈尔滨师范大学附属中学2024-2025学年高一上学期期末考试数学试卷 Word版含解析第3页
      3/18
      还剩2页未读, 继续阅读

      黑龙江省哈尔滨市师范大学附属中学2024-2025学年高一上学期期末考试数学试题(Word版附解析)

      展开

      这是一份黑龙江省哈尔滨市师范大学附属中学2024-2025学年高一上学期期末考试数学试题(Word版附解析),文件包含黑龙江省哈尔滨师范大学附属中学2024-2025学年高一上学期期末考试数学试卷原卷版docx、黑龙江省哈尔滨师范大学附属中学2024-2025学年高一上学期期末考试数学试卷Word版含解析docx等2份试卷配套教学资源,其中试卷共22页, 欢迎下载使用。
      (本试卷满分 150 分,考试时间 120 分钟)
      一、选择题:本题共 8 个小题,每小题 5 分,共 40 分.在每个小题给出的四个选项中,只有一
      项是符合题目要求的.
      1. ( )
      A. B. C. D.
      【答案】C
      【解析】
      【分析】由诱导公式求解即可.
      【详解】
      故选:C.
      2. 设集合 , ,则集合 ( )
      A. B. C. D.
      【答案】C
      【解析】
      【分析】解指数不等式化简集合 ,再根据交集的定义计算可得.
      【详解】因为 ,又 ,即 ,解得 ,
      所以 ,
      所以 .
      故选:C
      3. 函数 为定义在 上的奇函数,当 时, ,则 的值为( )
      A. B. C. D.
      【答案】A
      第 1页/共 18页【解析】
      【分析】求出 的值,利用奇函数的性质可求得 的值.
      【详解】因为函数 为定义在 上的奇函数,当 时, ,
      则 ,故 .
      故选:A.
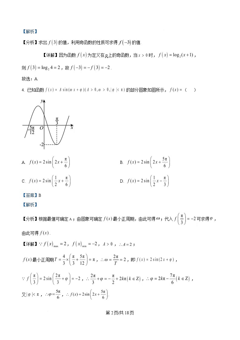
      4. 已知函数 的部分图象如图所示, ( )
      A. B.
      C. D.
      【答案】B
      【解析】
      【分析】根据最值可确定 ;由图象可确定 最小正周期,由此可得 ;代入 可求得 ,
      由此可得 .
      【详解】 , , , ;
      最小正周期 , ,即 ,
      , , ,
      又 , , .
      第 2页/共 18页故选:B.
      5. 下列说法正确的是( )
      A. 命题“ , ”的否定是“ , ”
      B. 是第二象限角的必要不充分条件是 且
      C. 函数 的零点是
      D. 的单调递增区间为 ,
      【答案】D
      【解析】
      【分析】根据含有一个量词的否定,判断 A;根据三角函数在各象限的正负,以及充分条件和必要条件的
      定义,判断 B;根据零点的定义判断 C;结合对勾函数的性质,判断 D.
      【详解】对于 A,根据含有一个量词的否定,命题“ , ”的否定是“ ,
      ”,故 A 错误;
      对于 B,当 且 时,能推出 是第二象限角,
      反过来当 是第二象限角,也能推出 且 ,
      所以 是第二象限角的充要条件是 且 ,故 B 错误;
      对于 C,函数 的零点满足 ,即 ,所以零点是 1,不是 ,故 C 错误;
      对于 D,函数 结合对勾函数的图象,可知 单调递增区间为 , ,故 D
      正确,
      故选:D.
      6. 化简 ( )
      A. 1 B. C. D. 2
      【答案】C
      【解析】
      【分析】利用三角恒等变换化简即得.
      第 3页/共 18页【详解】
      .
      故选:C.
      7. 随着冬天的到来,越来越多的旅客从全国各地来到“尔滨”赏冰乐雪,今年冰雪大世界以“冰雪同梦,亚洲
      同心”为主题,一睹冰雕雪雕风采的同时还能体验各中冰上项目,如抽尜,大滑梯,摩天轮等.如图所示,某
      地摩天轮最高点离地面高度 128m,最低点离地面高度 8m,设置若干个座舱,游客从离地面最近的位置进
      舱,开启后按逆时针匀速旋转,转一周的时间约为 24min,游客甲坐上摩天轮的座舱,开始转动 tmin 后距
      离地面高度为 hm,下列说法正确的是( )
      A. 摩天轮的轮盘直径为 60m
      B. h 关于 t 的函数解析式为
      C. h 关于 t 的函数解析式为
      D. 在游客乘坐一周的过程中,游客有 16min 时间距地面高度超过 38m
      【答案】D
      【解析】
      【分析】根据摩天轮离地最高距离和最低距离的差值,求出直径判断 A;依题意,分别求出 得解
      析式,判断 B,C;根据提议,令 ,求出 的取值范围,判断 D.
      【详解】对于 A,因为摩天轮最高点离地面高度 128m,最低点离地面高度 8m,所以摩天轮的轮盘直径为
      ,故 A 错误;
      第 4页/共 18页对于 B,设 ,则 ,
      令 时,则 , ,
      又 ,解得 ,
      所以 , 故 B,C 错误 ;
      对于 D, ,
      当距地面高度超过 38m 时,即 ,即 ,
      即 ,解得 ,
      又因为 ,所以 ,所以游客有 16min 时间距地面高度超过 38m,故 D 正确,
      故选:D.
      8. 设函数 在 上恰有两个零点,且 的图象在 上恰有两个
      最高点,则 的取值范围是( )
      A. B. C. D.
      【答案】A
      【解析】
      【分析】结合三角函数的图象,可找到满足条件的 所在的区间,解不等式组,可求得结果.
      【详解】 ,
      在 上恰有两个零点,恰有两个最高点,

      第 5页/共 18页即 ,
      当 时,不符合题意,
      当 时,不等式组为 ,不等式无解,
      当 时, 不等式组为 ,不等式无解,
      当 时, ,解得 ,
      当 时, ,不等式无解,
      当 时,不等式无解.
      .
      故选:A
      【点睛】关键点点睛:解决本题的关键是根据 在 上恰有两个零点、两个最高点建立不等式组
      .
      二、多选题:本题共 3 个小题,每小题 6 分,共 18 分.在每个小题给出的四个选项中,有多项
      符合题目要求,全部选对的得 6 分,部分选对的得部分分,有选错的得 0 分.
      9. 下列各式比较大小,正确的是( )
      第 6页/共 18页A. B. C. D.
      【答案】BD
      【解析】
      【分析】根据幂函数及对数函数的单调性判断即可.
      【详解】对于 A、B: , ,
      又 在 上单调递增,所以 ,即 ,故 A 错误,B 正确;
      对于 C、D: ,又 在 上单调递增,
      所以 ,即 ,故 C 错误,D 正确.
      故选:BD
      10. 下列有关最值的结论中,正确的是( )
      A. 当 时,函数 的最小值为
      B. 若 、 均为正数,且 ,则 的最小值为
      C. 若 、 均为正数,且 ,则 的最小值为
      D. 若 、 、 均为正数,且 ,则 最小值为
      【答案】BCD
      【解析】
      【分析】利用基本不等式求出各选项中代数的最值,注意等号成立的条件,即可得出合适的选项.
      【详解】对于 A 选项,当 时,则 ,
      则 ,
      当且仅当 时,即当 时,等号成立,
      故当 时,函数 无最小值,A 错;
      对于 B 选项,若 、 均为正数,且 ,
      由基本不等式可得 ,可得 ,
      第 7页/共 18页即 ,可得 ,
      当且仅当 时,即当 时,等号成立,即 的最小值为 ,B 对;
      对于 C 选项, 若 、 均为正数,且 ,
      则 ,可得 ,
      当且仅当 时,即当 时,等号成立,故 的最小值为 ,C 对;
      对于 D 选项,因为 、 、 均为正数,且 ,


      当且仅当 时,即当 时,等号成立,
      故 的最小值为 ,D 对.
      故选:BCD.
      11. 已知函数 的定义域为 , ,且当 时, ,则(

      A. 是奇函数 B. 是以 1 为周期的周期函数
      C. 当 时, D. 对 恒成立
      【答案】ACD
      第 8页/共 18页【解析】
      【分析】对于 A,令 ,得 ,令 , 将 变换为 ,得到 判定;
      对于 B,先证明 是增函数,可得 不是周期函数判断;对于 C,D 运用单调性可判断.
      【详解】对于 A,令 ,则 ,得 ,
      令 ,得 ,
      由 整理可得 ①.
      将 变换为 ,则 ②,
      由① ②得, ,
      所以 ,故 是奇函数,故 A 正确.
      对于 B,设 ,则 , ,
      由 时, ,得 ,
      又 ,
      故 .又 是奇函数,根据奇函数性质,故 是 上的增函数,
      所以 不是周期函数,故 B 错误.
      对于 C,当 时, ,由 B 知 是增函数,所以 ,故 C 正确.
      对于 D,因为 ,都有 ,即 ,
      由 是增函数,故 对 恒成立,故 D 正确.
      故选:ACD.
      三、填空题:本题共 3 个小题,每小题 5 分,共 15 分.
      12. 函数 的定义域为__________.
      【答案】
      【解析】
      第 9页/共 18页【分析】根据对数的真数大于零可得出 ,结合正弦函数的基本性质求解即可.
      【详解】对于函数 ,有 ,可得 ,
      解得 ,
      因此,函数 的定义域为 .
      故答案为: .
      13. 《九章算术》是中国古代的数学名著,其中《方田》一章涉及到了弧田面积的计算问题,如图所示,弧
      田是由弧 AB 和弦 AB 所围成的图中阴影部分.若弧田所在扇形的圆心角为 ,扇形的弧长为 ,则此弧田
      的面积为__________.
      【答案】
      【解析】
      【分析】设扇形 半径为 ,利用弧长公式求出 的值,然后利用扇形的面积减去三角形 的面积可得
      出弧田的面积.
      【详解】设扇形的半径为 ,则扇形的弧长为 ,解得 ,扇形面积为 ,
      取 的中点 ,连接 ,如下图所示:
      因为 ,则 ,
      又因为 ,则 ,
      所以, , ,则 ,
      第 10页/共 18页所以, ,
      因此,弧田的面积为 .
      故答案为: .
      14. 设函数 ,若关于 x 的函数 恰好有五个零点,
      则实数 a 的取值范围是__________.
      【答案】
      【解析】
      【分析】画出 的图象,换元后数形结合分析可得方程两根的范围,再利用二次函数
      根的分布列出不等式组即可得解.
      【详解】作出函数 的图像如下:
      令 ,关于 x 的函数 恰好有五个零点,
      则 有两个不同的实根,设两根分别为 , 有五个零点,即 与
      共有五个交点.
      则由图像可知,
      ,或者
      第 11页/共 18页令 ,据二次函数根分布的关系,可得 或
      解不等式组,得 .
      故答案为:
      四、解答题:本题共 5 个小题,共 77 分.解答应写出文字说明,证明过程或演算步㯃.
      15. (1)已知角 终边所在直线经过点 ,求 的值;
      (2)已知 , , , ,求 的值.
      【答案】(1) ;(2)
      【解析】
      【分析】(1)根据三角函数的定义求出 ,再由诱导公式及同角三角函数的基本关系将弦化切,最后代
      入计算可得;
      (2)首先求出 , ,再由两角和的余弦公式计算可得.
      【详解】(1) 角 终边所在直线经过点 , ,
      .
      第 12页/共 18页(2) , , , ,
      , ,
      .
      16. 已知定义在 上 函数 .
      (1)判断函数 的单调性,并用定义证明;
      (2)解不等式 .
      【答案】(1)增函数,证明见解析
      (2)
      【解析】
      【分析】(1)利用函数单调性的定义,即可作出判断与证明;
      (2)利用函数 为奇函数,把不等式转化为 ,再利用 的单调性,得出不等式
      组,即可求解.
      【小问 1 详解】
      函数 在 上是增函数,证明如下:
      设 ,则

      , ,且 ,则 ,
      则 ,即 ,所以函数 在 上是增函数.
      【小问 2 详解】
      , ,故 是奇函数,
      , ,
      是定义在 上的增函数,
      第 13页/共 18页,解得 ,
      所以不等式的解集为 .
      17. 已知函数 是偶函数.
      (1)求实数 的值;
      (2)若 ,求 的集合;
      【答案】(1)
      (2)
      【解析】
      【分析】(1)利用偶函数的定义可得出关于 的等式,解之即可;
      (2)由对数函数的单调性结合不等式 可得出 ,设 ,可得出关于
      的二次不等式,解出 的取值范围,结合指数函数的单调性可得出 的取值范围.
      【小问 1 详解】
      对任意的 , ,
      所以,函数 的定义域为 ,
      因为函数 为偶函数,则 ,
      即 ,
      所以,
      对任意的 恒成立,
      所以, ,解得 .
      【小问 2 详解】
      因为 ,
      第 14页/共 18页由 即 ,即 .
      设 ,则 ,所以, ,即 ,
      解得 ,即 ,解得 ,
      因此,满足不等式 的 的取值集合为 .
      18. 已知函数 .
      (1)求函数 的最小正周期和单调递增区间;
      (2)若 ,求函数 的值域;
      (3)若方程 在 上有两个不相等的实数根 , ,求 的值.
      【答案】(1)最小正周期为 ,
      (2)
      (3)
      【解析】
      【分析】(1)根据二倍角公式和辅助角公式,把函数整理为正弦型函数,利用周期公式,求周期,利用正弦
      函数的单调区间,求出函数的单调增区间;
      (2)根据题中所给 ,求得 的取值范围,利用正弦函数的图像,求出函数值域;
      (3)根据题中所给 范围,求得 的取值范围,转化为解方程 ,借助正弦函数的对称
      性,求得 , 的关系,代入求解.
      【小问 1 详解】
      第 15页/共 18页即 ,
      最小正周期为 , ,解得 ,
      故单调递增区间为 .
      小问 2 详解】
      由 , , ,
      所以 在区间 上的值域为 .
      【小问 3 详解】
      由 , ,
      的两个解为 ,
      .则 , , ,

      所以 .
      19. 已知函数 , .
      (1)若 ,求函数 的单调增区间;
      (2)若方程 有 3 个不同的实根 , , ,且 求实数 的取值范围;
      (3)在(2)的条件下,若存在 , , ,使不等式 成立,求实数 的取值范围.
      【答案】(1)单调增区间为 ,
      (2)
      第 16页/共 18页(3)
      【解析】
      【分析】(1)根据二次函数解析式判断单调性即可;
      (2)根据 和 两种情况分别讨论函数零点的个数即可求参;
      (3)先根据韦达定理得出 , ,再根据 构造函数可解.
      【小问 1 详解】
      时, ,
      则单调增区间为 , .
      【小问 2 详解】
      设 ,
      方程 有 3 个不同的实根 , , ,
      即为函数 有 3 个不同的零点 , , ,
      当 时, 在 上单调递增,只有 1 个零点 ,不符合题意;
      当 时,因为函数 有 3 个不同的零点 , , ,
      且 在 上单调递增,在 上单调递减,在 上单调递增,
      所以 时, 有 1 个根,
      时, 有 2 个根,
      故 ,解得 ;
      当 时,当 时,方程 判别式 ,
      可知 无解,所以函数 不可能有 3 个不同的零点 , , ,
      所以不符合题意.
      第 17页/共 18页综上: 的取值范围是 .
      小问 3 详解】
      由(1)知 , , 是方程 的两个不等实根,
      则 , ,
      是方程 的大根,即 ,
      由 ,得 ,
      记 ,则 ,
      即等价于存在 ,使 ,即 ,
      因为 ,
      显然 在 上单调递增,
      所以 ,所以 的取值范围是 .
      【点睛】关键点点睛:解题的关键点是构造函数 结合函数的单调性得出参数范围.
      第 18页/共 18页

      相关试卷 更多

      资料下载及使用帮助
      版权申诉
      • 1.电子资料成功下载后不支持退换,如发现资料有内容错误问题请联系客服,如若属实,我们会补偿您的损失
      • 2.压缩包下载后请先用软件解压,再使用对应软件打开;软件版本较低时请及时更新
      • 3.资料下载成功后可在60天以内免费重复下载
      版权申诉
      若您为此资料的原创作者,认为该资料内容侵犯了您的知识产权,请扫码添加我们的相关工作人员,我们尽可能的保护您的合法权益。
      入驻教习网,可获得资源免费推广曝光,还可获得多重现金奖励,申请 精品资源制作, 工作室入驻。
      版权申诉二维码
      欢迎来到教习网
      • 900万优选资源,让备课更轻松
      • 600万优选试题,支持自由组卷
      • 高质量可编辑,日均更新2000+
      • 百万教师选择,专业更值得信赖
      微信扫码注册
      手机号注册
      手机号码

      手机号格式错误

      手机验证码 获取验证码 获取验证码

      手机验证码已经成功发送,5分钟内有效

      设置密码

      6-20个字符,数字、字母或符号

      注册即视为同意教习网「注册协议」「隐私条款」
      QQ注册
      手机号注册
      微信注册

      注册成功

      返回
      顶部
      学业水平 高考一轮 高考二轮 高考真题 精选专题 初中月考 教师福利
      添加客服微信 获取1对1服务
      微信扫描添加客服
      Baidu
      map