搜索
      上传资料 赚现金

      (艺考基础)新高考数学一轮复习精讲精练第06讲 函数y=Asin(wx ψ)的图象及其应用(高频考点—精练)(2份,原卷版+解析版)

      • 1.74 MB
      • 2025-03-05 00:08:52
      • 90
      • 0
      • M.T.杨
      加入资料篮
      立即下载
      查看完整配套(共2份)
      包含资料(2份) 收起列表
      原卷
      (艺考基础)新高考数学一轮复习精讲精练第06讲 函数y=Asin(wx ψ)的图象及其应用(高频考点—精练)(原卷版).doc
      预览
      解析
      (艺考基础)新高考数学一轮复习精讲精练第06讲 函数y=Asin(wx ψ)的图象及其应用(高频考点—精练)(解析版).doc
      预览
      正在预览:(艺考基础)新高考数学一轮复习精讲精练第06讲 函数y=Asin(wx ψ)的图象及其应用(高频考点—精练)(原卷版).doc
      (艺考基础)新高考数学一轮复习精讲精练第06讲 函数y=Asin(wx ψ)的图象及其应用(高频考点—精练)(原卷版)第1页
      高清全屏预览
      1/8
      (艺考基础)新高考数学一轮复习精讲精练第06讲 函数y=Asin(wx ψ)的图象及其应用(高频考点—精练)(原卷版)第2页
      高清全屏预览
      2/8
      (艺考基础)新高考数学一轮复习精讲精练第06讲 函数y=Asin(wx ψ)的图象及其应用(高频考点—精练)(原卷版)第3页
      高清全屏预览
      3/8
      (艺考基础)新高考数学一轮复习精讲精练第06讲 函数y=Asin(wx ψ)的图象及其应用(高频考点—精练)(解析版)第1页
      高清全屏预览
      1/14
      (艺考基础)新高考数学一轮复习精讲精练第06讲 函数y=Asin(wx ψ)的图象及其应用(高频考点—精练)(解析版)第2页
      高清全屏预览
      2/14
      (艺考基础)新高考数学一轮复习精讲精练第06讲 函数y=Asin(wx ψ)的图象及其应用(高频考点—精练)(解析版)第3页
      高清全屏预览
      3/14
      还剩5页未读, 继续阅读

      (艺考基础)新高考数学一轮复习精讲精练第06讲 函数y=Asin(wx ψ)的图象及其应用(高频考点—精练)(2份,原卷版+解析版)

      展开

      这是一份(艺考基础)新高考数学一轮复习精讲精练第06讲 函数y=Asin(wx ψ)的图象及其应用(高频考点—精练)(2份,原卷版+解析版),文件包含艺考基础新高考数学一轮复习精讲精练第06讲函数yAsinwxψ的图象及其应用高频考点精练原卷版doc、艺考基础新高考数学一轮复习精讲精练第06讲函数yAsinwxψ的图象及其应用高频考点精练解析版doc等2份试卷配套教学资源,其中试卷共22页, 欢迎下载使用。
      一、单选题
      1.(2022·全国·高一课时练习)将函数图象上所有点的横坐标都伸长到原来的2倍,得到函数的图象,则的解析式是( )
      A.B.
      C.D.
      【答案】C
      【详解】将函数图象上所有点的横坐标都缩短到原来的倍,可得到函数的图象,因为,所以.
      故选:C.
      2.(2022·上海市吴淞中学高一期末)为了得到函数的图像,需对函数的图像所作的变换可以为( )
      A.先将图像上所有的横坐标伸长为原来的3倍,纵坐标不变,再向左平移个单位
      B.先将图像上所有的横坐标缩短为原来的,纵坐标不变,再向右平移个单位
      C.先将图像上所有的横坐标缩短为原来的,纵坐标不变,再向左平移个单位
      D.先将图像上所有的横坐标伸长为原来的3倍,纵坐标不变,再向右平移个单位
      【答案】B
      【详解】对于A,先将的图像上所有的横坐标伸长为原来的3倍,纵坐标不变,再向左平移个单位,所得图像的解析式为,
      故A错误;
      对于B,先将的图像上所有的横坐标缩短为原来的,纵坐标不变,再向右平移个单位,所得图像的解析式为,故B正确;
      对于C,先将的图像上所有的横坐标缩短为原来的,纵坐标不变,再向左平移个单位,所得图像的解析式为,故C错误;
      对于D,先将的图像上所有的横坐标伸长为原来的3倍,纵坐标不变,再向右平移个单位,所得图像的解析式为,故D错误;
      故选:B.
      3.(2022·陕西安康·高二期末(理))将函数的图象向左平移个单位得到函数的图象,则的最小值是( )
      A.B.C.D.
      【答案】C
      【详解】由已知可得,
      ∴,∴.
      ∵,∴的最小值是.
      故选:C
      4.(2022·全国·高三专题练习)将函数的图象上所有点的横坐标变为原来的倍,纵坐标不变,再将所得函数图象向左平移个单位长度,最后将所得函数图象上所有点的纵坐标变为原来的倍,横坐标不变,得到如图所示的函数的部分图象,则的值分别为( )
      A.
      B.
      C.
      D.
      【答案】D
      【详解】设,由函数图象,知,所以.所以.
      又函数图象过点,所以.
      所以,解得.
      因为,所以.所以.所以.
      故选:D.
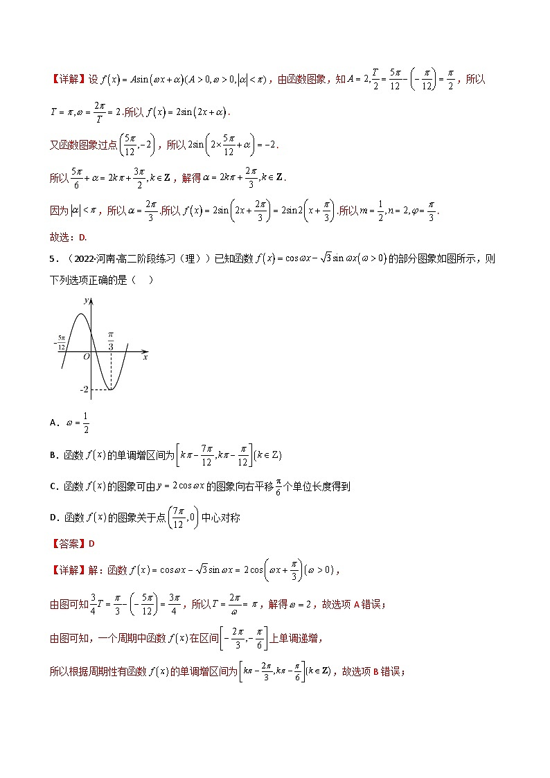
      5.(2022·河南·高二阶段练习(理))已知函数的部分图象如图所示,则下列选项正确的是( )
      A.
      B.函数的单调增区间为
      C.函数的图象可由的图象向右平移个单位长度得到
      D.函数的图象关于点中心对称
      【答案】D
      【详解】解:函数,
      由图可知,所以,解得,故选项A错误;
      由图可知,一个周期中函数在区间上单调递增,
      所以根据周期性有函数的单调增区间为,故选项B错误;
      函数的图象向右平移个单位长度得,故选项C错误;
      当时,,所以函数的图象关于点中心对称,故选项D正确.
      故选:D.
      6.(2022·江西省万载中学高一阶段练习)函数f(x)=Asin(ωx+φ)(其中A>0,ω>0,)的图象如图所示,为了得到g(x)=sin2x的图象,则只需将f(x)的图象( )
      A.向左平移个长度单位B.向右平移个长度单位
      C.向右平移个长度单位D.向左平移个长度单位
      【答案】C
      【详解】由函数的图象可得,
      根据,求得,
      再根据五点法作图可得,

      ∴,

      故把的图象向右平移个长度单位,可得的图象,
      故选:.
      7.(2022·山西大附中高三阶段练习)阻尼器是一种以提供阻力达到减震效果的专业工程装置.我国第一高楼上海中心大厦的阻尼器减震装置,被称为“镇楼神器”,如图1由物理学知识可知,某阻尼器的运动过程可近似为单摆运动,其离开平衡位置的位移y(m)和时间t(s)的函数关系为,如图2,若该阻尼器在摆动过程中连续三次到达同一位置的时间分别为,且,,则在一个周期内阻尼器离开平衡位置的位移大于0.5m的总时间为 ( )
      A.B.C.D.
      【答案】D
      【详解】因为,,
      所以,又,所以,
      所以,
      由可得,
      所以,,,
      所以在一个周期内阻尼器离开平衡位置的位移大于0.5m的总时间为.
      故选:D.
      8.(2022·湖北·襄阳五中高三阶段练习)如图,是自行车前轮外边沿上的一点,前轮半径为,若单车向前直行时(车轮向前顺时针滚动,无滑动),下列描述正确的是( )
      A.点在前轮的左下位置,距离地面约为
      B.点在前轮的右下位置,距离地面约为
      C.点在前轮的左上位置,距离地面约为
      D.点在前轮的右上位置,距离地面约为
      【答案】C
      【详解】自行车在向前直行的过程中,点在前轮上按照顺时针的方向在旋转,
      点转过的弧度数为,
      以前轮的圆心为原点,以向前的方向为的正方向,建立平面直角坐标系,
      以轴的正半轴为始边,以射线的初始位置为终边的角为
      则向前直行后,射线转到图中的位置,其中,
      故点在前轮的左上位置,
      距离地面约为.
      故选:C.
      二、多选题
      9.(2022·江苏省如皋中学高三开学考试)函数在一个周期内的图象如图所示,则( ).
      A.该函数的解析式为
      B.该函数图象的对称中心为,
      C.该函数的单调递增区间是,
      D.把函数的图象上所有点的横坐标伸长为原来的倍,纵坐标不变,可得到该函数图象
      【答案】ACD
      【详解】由题图可知,,周期,
      所以,则,
      因为当时,,即,
      所以,,即,,
      又,故,从而,故A正确;
      令,,得,,故B错误;
      令,,
      得,,故C正确;
      函数的图象上所有点的横坐标伸长为原来的倍,纵坐标不变,
      可得到,故D正确.
      故选:ACD.
      10.(2022·江西抚州·高一期中)已知函数 的部分图象如图所示,把函数 图象上所有点的横坐标伸长为原来的 倍,得到函数
      的图象,则 ( )
      A.为偶函数
      B.的最小正周期是
      C.的图象关于直线对称
      D.在区间 上单调递增
      【答案】AB
      【详解】由函数的图象可知,函数的最大值为,所以,
      由函数的图象可知:,
      由,
      由,因为,所以令,即,
      所以,
      把函数图象上所有点的横坐标伸长为原来的倍,得到函数的图象,
      所以.令.
      A: 因为,
      所以函数是偶函数,故本选项说法正确;
      B:的最小正周期为:,所以本选项说法正确;
      C:因为,所以的图像不关于直线对称,因此本选项说法不正确;
      D:因为,所以,显然,所以在区间 上单调递减,因此本选项说法不正确,
      故选:AB
      三、填空题
      11.(2022·陕西·长安一中高二期末(理))将函数的图像向右平移个单位长度后得到函数的图像,若在区间上的最小值为,则的最大值为_____.
      【答案】
      【详解】解:将向右平移个单位长度得到,
      因为,所以,
      由于函数,
      该函数在上的最小值为,故,故,
      即的最大值为.
      故答案为:.
      12.(2022·全国·高三专题练习(理))定义运算“⊕”:.设函数,将的图象向右平移个单位长度得到函数的图象,且的图象关于y轴对称,则的最小值为_______.
      【答案】
      【详解】由题意,得.
      将的图象向右平移个单位长度得到函数的图象,
      则,因的图象关于y轴对称,
      所以,即,则的最小值为.
      故答案为:
      四、解答题
      13.(2022·山东·烟台二中高一期中)函数的部分图象如图所示.
      (1)求函数的解析式;
      (2)若将的图象向右平移个单位长度得到函数的图象,求的单调递减区间.
      【答案】(1)
      (2)
      (1)解:由图可知,且,所以,
      因为,所以,所以,
      又因为,所以,即,
      因为,所以,所以.
      (2)解:由(1)知,将的图象向右平移个单位长度得到,
      令,解得,
      所以递减区间为.
      14.(2022·安徽·涡阳县第九中学高一期末)已知函数.
      (1)求函数的最大值;
      (2)把的图象上所有点的横坐标伸长到原来的2倍(纵坐标不变),再把得到的图象向左平移个单位,得到函数的图象,求函数的单调递减区间
      【答案】(1)4;
      (2),.
      (1)
      ∴当时取得最大值4;
      (2)因为把的图象上所有点的横坐标伸长到原来的2倍(纵坐标不变),再把得到的图象向左平移个单位,得到函数的图象,
      所以,
      令,可得函数的单调递减区间为,.
      B能力提升
      15.(2022·全国·高一课时练习)已知函数的部分图象如图所示,且相邻的两条对称轴之间的距离为6.
      (1)求函数的解析式;
      (2)若将函数图象上所有点的横坐标变为原来的(纵坐标不变)得到函数的图象,关于x的不等式在上有解,求实数t的取值范围.
      【答案】(1)
      (2)
      (1)解:由题意得函数的最小正周期为,
      所以,
      因为的图象过点,所以,即,
      因为,所以.
      (2)因为将函数图象上所有点的横坐标变为原来的(纵坐标不变)得到函数的图象,所以
      当时,,则
      因为不等式,在上有解,即有
      解得,所以实数t的取值范围为.
      16.(2022·全国·高三专题练习)已知函数
      (1)某同学利用五点法画函数在区间上的图象.他列出表格,并填入了部分数据,请你帮他把表格填写完整,并在坐标系中画出图象;
      (2)已知函数.
      (i)若函数的最小正周期为,求的单调递增区间;
      (ii)若函数在上无零点,求ω的取值范围(直接写出结论).
      【答案】(1)答案见解析;(2)(i);(ii).
      【详解】解:(1)

      (2)(i)由题意,,
      ,,
      即.
      令,
      解得.
      所以的单调递增区间为.
      (ii)则,
      所以,
      所以的取值范围为.
      x
      0
      π

      0
      2
      0
      0
      0
      0
      2
      0
      0

      相关试卷 更多

      资料下载及使用帮助
      版权申诉
      • 1.电子资料成功下载后不支持退换,如发现资料有内容错误问题请联系客服,如若属实,我们会补偿您的损失
      • 2.压缩包下载后请先用软件解压,再使用对应软件打开;软件版本较低时请及时更新
      • 3.资料下载成功后可在60天以内免费重复下载
      版权申诉
      若您为此资料的原创作者,认为该资料内容侵犯了您的知识产权,请扫码添加我们的相关工作人员,我们尽可能的保护您的合法权益。
      入驻教习网,可获得资源免费推广曝光,还可获得多重现金奖励,申请 精品资源制作, 工作室入驻。
      版权申诉二维码
      高考专区
      • 精品推荐
      • 所属专辑118份
      欢迎来到教习网
      • 900万优选资源,让备课更轻松
      • 600万优选试题,支持自由组卷
      • 高质量可编辑,日均更新2000+
      • 百万教师选择,专业更值得信赖
      微信扫码注册
      手机号注册
      手机号码

      手机号格式错误

      手机验证码 获取验证码 获取验证码

      手机验证码已经成功发送,5分钟内有效

      设置密码

      6-20个字符,数字、字母或符号

      注册即视为同意教习网「注册协议」「隐私条款」
      QQ注册
      手机号注册
      微信注册

      注册成功

      返回
      顶部
      学业水平 高考一轮 高考二轮 高考真题 精选专题 初中月考 教师福利
      添加客服微信 获取1对1服务
      微信扫描添加客服
      Baidu
      map