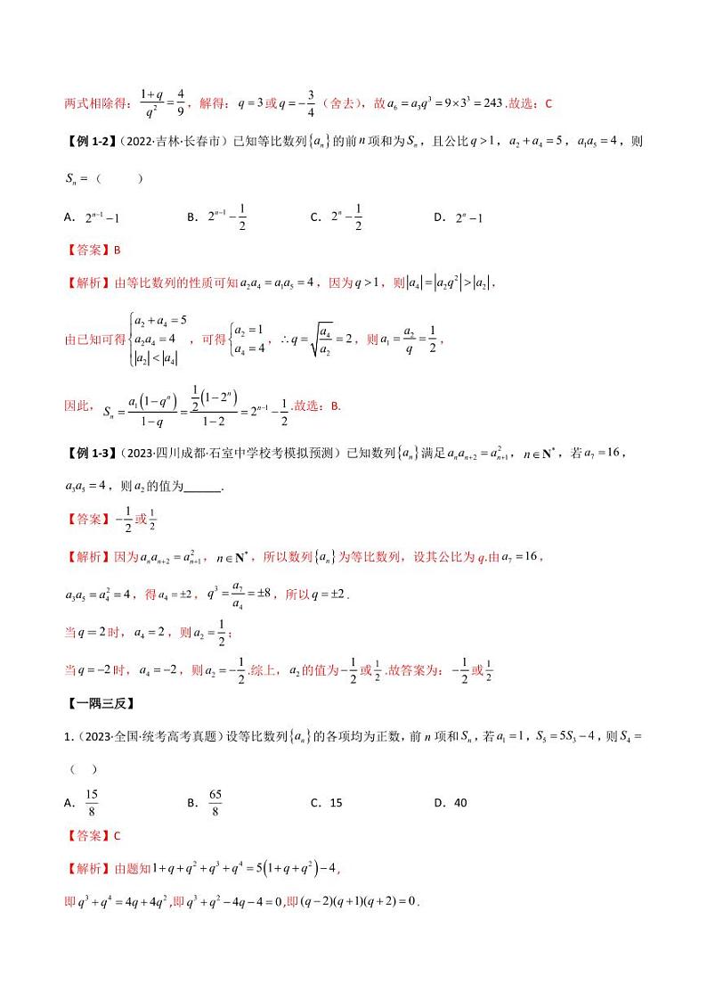
6.2 等比数列(精讲)(含答案) 2024年高考数学一轮复习一隅三反系列(新高考)学案
展开
这是一份6.2 等比数列(精讲)(含答案) 2024年高考数学一轮复习一隅三反系列(新高考)学案,文件包含62等比数列精讲教师版2024年高考数学一轮复习一隅三反系列新高考pdf、62等比数列精讲学生版2024年高考数学一轮复习一隅三反系列新高考pdf等2份学案配套教学资源,其中学案共26页, 欢迎下载使用。
相关学案
这是一份3.4 对数运算及对数函数(精讲)(含答案) 2024年高考数学一轮复习一隅三反系列(新高考)学案,文件包含34对数运算及对数函数精讲教师版2024年高考数学一轮复习一隅三反系列新高考pdf、34对数运算及对数函数精讲学生版2024年高考数学一轮复习一隅三反系列新高考pdf等2份学案配套教学资源,其中学案共33页, 欢迎下载使用。
这是一份3.3 指数运算及指数函数(精讲)(含答案) 2024年高考数学一轮复习一隅三反系列(新高考)学案,文件包含33指数运算及指数函数精讲教师版2024年高考数学一轮复习一隅三反系列新高考pdf、33指数运算及指数函数精讲学生版2024年高考数学一轮复习一隅三反系列新高考pdf等2份学案配套教学资源,其中学案共33页, 欢迎下载使用。
这是一份3.2 函数的性质(精讲)(含答案) 2024年高考数学一轮复习一隅三反系列(新高考)学案,文件包含32函数的性质精讲教师版2024年高考数学一轮复习一隅三反系列新高考pdf、32函数的性质精讲学生版2024年高考数学一轮复习一隅三反系列新高考pdf等2份学案配套教学资源,其中学案共41页, 欢迎下载使用。

