2025届广东省建文教育集团两学部高三上学期12月第一次模拟数学试卷(解析版)
展开
这是一份2025届广东省建文教育集团两学部高三上学期12月第一次模拟数学试卷(解析版),共18页。试卷主要包含了单选题,多选题,填空题,解答题等内容,欢迎下载使用。
一、单选题:本题共8小题,每小题5分,共40分.在每小题给出的选项中,只有一项是符合题目要求的.
1. 若复数满足,则( )
A. 1B. C. 2D. 4
【答案】C
【解析】法1:因为,所以,所以.
法2:因为,所以,即.
故选:C.
2. 已知命题,,,,则( )
A. p和q都是真命题
B. p和都是真命题
C. 和q都是真命题
D. 和都是真命题
【答案】B
【解析】当x=1时,命题成立,所以命题p是真命题,命题是假命题;
当x=0时,命题不成立,所以命题q是真命题,命题是真命题.
故选:B.
3. 记为非零数列的前项和,若,,则( )
A. 2B. 4C. 8D. 16
【答案】C
【解析】在非零数列中,,由,,得数列等比数列,,
因此,
所以.
故选:C
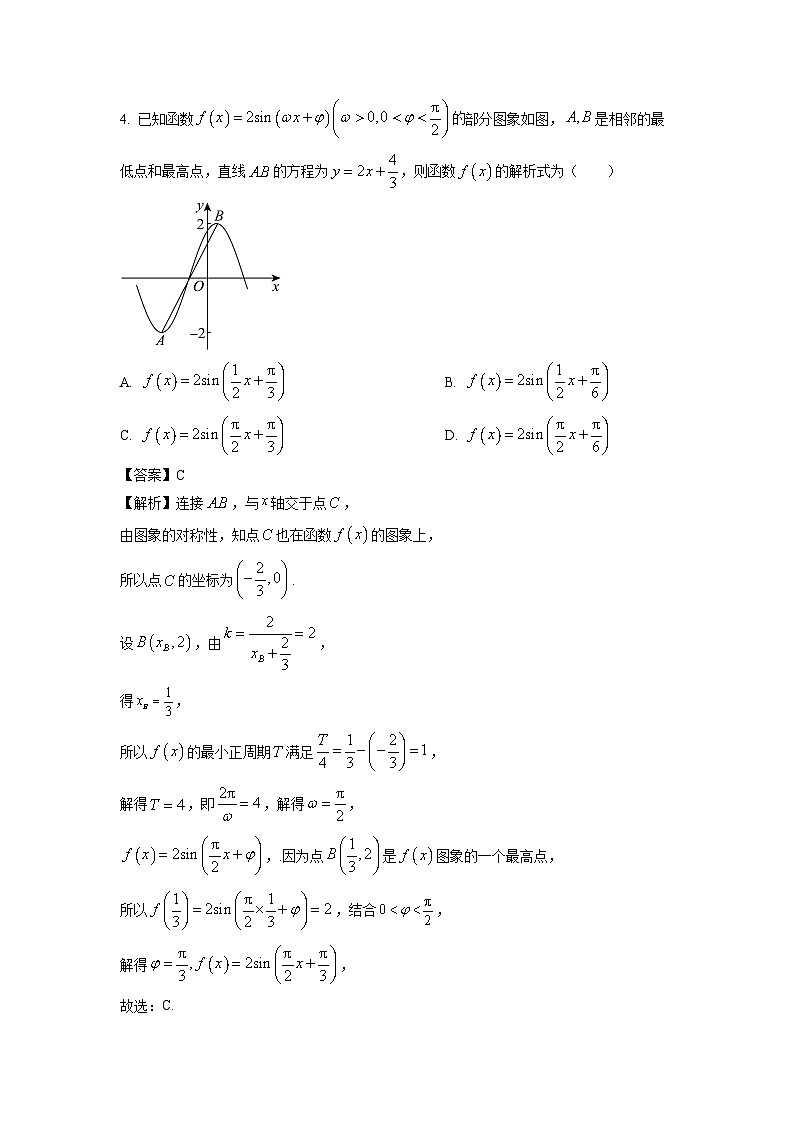
4. 已知函数部分图象如图,是相邻的最低点和最高点,直线的方程为,则函数的解析式为( )
A. B.
C. D.
【答案】C
【解析】连接,与轴交于点,
由图象的对称性,知点也在函数的图象上,
所以点的坐标为.
设,由,
得,
所以的最小正周期满足,
解得,即,解得,
,.因为点是图象的一个最高点,
所以,结合,
解得,
故选:C.
5. 众数、平均数和中位数都描述了数据的集中趋势,它们的大小关系和数据的分布形态有关.根据某小区1000户居民的月均用水量数据(单位:),得到如图所示的频率分布直方图,记该组数据的众数为,中位数为,平均数为,则( )
A. B.
C. D.
【答案】D
【解析】观察频率分布直方图,发现是属于右边“拖尾”,所以平均数大于中位数为,
由于第一个小矩形面积为,
前2个小矩形面积之和为,
所以中位数位于之间,故可得,解得,
由频率分布直方图可知众数,
故,
故选:D.
6. 将函数的图象上所有点的横坐标变为原来的(纵坐标不变),得到函数的图象,则在下列区间中,函数单调递减的是( )
A. B.
C. D.
【答案】C
【解析】依题意可得,
若单调递减,则,
解得;
观察选项可知,只需写出在上的单调递减区间即可,
易知当时,单调递减区间为,只有,
可得为函数单调递减区间.
故选:C
7. 已知定义在上的函数满足为奇函数,且的图象关于直线对称,若,则( )
A. B. 0C. 1D. 2
【答案】C
【解析】
由为奇函数,知的图象关于点对称,则,
由,得.
由的图象关于直线对称,则的图象关于直线对称,
所以,,
综上,,
由上,,
得,
所以,则4为的一个周期,
所以.
故选:C
8. 椭圆的长轴长为6,则该椭圆的离心率为( )
A. B. C. D.
【答案】B
【解析】因为椭圆的长轴长为6,
所以椭圆的焦点在轴上,且,
所以椭圆的离心率为.
故选:B.
二、多选题:本题共3小题,共18分.在每小题给出的选项中,有多项符合题目要求.
9. 在复平面内,复数对应的向量分别为、,则下列说法不正确的是( )
A.
B.
C. 若,则
D. 若,则
【答案】ACD
【解析】设,则,
对于A,当时,,
则,故A错误;
对于B,,
,
所以,故B正确;
对于C,当时,,,
满足,但,故C错误;
对于D,当时,,
而,故D错误.
故选:ACD.
10. 已知圆锥的顶点为为底面圆的直径,,点在圆上,点为的中点,与底面所成的角为,则( )
A. 该圆锥的侧面积为
B. 该圆锥的休积为
C.
D. 该圆锥内部半径最大的球的表面积为
【答案】BCD
【解析】由已知,,,易得等腰三角形的底边长, ,
对于A,该圆锥的侧面积为,A错误;
对于B该圆锥的体积为,B正确;
对于C,如图,取中点为,连接,
则为与底面所成角为,故,C正确;
对于D,当球与圆锥内切时,表面积最大,此时球心在圆锥的高上,
设为,球半径为,过向作垂线,垂足为,则,又,
所以,所以,
球的表面积为,D正确,
故选:BCD
11. “”可以看作数学上的无穷符号,也可以用来表示数学上特殊的曲线.如图所示的曲线过坐标原点,上的点到两定点,的距离之积为定值.则下列说法正确的是( )(参考数据:)
A. 若,则的方程为
B. 若上点到两定点、的距离之积为16,则点在上
C. 若,点在上,则
D. 当时,上第一象限内的点满足的面积为,则
【答案】ACD
【解析】已知原点在上,则,设为上任意一点,
则有,整理得.
若,则的方程为,故A正确;
若,则,代入方程得,显然点不在此曲线上,故B错误;
若,点在上,有,
整理得,所以,故C正确;
因为,,可得,
所以点是曲线和以为直径的圆在第一象限内的交点,
联立方程,解得,,即,所以,故D正确.
故选:ACD
三、填空题:本题共3小题,每小题5分,共15分.
12. 已知,则__________.
【答案】4
【解析】由,整理得,
得,解得,所以.
另解:由题知,则,
利用基本不等式可得,
当且仅当时取等号,解得.
故答案为:4
13. 若存在(互不相等),满足,则的取值范围为____________.
【答案】
【解析】存在(互不相等),满足,
则,
不妨设,且是相邻最值点.
当时,
则,解得,
由,解得,
当时,,
当时,,
当时,,
所以,
当时,
则,解得,
由,解得,
当时,,
当时,,
所以,
综上所述,.
故答案为:.
14. 已知函数的最小值为0,则________.
【答案】
【解析】依题意,对于恒成立,且能取得等号,
即对于恒成立,且能取得等号,
函数在上单调递增,不等式为,
则,即,因此在上恒成立,且能取得等号,
设,于是是函数在上的最小值,
求导得,当时,,当时,,
函数在上递减,在上递增,且,
所以.
故答案为:
四、解答题:本题共5小题,共77分.解答应写出文字说明,证明过程或演算步骤.
15. 在中,a,b,c分别是内角A,B,C对边,且.
(1)若,且的面积为,求A;
(2)若,求.
解:(1)因为,所以,
又,所以,
所以的面积,
则,因为,所以或.
(2)因为,所以,
所以.由余弦定理得,
因为,所以或,
又,所以,所以,
所以.
16. 已知二阶行列式,三阶行列式,其中分别为的余子式(某个数的余子式是指删去那个数所在的行和列后剩下的行列式).
(1)计算.
(2)设函数.
①若的极值点恰为等差数列的前两项,且的公差大于0,求;
②若且,函数,证明:.
(1)解:原式
.
(2)
.
(i)解:.
当或时,;当时,.
所以在和上是增函数,在上是减函数,
所以的极大值点为,极小值点为1.
因为的极值点恰为等差数列的前两项,且的公差大于0,
所以,
则公差,所以,
所以.
(ii)证明:因为,
所以在上无零点,在上存在唯一零点,且.
令,
则,
当时,单调递增;当时,单调递减.
所以,
而,所以.
令,则.
因为在上单调递诚,
所以当时,,即单调递减,
当时,,即单调递增,
所以,
而,所以.
综上,.
17. 如图,在四棱锥中,底面是边长为2的正方形,,平面平面为的中点.
(1)求证:平面平面;
(2)求平面与平面夹角的余弦值.
(1)证明:方法一;由,有,
,因为为正方形,故,
又平面平面交于平面,
所以,平面,
又平面,所以,
又平面平面,
故平面,又平面,
所以平面平面.
方法二;因为为正方形,故,
而平面平面交于平面,
所以平面,又平面,
所以,
平面和平面交线平行于.
故是平面和平面所成二面角的平面角.
.有,
故平面平面.
方法三:取中点为,先证明:,
,点为的中点.,
而平面平面交于平面,
所以,平面,又平面,所以,,
由已知,建立如图空间直角坐标系,
因为.
故,
,
设平面的一个法向量为,
则,即,取,得,
设平面的一个法向量为,
则,即,取,得,
,故,
所以,平面平面.
(2)解:取中点为.
由(1)知,,
建立如图所示空间直角坐标系,则,,
所以,,
显然可知平面的法向量为PD=0,1,-1,
设平面的一个法向量为,
则,,取,得,
则,
所以平面和平面所成锐二面角的余弦值为.
18. 已知函数.
(1)当时,求函数的图象在点处的切线方程;
(2)讨论函数的单调性;
(3)设,若,求实数的取值范围.
解:(1),
当时,,
当时,,
函数在处的切线方程为.
(2)函数的定义域为,
①当时,恒成立,令,则,
若:若,
所以在单调递减,在单调递增;
②当时,,
令,则,
(i)当,即时,
若或:若,
所以在上递增,在上递减,在上递增.
(ii)当,即时,恒成立,在上递增.
(iii)当,即时,若或:
若,
所以在上递增,在上递减,在上递增,
综上所述,当时,在单调递减,在单调递增;
当时,在上递增,在上递减,在上递增;
当时,在上递增;
当时,在上递增,在上递减,在上递增.
(3)由得恒成立
因为,即恒成立.
设,则,
因为,
同构可得
令因为,所以,
下面先证
设,于是,
令,则,当时,:
当时,
所以在上单调递减,在上单调递增,
所以,即,当且仅当时等号成立.
所以,
即,
所以,即
故实数取值范围为
19. 设数列的前项和为,且.
(1)求数列的通项公式;
(2)在和之间插入1个数,使成等差数列;在和之间插入2个数,使成等差数列;依次类推,在和之间插入个数,使成等差数列.
(i)若,求;
(ii)对于(i)中的,是否存在正整数,使得成立?若存在,求出所有的正整数对;若不存在,说明理由.
解:(1)当时,得;
当时,,
两式相减得,
所以是以1为首项,为公比的等比数列.
所以.
(2)①
设,
所以,
上面两式相减得,
所以
所以,
所以.
②
因为都是递减数列;
所以;
则,
令,即恒成立,
所以数列单调递增,
当时,;
则
所以;
当时,;
则,
所以,,成立,解得,存在;
当时,;
当时,;不满足题意,故不存在:
综上所述,当正整数对取和时,成立.
相关试卷
这是一份广东省建文教育集团两学部2025届高三上学期12月第一次模拟数学试卷(含答案),共19页。试卷主要包含了选择题,多项选择题,填空题,解答题等内容,欢迎下载使用。
这是一份广东省建文教育集团两学部2024-2025学年高三上学期12月第一次模拟数学试题,共8页。
这是一份广东省肇庆市2025届高三上学期第一次模拟考试数学试卷(Word版附解析),文件包含广东省肇庆市2025届高三第一次模拟考试数学试题Word版含解析docx、广东省肇庆市2025届高三第一次模拟考试数学试题Word版无答案docx等2份试卷配套教学资源,其中试卷共21页, 欢迎下载使用。

