2025届广东省韶关市高三上学期综合测试(一)月考数学试卷(解析版)(2)
展开
这是一份2025届广东省韶关市高三上学期综合测试(一)月考数学试卷(解析版)(2),共18页。试卷主要包含了 若复数满足,则, 已知向量,若与垂直, 已知为方程的两个实数根,则等内容,欢迎下载使用。
1. 若复数满足,则( )
A. 1B. C. 2D. 4
【答案】C
【解析】法1:因为,所以,
所以.
法2:因为,所以,即.
故选:C.
2. 已知数列是等比数列,若,则的前6项和为( )
A. B. C. D.
【答案】A
【解析】设数列的公比为,依题意,,解得,
所以.
故选:A
3. 已知向量,若与垂直.则实数的值为( )
A. B. C. D.
【答案】A
【解析】由题意,向量,可得,
因为,
所以,解得,
所以当时,与垂直,
故选:A.
4. 众数、平均数和中位数都描述了数据的集中趋势,它们的大小关系和数据的分布形态有关.根据某小区1000户居民的月均用水量数据(单位:),得到如图所示的频率分布直方图,记该组数据的众数为,中位数为,平均数为,则( )
A. B.
C. D.
【答案】D
【解析】观察频率分布直方图,发现是属于右边“拖尾”,所以平均数大于中位数为,
由于第一个小矩形面积为,
前2个小矩形面积之和为,
所以中位数位于之间,故可得,解得,
由频率分布直方图可知众数,
故,
故选:D.
5. 已知函数在上是单调函数,则的取值范围是( )
A. B. C. D.
【答案】B
【解析】因为时,是单调减函数,
又因为在R上单调,
所以,故时,单调递诚,
则只需满足,解得,
故选:B
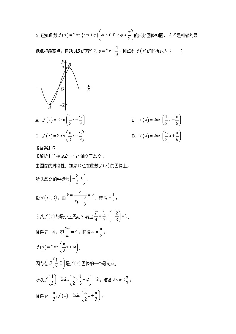
6. 已知函数的部分图像如图,是相邻的最低点和最高点,直线的方程为,则函数的解析式为( )
A. B.
C. D.
【答案】C
【解析】连接,与轴交于点,
由图像的对称性,知点也在函数的图像上,
所以点的坐标为.
设,由,得,
所以的最小正周期满足,
解得,即,解得,
,
因为点是图像的一个最高点,
所以,结合,
解得,
故选:C.
7. 已知为方程的两个实数根,则( )
A. B. C. D.
【答案】C
【解析】因为为方程的两根,
由韦达定理,得,
则
故选:C.
8. 椭圆的左右焦点分别为,以为直径的圆与椭圆没有公共点,则双曲线的离心率的取值范围是( )
A. B. C. D.
【答案】D
【解析】以为直径的圆的方程为,
依题意,椭圆短轴的端点在此圆外,
即,
解得,
则双曲线的离心率为,
由,得,
所以所求离心率取值范围.
故选:D
二、多选题:本题共3小题,每小题6分,共18分.在每小题给出的选项中,有多项符合题目要求.全部选对的得6分,部分选对的得部分分,有选错的得0分.
9. 已知某批产品的质量指标服从正态分布,且,现从该批产品中随机取3件,用表示这3件产品的质量指标值位于区间的产品件数,则( )
A. B.
C. D.
【答案】AC
【解析】由正态分布的概念可知,故A正确;
由正态分布的性质得,故B错误;
则1件产品的质量指标值位于区间的概率为
所以,故C正确;
,故D错误.
故选:AC.
10. 已知圆锥的顶点为为底面圆的直径,,点在圆上,点为的中点,与底面所成的角为,则( )
A. 该圆锥的侧面积为
B. 该圆锥的体积为
C.
D. 该圆锥内部半径最大的球的表面积为
【答案】BCD
【解析】由已知,,,
易得等腰三角形的底边长, ,
对于A,该圆锥的侧面积为,A错误;
对于B该圆锥的体积为,B正确;
对于C,如图,取中点为,连接,
则为与底面所成角为,故,C正确;
对于D,当球与圆锥内切时,表面积最大,此时球心在圆锥的高上,
设为,球半径为,过向作垂线,垂足为,则,
又,所以,所以,
球的表面积为,D正确,
故选:BCD
11. 若为函数的导函数,对任意的,恒有,且,则( )
A. B.
C. 为偶函数D. 若,则
【答案】ABD
【解析】原式移项得,
即
对于A,令,则由
可得,
故(舍去)或,故A正确:
对于B,令,则,故.
由于x∈R,令,则,所以,即有,故B正确:
对于C,令,则,即,
因为,所以,所以为偶函数,
对左右两边同时求导得,所以为奇函数,故C错误;
对于D,由A选项,若,
令,则,即,
令,则,即,
令,则,即,
令,则,即,
令,则,即,
令,则,即,
令,则,即,
由此可得的值有周期性,且周期为6,
且,
故,故D正确.
故选:ABD.
三、填空题:本题共3小题,每小题5分,共15分.
12. 已知集合,写出满足条件的整数的一个值__________.
【答案】中的任何一个值.
【解析】因为,所以,
又因为,
故整数所有可能取值为.
故答案为:中的任何一个值.
13. 已知,则__________.
【答案】4
【解析】由,整理得,
得,解得,所以.
另解:由题知,则,
利用基本不等式可得,
当且仅当时取等号,解得.
故答案为:4
14. 小明参加一项篮球投篮测试,测试规则如下:若出现连续两次投篮命中,则通过测式;若出现连续两次投篮不中,则不通过测试.已知小明每次投篮命中的概率均为,则小明通过测试的概率为__________.
【答案】
【解析】设第一次投篮成功为事件B,通过测试为事件A,
则,
所以,
所以,
故答案为:
四、解答题:本题共5小题,共77分.解答应写出文子说明、证明过程或演算步骤.
15. 已知分别为三个内角的对边,且.
(1)求;
(2)若,求周长的最大值.
解:(1)由b及正弦定理
得
所以
因为
化简得
因为,所以,所以
所以.
(2)法一:由余弦定理
有
因为
所以
即,所以,当且仅当时等号成立
所以的周长.
即周长的最大值为6.
法二:由正弦定理,即
的周长
因为,所以
所以
因为,所以当时取得最大值为6
法三:(几何法):如图1所示,延长到点,使得
使得,
要使的周长最大,则需满足长度最大
将问题转化为已知一边,一对角,求另一边的长度的最大值
由图2可得.当为该圆直径时,最大.
即
所以.
16. 如图,在四棱锥中,底面是边长为2的正方形,,平面平面为的中点.
(1)求证:平面平面;
(2)求平面与平面夹角的余弦值.
(1)证明:方法一;由,有,
,
因为为正方形,故,
又平面平面交于平面,
所以,平面,
又平面,所以,
又平面平面,
故平面,又平面,
所以平面平面.
方法二;因为为正方形,故,
而平面平面交于平面,
所以平面,又平面,
所以,
平面和平面交线平行于.
故是平面和平面所成二面角的平面角.
.有,
故平面平面.
方法三:取中点为,先证明:,
,点为的中点.,
而平面平面交于平面,
所以,平面,又平面,
所以,,
由已知,建立如图空间直角坐标系,
因为.
故,
,
设平面的一个法向量为,
则,即,取,得,
设平面的一个法向量为,
则,即,取,得,
,故,
所以,平面平面.
(2)解:取中点为.
由(1)知,,
建立如图所示空间直角坐标系,则,,
所以,,
显然可知平面的法向量为PD=0,1,-1,
设平面的一个法向量为,
则,,
取,得,
则,
所以平面和平面所成锐二面角的余弦值为.
17. 已知抛物线的焦点为,其准线与轴相交于点.动点满足直线的斜率之积为,记点的轨迹为.
(1)求的方程;
(2)过点且斜率为的直线与轴相交于点,与相交于两点,若.求的值.
解:(1)设点,
由题意知.
直线的斜率分别,
所以,
化简得
点的轨迹方程为.
(2)方法一,设,
由题意知直线的方程为,所以,
联立方程组,消去整理得,
,,
由得,,
故有,即,
解得.
方法二:设,
由题意知直线的方程为,所以,
联立方程组,消去整理得.
,,
由得,,
故有,即,
解得.
方法三:设,
由题意知直线的方程为,所以.
因为,所以线段的中点为,
,
又因为,所以点也是的中点,
联立方程组,
-②得,
即,
所以,
又因为,所以,
解得.
18. 已知函数.
(1)当时,求函数的图像在点处的切线方程;
(2)讨论函数的单调性;
(3)设,若,求实数的取值范围.
解:(1),
当时,,
当时,,
函数在处的切线方程为.
(2)函数的定义域为,
①当时,恒成立,
令,则,
若:若,
所以在单调递减,在单调递增;
②当时,,
令,则,
(i)当,即时,
若或:若,
所以在上递增,在上递减,在上递增.
(ii)当,即时,恒成立,在上递增.
(iii)当,即时,若或:
若,
所以在上递增,在上递减,在上递增,
综上所述,当时,在单调递减,在单调递增;
当时,在上递增,在上递减,在上递增;
当时,在上递增;
当时,在上递增,在上递减,在上递增.
(3)由得恒成立
因为,即恒成立.
设,则,
因为,
同构可得
令因为,所以,
下面先证
设,于是,
令,则,当时,:
当时,
所以在上单调递减,在上单调递增,
所以,即,当且仅当时等号成立.
所以,
即,
所以,即
故实数取值范围为
19. 设数列的前项和为,且.
(1)求数列的通项公式;
(2)在和之间插入1个数,使成等差数列;在和之间插入2个数,使成等差数列;依次类推,在和之间插入个数,使成等差数列.
(i)若,求;
(ii)对于(i)中的,是否存在正整数,使得成立?若存在,求出所有的正整数对;若不存在,说明理由.
解:(1)当时,得;
当时,,
两式相减得,
所以是以1为首项,为公比的等比数列.
所以.
(2)①
设,
所以,
上面两式相减得,
所以
所以,
所以.
②
因为都是递减数列;
所以;
则,
令,即恒成立,
所以数列单调递增,
当时,;
则
所以;
当时,;
则,
所以,,成立,解得,存在;
当时,;
当时,;不满足题意,故不存在:
综上所述,当正整数对取和时,成立.
相关试卷
这是一份2025届广东省韶关市高三上学期综合测试(一)月考数学试卷(解析版),共18页。试卷主要包含了 若复数满足,则, 已知向量,若与垂直, 已知为方程的两个实数根,则等内容,欢迎下载使用。
这是一份广东省韶关市2025届高三上学期综合测试(一)数学试题,共20页。试卷主要包含了单选题,多选题,填空题,解答题等内容,欢迎下载使用。
这是一份2025届广东省韶关市高三(上)综合测试(一)数学试卷(含解析),共18页。

