所属成套资源:(寒假)新高考数学一轮复习考点精讲+随堂检测 (2份,原卷版+教师版)
(寒假)新高考数学一轮复习考点精讲+随堂检测01一元二次不等式及基本不等式(2份,原卷版+教师版)
展开
这是一份(寒假)新高考数学一轮复习考点精讲+随堂检测01一元二次不等式及基本不等式(2份,原卷版+教师版),文件包含寒假新高考数学一轮复习考点精讲+随堂检测01一元二次不等式及基本不等式原卷版doc、寒假新高考数学一轮复习考点精讲+随堂检测01一元二次不等式及基本不等式原卷版pdf、寒假新高考数学一轮复习考点精讲+随堂检测01一元二次不等式及基本不等式教师版doc、寒假新高考数学一轮复习考点精讲+随堂检测01一元二次不等式及基本不等式教师版pdf等4份试卷配套教学资源,其中试卷共37页, 欢迎下载使用。
考点01:不等式性质的应用
【例1】(多选)对于实数,下列说法正确的是( )
A.若,则B.若,则
C.若,则D.若,
【例2】已知,,分别求,,,的取值范围.
考点02:利用基本不等式求最值(直接法)
【例3】若实数满足,则的最小值为_________.
【变式1】已知a>0,b>0,且4a+b=1,则ab的最大值为_______.
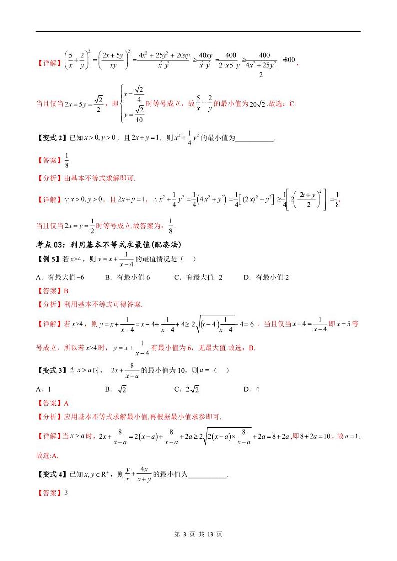
【例4】已知正实数满足,则的最小值为( )
A.20B.40C.D.
【变式2】已知,且,则的最小值为___________.
考点03:利用基本不等式求最值(配凑法)
【例5】若,则的最值情况是( )
A.有最大值B.有最小值6C.有最大值D.有最小值2
【变式3】当时, 的最小值为10,则( )
A.1B.C.2D.4
【变式4】已知,则的最小值为___________.
考点04:利用基本不等式求最值(商式)
【例6】函数在上的最大值为_______________.
【变式5】函数 的最大值为________.
【变式6】当时,函数的最小值为( )
A. B. C. D.4
考点05:利用基本不等式求最值(“1”的代换)
【例7】已知正数x、y满足,求的最小值为____________;
【变式7】设,且,则的最小值为__________.
【变式8】若,则的值可以是__________.
考点06:利用基本不等式求最值(消参法)
【例8】已知,若,则的最小值为______
【变式9】若,,且,则的最小值是( )
A.5B.8C.13D.16
【变式10】已知,,,则的最小值为( )
A.4B.6C.8D.10
考点07:利用对勾函数求最值
【例9】求函数的最值.
【变式11】函数的值域( )
A.B.C.D.
考点08:解不含参的一元二次不等式
【例10】关于实数的一元二次不等式的解集为,则不等式的解集为( )
A. B. C. D.
考点09:分式不等式、高次不等式
【例11】不等式的解集是( )
A.B.
C.D.
考点10:解含参的一元二次不等式
【例12】关于x的方程的解集为,则实数a的值为______.
考点11:一元二次不等式的恒成立问题
【例13】已知函数.若对于,恒成立,则实数m的取值范围________________.
【变式12】若函数的定义域为,则实数a的取值范围为______.
【变式13】已知命题,使得“成立”为真命题,则实数a的取值范围是__________.
考点12:不等式的实际应用
【例14】在中国很多乡村,燃放烟花爆竹仍然是庆祝新年来临的一种方式,烟花爆竹带来的空气污染非常严重,可喷洒一定量的去污剂进行处理.据测算,每喷洒一个单位的去污剂,空气中释放的去污剂浓度(单位:毫克/立方米)随着时间(单位:天)变化的函数关系式近似为,若多次喷洒,则某一时刻空气中的去污剂浓度为每次投放的去污剂在相应时刻所释放的浓度之和,由试验知,当空气中去污剂的浓度不低于4(毫克/立方米)时,它才能起到去污作用.
(1)若一次喷洒4个单位的去污剂,则去污时间可达几天?
(2)若第一次喷洒2个单位的去污剂,6天后再喷洒个单位的去污剂,要使接下来的3天能够持续有效去污,求的最小值.
【变式14】近日,随着新冠肺炎疫情在多地零星散发,为最大程度减少人员流动,减少疫情发生的可能性,高邮政府积极制定政策,决定政企联动,鼓励企业在国庆期间留住员工在本市过节并加班追产,为此,高邮政府决定为波司登制衣有限公司在国庆期间加班追产提供(万元)的专项补贴.波司登制衣有限公司在收到高邮政府(万元)补贴后,产量将增加到(万件).同时波司登制衣有限公司生产(万件)产品需要投入成本为(万元),并以每件元的价格将其生产的产品全部售出.注:收益=销售金额政府专项补贴成本.
(1)求波司登制衣有限公司国庆期间,加班追产所获收益(万元)关于政府补贴(万元)的表达式;
(2)高邮政府的专项补贴为多少万元时,波司登制衣有限公司国庆期间加班追产所获收益(万元)最大?
一元二次不等式及基本不等式 随堂基础
1.(多选)已知实数满足,则下列说法正确的是( )
A.B.
C.D.
2.若,则的最小值是 ( )
A. B.1 C.2 D.
3.下列函数中,最小值为4的是( )
A.B.
C.D.
4.已知正实数满足,则的最小值为( )
A.2B.4C.8D.9
5.已知,若,则的最小值是( )
A.7B.9C.D.
6.已知集合,则_________.
7.不等式的解集是__________.
8.已知,则的取值范围是__________.
9.当时,的最小值为________.
10.命题“,使”是假命题,则实数的取值范围为____________.
11.已知,则的最大值为________.
12.函数的最小值为_________.
13.若,且,则的最小值为______.
14.已知,当时,不等式恒成立,则实数m的范围为__________.
相关试卷
这是一份(寒假)新高考数学一轮复习考点精讲+巩固训练+随堂检测12 椭圆方程及其性质(2份,原卷版+教师版),文件包含寒假新高考数学一轮复习考点精讲+巩固训练+随堂检测12椭圆方程及其性质教师版docx、寒假新高考数学一轮复习考点精讲+巩固训练+随堂检测12椭圆方程及其性质教师版pdf、寒假新高考数学一轮复习考点精讲+巩固训练+随堂检测12椭圆方程及其性质原卷版docx、寒假新高考数学一轮复习考点精讲+巩固训练+随堂检测12椭圆方程及其性质原卷版pdf等4份试卷配套教学资源,其中试卷共62页, 欢迎下载使用。
这是一份(寒假)新高考数学一轮复习考点精讲+巩固训练+随堂检测11 圆的方程(2份,原卷版+教师版),文件包含寒假新高考数学一轮复习考点精讲+巩固训练+随堂检测11圆的方程教师版docx、寒假新高考数学一轮复习考点精讲+巩固训练+随堂检测11圆的方程教师版pdf、寒假新高考数学一轮复习考点精讲+巩固训练+随堂检测11圆的方程原卷版docx、寒假新高考数学一轮复习考点精讲+巩固训练+随堂检测11圆的方程原卷版pdf等4份试卷配套教学资源,其中试卷共52页, 欢迎下载使用。
这是一份(寒假)新高考数学一轮复习考点精讲+巩固训练+随堂检测09 导数与函数的单调性(2份,原卷版+教师版),文件包含寒假新高考数学一轮复习考点精讲+巩固训练+随堂检测09导数与函数的单调性教师版docx、寒假新高考数学一轮复习考点精讲+巩固训练+随堂检测09导数与函数的单调性教师版pdf、寒假新高考数学一轮复习考点精讲+巩固训练+随堂检测09导数与函数的单调性原卷版docx、寒假新高考数学一轮复习考点精讲+巩固训练+随堂检测09导数与函数的单调性原卷版pdf等4份试卷配套教学资源,其中试卷共69页, 欢迎下载使用。

