还剩7页未读,
继续阅读
所属成套资源:备战2025年高考数学二轮复习课件专题
成套系列资料,整套一键下载
备战2025年高考数学二轮复习课件专题2三角函数与解三角形专题突破练9三角函数与解三角形解答题
展开
这是一份备战2025年高考数学二轮复习课件专题2三角函数与解三角形专题突破练9三角函数与解三角形解答题,共14页。
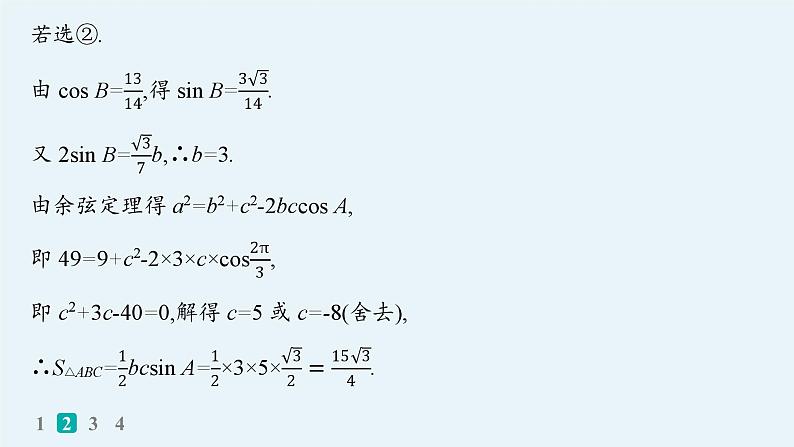
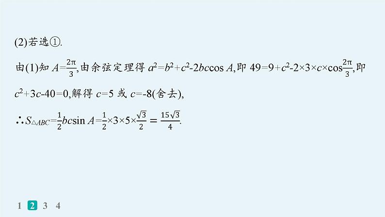
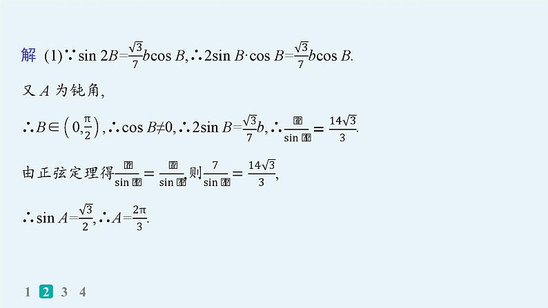
3.(13分)(2024河北衡水一模)在△ABC中,内角A,B,C所对的边分别是a,b,c,△ABC的面积为S,若D为AC边上一点,满足AB⊥BD,BD=2,
相关课件
备战2025年高考数学二轮复习课件专题2三角函数与解三角形规范解答2三角函数与解三角形:
这是一份备战2025年高考数学二轮复习课件专题2三角函数与解三角形规范解答2三角函数与解三角形,共10页。PPT课件主要包含了题意理解等内容,欢迎下载使用。
备战2025年高考数学二轮复习课件专题2三角函数与解三角形专题突破练7三角函数的图象与性质:
这是一份备战2025年高考数学二轮复习课件专题2三角函数与解三角形专题突破练7三角函数的图象与性质,共38页。PPT课件主要包含了ABD,sinx,BCD等内容,欢迎下载使用。
备战2025年高考数学二轮复习课件专题2三角函数与解三角形专题突破练8三角恒等变换与解三角形:
这是一份备战2025年高考数学二轮复习课件专题2三角函数与解三角形专题突破练8三角恒等变换与解三角形,共35页。PPT课件主要包含了ABD,直角三角形等内容,欢迎下载使用。

