还剩18页未读,
继续阅读
所属成套资源:备战2025年高考数学二轮复习课件专题
成套系列资料,整套一键下载
备战2025年高考数学二轮复习课件专题3数列专题突破练11数列通项与求和
展开
这是一份备战2025年高考数学二轮复习课件专题3数列专题突破练11数列通项与求和,共26页。PPT课件主要包含了BCD等内容,欢迎下载使用。
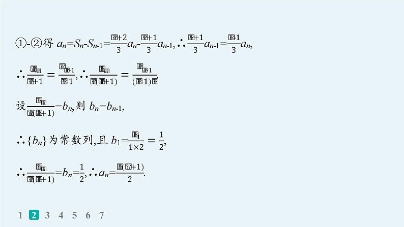
1.(15分)(2024河北唐山一模)已知数列{an}是正项等比数列,其前n项和为Sn,且a2a4=16,S5=S3+24.(1)求{an}的通项公式;(2)记{an+lg2an}的前n项和为Tn,求满足Tn0),则an=a1qn-1,整理得q2+q-6=0,解得q=2或q=-3(舍去),所以an=a3qn-3=2n-1.(2)由(1)可知an+lg2an=2n-1+n-1,故Tn=(20+21+22+…+2n-1)+(0+1+2+…+n-1)=2n-1+ ,显然,Tn随着n的增大而增大,T10=210-1+45=1 0682 024,所以满足Tn0,当n为偶数时,an=-2n-1,且an
相关课件
备战2025年高考数学二轮复习课件专题3数列第2讲数列通项与求和:
这是一份备战2025年高考数学二轮复习课件专题3数列第2讲数列通项与求和,共29页。
备战2025年高考数学二轮复习课件专题3数列专题突破练10等差数列、等比数列:
这是一份备战2025年高考数学二轮复习课件专题3数列专题突破练10等差数列、等比数列,共37页。PPT课件主要包含了ABD,答案不唯一,ACD等内容,欢迎下载使用。
备战2025年高考数学二轮复习课件专题3数列专题突破练12数列解答题:
这是一份备战2025年高考数学二轮复习课件专题3数列专题突破练12数列解答题,共19页。

