所属成套资源:备战2025年高考数学二轮复习课件专题
备战2025年高考数学二轮复习课件题型专项练13压轴大题抢分练(B)
展开
这是一份备战2025年高考数学二轮复习课件题型专项练13压轴大题抢分练(B),共16页。
1.(17分)(2024山东济南二模)在平面直角坐标系中,粒子从原点出发,每秒向左、向右、向上或向下移动一个单位长度,且向四个方向移动的概率均为 .例如在1秒末,粒子会等可能地出现在(1,0),(-1,0),(0,1),(0,-1)四点处.(1)设粒子在第2秒末移动到点(x,y),记x+y的取值为随机变量X,求X的分布列和数学期望E(X).(2)记第n秒末粒子回到原点的概率为pn.
(1)解 粒子在第2秒可能运动到点(1,1),(2,0),(0,2)或(0,0),(1,-1),(-1,1)或(-1,-1),(-2,0),(0,-2)的位置,X的可能取值为-2,0,2,
(2)(ⅰ)解 粒子奇数秒不可能回到原点,故p3=0,粒子在第4秒回到原点,分两种情况考虑:
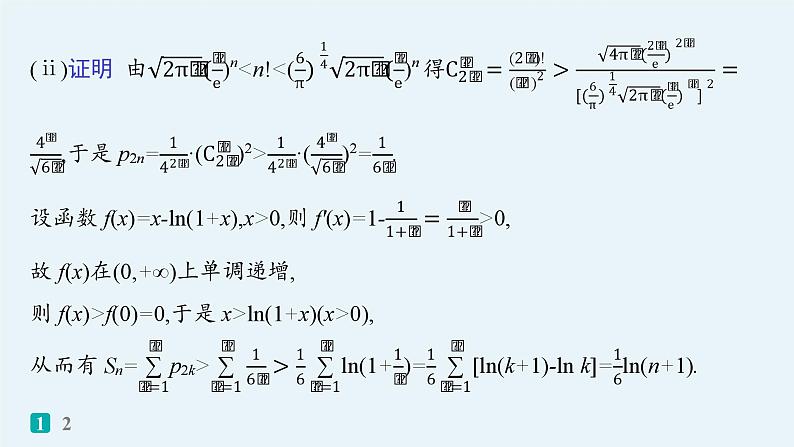
第2n秒末粒子要回到原点,则必定向左移动k步,向右移动k步,向上移动(n-k)步,向下移动(n-k)步,
(1)求C的方程;(2)存在点Q,当直线MN经过点Q时,3(k1+k2)-2k1k2=4恒成立,请求出满足条件的所有点Q的坐标;(3)对于(2)中的一个点Q,当直线MN经过点Q时,|MN|存在最小值,试求出这个最小值.
即(2k+m-2)(4k+m-2)=0,则m=2-2k或m=2-4k,当m=2-2k时,Δ=16(k2+m)=16(k2-2k+2)=16[(k-1)2+1]>0恒成立.当m=2-4k时,Δ=16(k2+m)=16(k2-4k+2),当k>2+ 或k0,则直线MN的方程为y=kx+2-2k=k(x-2)+2,或y=kx+2-4k=k(x-4)+2,所以定点Q的坐标为(2,2)或(4,2).
相关课件
这是一份备战2025年高考数学二轮复习课件题型专项练1客观题113标准练(A),共28页。PPT课件主要包含了BCD,ABD等内容,欢迎下载使用。
这是一份备战2025年高考数学二轮复习课件题型专项练3客观题113标准练(C),共26页。PPT课件主要包含了BCD,答案不唯一等内容,欢迎下载使用。
这是一份备战2025年高考数学二轮复习课件题型专项练4客观题113标准练(D),共26页。PPT课件主要包含了ABD,ACD等内容,欢迎下载使用。

