高考数学一轮复习:8平面解析几何-跟踪训练4(题型归纳与重难专题突破提升)
展开
这是一份高考数学一轮复习:8平面解析几何-跟踪训练4(题型归纳与重难专题突破提升),文件包含跟踪训练04椭圆原卷版docx、跟踪训练04椭圆解析版docx等2份试卷配套教学资源,其中试卷共28页, 欢迎下载使用。
1.直线与椭圆的一个交点坐标为
A.B.C.D.
2.已知椭圆的左焦点是,过的直线与圆:交于,两点,则的长为
A.B.C.2D.
3.已知椭圆的离心率为,则的长轴长为
A.B.C.D.4
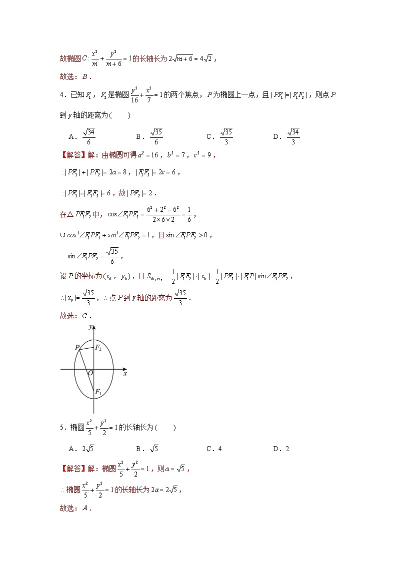
4.已知,是椭圆的两个焦点,为椭圆上一点,且,则点到轴的距离为
A.B.C.D.
5.椭圆的长轴长为
A.B.C.4D.2
6.国家体育场(鸟巢),是2008年北京奥运会的主体育场.在《通用技术》课上,王老师带领同学们一起制作了一个近似鸟巢的金属模型,其俯视图可近似看成是两个大小不同,扁平程度相同的椭圆,已知大椭圆的长轴长为,短轴长为,小椭圆的短轴长为,则小椭圆的长轴长为 .
A.30B.20C.D.10
7.椭圆的焦距是
A.B.C.4D.8
8.已知点,分别是椭圆的左、右焦点,点在此椭圆上,则△的周长等于
A.16B.20C.18D.14
9.若过椭圆内一点的弦被该点平分,则该弦所在的直线方程为
A.B.C.D.
10.2022年10月7日21时10分,中国太原卫星发射中心在黄海海域使用长征十一号海射运载火箭,采用“一箭双星”方式,成功将微厘空间北斗低轨导航增强系统试验卫星发射升空,卫星顺利进入预定轨道,发射任务获得圆满成功,其中的“地球同步转移轨道”是一个以地心(地球的中心)为一个焦点的椭圆,如图,已知它的近地点(离地面最近的点)距地面天文单位,远地点(离地面最远的点)距地面天文单位,并且,,在同一直线上,地球半径约为天文单位,则卫星轨道的离心率为
A.B.C.D.
11.如图,一种电影放映灯的反射镜面是旋转椭圆面(椭圆绕其对称轴旋转一周形成的曲面)的一部分.过对称轴的截口是椭圆的一部分,灯丝位于椭圆的一个焦点上,片门位于另一个焦点上.由椭圆的一个焦点发出的光线,经过旋转椭圆面反射后集中到另一个焦点.已知,,.若透明窗所在的直线与截口所在的椭圆交于一点,且,则△的面积为
A.2B.C.D.5
12.已知椭圆,直线,则椭圆上的点到直线的距离的最大值是
A.B.C.D.
13.已知椭圆的左顶点为,上顶点为,右焦点为,若,则椭圆的离心率为
A.B.C.D.
14.方程,化简的结果是
A.B.
C.D.
15.椭圆的左顶点为,点,均在上,且关于轴对称.若直线,的斜率之积为,则的离心率为
A.B.C.D.
二.多选题(共5小题)
16.已知椭圆的左、右焦点分别为,,点在上(异于左右顶点),记△的面积为,则
A.当时,
B.的取值范围为,
C.△的面积的最大值为
D.椭圆上有且只有4个点,使得△是直角三角形
17.已知直线经过椭圆的一个焦点,且与交于不同的两点,,椭圆的离心率为,则下列结论正确的有
A.椭圆的短轴长为
B.弦的最小值为3
C.存在实数,使得以为直径的圆恰好过点
D.若,则
18.一块斯里兰卡月光石的截面可近似看成由半圆和半椭圆组成,如图所示,在平面直角坐标系中,半圆的圆心在坐标原点,半圆所在的圆过椭圆的右焦点,椭圆的短轴与半圆的直径重合.若直线与半圆交于点,与半椭圆交于点,则下列结论正确的是
A.椭圆的离心率是
B.线段长度的取值范围是
C.面积的最大值是
D.的周长不存在最大值
19.已知椭圆与椭圆,则
A.B.短轴长相等C.焦距相等D.离心率相等
20.已知是椭圆上的动点,是圆上的动点,则
A.椭圆的焦距为B.椭圆的离心率为
C.圆在椭圆的内部D.的最小值为
三.填空题(共5小题)
21.已知椭圆的左、右焦点分别为,,过点且倾斜角为的直线与交于,两点.若△的面积是△面积的2倍,则的离心率为 .
22.如图,已知是椭圆的左焦点,为椭圆的下顶点,点是椭圆上任意一点,以为直径作圆,射线与圆交于点,则的取值范围为 .
23.椭圆的焦点为,,点在椭圆上,若,则等于 .
24.某休闲广场呈椭圆形,在该椭圆的两个焦点及中心处分别安装有三盏景观灯,,,其中灯位于灯的正东处.小王沿着该休闲广场的边沿散步,在散步的过程中,他与灯的最短距离为.当小王行走到点处时,他与灯,的距离之比为,则此时他与灯的距离为 .
25.已知椭圆,斜率为的直线交椭圆于,两点.若的中点坐标为,试写出椭圆的一个标准方程 .
四.解答题(共3小题)
26.在平面直角坐标系中,已知椭圆的焦点为,,且满足_____,椭圆的上、下顶点分别为,,右顶点为,直线过点且垂直于轴.现有如下两个条件分别为:
条件①:椭圆过点,条件②:椭圆的离心率为.
请从上述两个条件中选择一个补充在横线上,并完成解答.
(1)求椭圆的标准方程;
(2)若点在椭圆上(且在第一象限),直线与交于点,直线与轴交于点.试问:是否为定值?若是,请求出该定值;若不是,请说明理由.
27.椭圆的中心为坐标原点,坐标轴为对称轴,左、右顶点分别为,,点在椭圆上.
(1)求椭圆的方程.
(2)过点的直线与椭圆交于,两点(异于点,,记直线与直线交于点,试问点是否在一条定直线上?若是,求出该定直线方程;若不是,请说明理由.
28.已知椭圆的离心率为,且过点.
(1)求椭圆的方程;
(2)若椭圆的上顶点为,过的两条直线,分别与交于异于点的,两点,若直线,的斜率之和为,试判断直线是否过定点?若是,求出该定点;若不是,请说明理由.
相关试卷
这是一份高考数学一轮复习:4三角函数-跟踪训练6(题型归纳与重难专题突破提升),文件包含跟踪训练06函数y=Asinωx+φ原卷版docx、跟踪训练06函数y=Asinωx+φ解析版docx等2份试卷配套教学资源,其中试卷共23页, 欢迎下载使用。
这是一份高考数学一轮复习:4三角函数-跟踪训练5(题型归纳与重难专题突破提升),文件包含跟踪训练05三角函数的图象与性质原卷版docx、跟踪训练05三角函数的图象与性质解析版docx等2份试卷配套教学资源,其中试卷共24页, 欢迎下载使用。
这是一份高考数学一轮复习:4三角函数-跟踪训练4(题型归纳与重难专题突破提升),文件包含跟踪训练04简单的三角恒等变换原卷版docx、跟踪训练04简单的三角恒等变换解析版docx等2份试卷配套教学资源,其中试卷共19页, 欢迎下载使用。

