还剩7页未读,
继续阅读
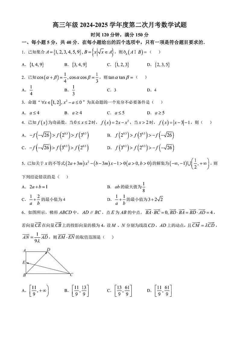
2024~2025学年山东省菏泽市曹县第一中学高三(上)第二次月考数学试卷(含答案)
展开
这是一份2024~2025学年山东省菏泽市曹县第一中学高三(上)第二次月考数学试卷(含答案),共1页。
相关试卷
2024~2025学年山东省菏泽市曹县第一中学高三(上)第二次月考数学试卷(含答案):
这是一份2024~2025学年山东省菏泽市曹县第一中学高三(上)第二次月考数学试卷(含答案),共1页。
2024-2025学年山东省菏泽市高三(上)期中数学试卷(含答案):
这是一份2024-2025学年山东省菏泽市高三(上)期中数学试卷(含答案),共7页。试卷主要包含了单选题,多选题,填空题,解答题等内容,欢迎下载使用。
天津南开中学2024~2025学年高三(上)第二次月考数学试卷(含答案):
这是一份天津南开中学2024~2025学年高三(上)第二次月考数学试卷(含答案),共14页。

