高考数学二轮复习讲义练习专题2.4 基本不等式-重难点题型检测(教师版)
展开
这是一份高考数学二轮复习讲义练习专题2.4 基本不等式-重难点题型检测(教师版),共13页。试卷主要包含了函数f=5x+20x的最小值为等内容,欢迎下载使用。
一.选择题(共8小题,满分24分,每小题3分)
1.(3分)(2022春•韩城市期末)函数f(x)=5x+20x(x>0)的最小值为( )
A.10B.15C.20D.25
【解题思路】利用基本不等式化简即可求解.
【解答过程】解:由题意f(x)=5x+20x≥25x×20x=20,
当且仅当5x=20x,即x=2时取等号,此时取得最小值为20,
故选:C.
2.(3分)(2022春•郫都区校级期末)若实数x、y满足x2+y2=1+xy,则下列结论中,正确的是( )
A.x+y≤1B.x+y≥2C.x2+y2≥1D.x2+y2≤2
【解题思路】由x2+y2﹣xy=1可得,(x+y)2=1+3xy≤1+3(x+y2)2,x2+y2﹣1=xy≤x2+y22,分别求出x+y与x2+y2的取值范围即可.
【解答过程】解:对于A,B,由x2+y2=1+xy可得,(x+y)2=1+3xy≤1+3(x+y2)2,即 14(x+y)2≤1,
∴(x+y)2≤4,∴﹣2≤x+y≤2,故A错,B错,
对于C,D,由x2+y2=1+xy可得,x2+y2﹣1=xy≤x2+y22,
∴x2+y2≤2,故C错,D对,
故选:D.
3.(3分)(2022春•黄陵县校级期末)下列函数中,最小值为2的是( )
A.y=x+1xB.y=x2﹣2x+4
C.y=x2+1x2D.y=x2+2+1x2+2
【解题思路】选项A,利用排除法,当x<0时,y<0;
选项B,由配方法,可得y≥3;
选项C,利用基本不等式,可得解;
选项D,采用换元法,令t=x2+2≥2,则y=t+1t,再结合对勾函数的图象与性质,得解.
【解答过程】解:选项A,当x<0时,y<0,即A不符合题意;
选项B,y=x2﹣2x+4=(x﹣1)2+3≥3,即B不符合题意;
选项C,y=x2+1x2≥2x2⋅1x2=2,当且仅当x2=1x2,即x=±1时,等号成立,即C符合题意;
选项D,令t=x2+2≥2,则y=t+1t在[2,+∞)上单调递增,
所以y≥2+12=322,当且仅当t=2时,等号成立,即D不符合题意.
故选:C.
4.(3分)(2022秋•哈尔滨月考)设a>0,b>0,若a+3b=5,则(a+1)(3b+1)ab的最小值为( )
A.93B.2C.62D.43
【解题思路】由已知结合基本不等式即可求解.
【解答过程】解:a>0,b>0,a+3b=5,
则(a+1)(3b+1)ab=3ab+a+3b+1ab=3ab+6ab≥23ab⋅6ab=62,
当且仅当3ab=6ab且a+3b=5,即a=2,b=1时取等号.
故选:C.
5.(3分)(2022秋•南关区校级月考)已知正实数a,b满足4a+b+1b+1=1,则a+2b的最小值为( )
A.6B.8C.10D.12
【解题思路】根据a+2b=a+b+b+1﹣1=(a+b+b+1)(4a+b+1b+1)﹣1,结合基本不等式求解即可.
【解答过程】解:∵正实数a,b满足4a+b+1b+1=1,
∴a+2b=a+b+b+1﹣1=(a+b+b+1)(4a+b+1b+1)﹣1=5+4(b+1)a+b+a+bb+1−1≥5+24(b+1)a+b⋅a+bb+1−1=8,当且仅当a+b=2(b+1)时等号成立,
故选:B.
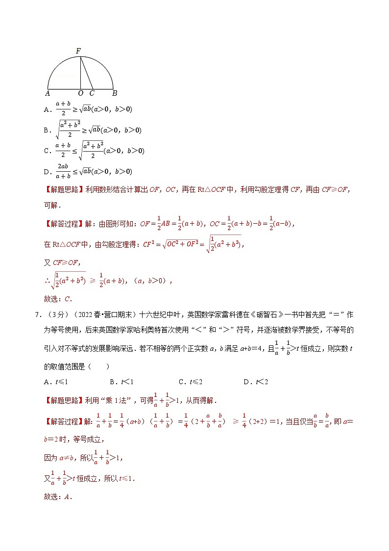
6.(3分)(2021秋•泽普县校级月考)《几何原本》卷2的几何代数法(以几何方法研究代数问题)成了后世西方数学家处理问题的重要依据,通过这一原理,很多的代数的公理或定理都能够通过图形实现证明,也称之为无字证明.现有如图所示图形,点F在半圆O上,点C在直径AB上,且OF⊥AB,设AC=a,BC=b,则该图形可以完成的无字证明为( )
A.a+b2≥ab(a>0,b>0)
B.a2+b22≥ab(a>0,b>0)
C.a+b2≤a2+b22(a>0,b>0)
D.2aba+b≤ab(a>0,b>0)
【解题思路】利用数形结合计算出OF,OC,再在Rt△OCF中,利用勾股定理得CF,再由CF≥OF,可解.
【解答过程】解:由图形可知:OF=12AB=12(a+b),OC=12(a+b)−b=12(a−b),
在Rt△OCF中,由勾股定理得:CF2=OC2+OF2=12(a2+b2),
又CF≥OF,
∴12(a2+b2)≥12(a+b),(a,b>0),
故选:C.
7.(3分)(2022春•营口期末)十六世纪中叶,英国数学家雷科德在《砺智石》一书中首先把“=”作为等号使用,后来英国数学家哈利奥特首次使用“<”和“>”符号,并逐渐被数学界接受,不等号的引入对不等式的发展影响深远.若不相等的两个正实数a,b满足a+b=4,且1a+1b>t恒成立,则实数t的取值范围是( )
A.t≤1B.t<1C.t≤2D.t<2
【解题思路】利用“乘1法”,可得1a+1b>1,从而得解.
【解答过程】解:1a+1b=14(a+b)(1a+1b)=14(2+ab+ba)≥14(2+2)=1,当且仅当ab=ba,即a=b=2时,等号成立,
因为a≠b,所以1a+1b>1,
又1a+1b>t恒成立,所以t≤1.
故选:A.
8.(3分)(2021秋•李沧区校级月考)若x>0,y>0,且2x+1y=1,x+2y>m2+7m恒成立,则实数m的取值范围是( )
A.﹣8<m<1B.m<﹣8或m>1C.m<﹣1或m>8D.﹣1<m<8
【解题思路】根据题意,分析可得x+2y=(x+2y)(2x+1y)=4++4yx+xy,由基本不等式的性质求出x+2y的最小值,再由二次不等式的解法,解可得m的取值范围.
【解答过程】解:根据题意,x>0,y>0,且2x+1y=1,
则x+2y=(x+2y)(2x+1y)=4+4yx+xy≥4+24yx⋅xy=8,
当且仅当x=2y=4时等号成立,
即x+2y的最小值为8,
若x+2y>m2+7m恒成立,必有m2+7m<8,解可得﹣8<m<1.
即m的取值范围为(﹣8,1).
故选:A.
二.多选题(共4小题,满分16分,每小题4分)
9.(4分)(2021秋•滦南县校级月考)下列函数最小值为2的是( )
A.y=x+1xB.y=x2+2x2+1
C.y=x2+1x2D.y=x(4−x)
【解题思路】对于AD可以利用特殊值法判断;对于BC利用基本不等式判断即可.
【解答过程】解:对于A,当x=﹣1时,y=﹣2,A错误.
对于B,y=x2+2x2+1=x2+1+1x2+1=x2+1+1x2+1≥2(x2+1)⋅1x2+1=2,当且仅当x2+1=1x2+1,即x=0时取得等号,B正确.
对于C,y=x2+1x2≥2x2⋅1x2=2,当且仅当x2=1x2,即x=±1时取得等号,C正确.
对于D,当x=0时,很显然最小值不是2,D错误.
故选:BC.
10.(4分)(2021秋•建华区校级期中)若正数a,b满足a+b=1,则13a+2+13b+2的可能取值为( )
A.67B.47C.27D.14
【解题思路】构造17×(3a+2+3b+2)×(13a+2+13b+2),运用1的巧妙代换,结合基本不等式求解.
【解答过程】解:∵a+b=1,∴3a+2+3b+2=7,
∴13a+2+13b+2=17×(3a+2+3b+2)×(13a+2+13b+2)=27+17(3b+23a+2+3a+23b+2),
∵a,b都是正数,∴3b+23a+2>0,3a+23b+2>0,
由基本不等式可知3b+23a+2+3a+23b+2≥23b+23a+2⋅3a+23b+2=2,
∴13a+2+13b+2≥27+27=47,当且仅当a+b=1,3b+23a+2=3a+23b+2时,即a=b=12时,取等号.
∴13a+2+13b+2的最小值为47.
故选:AB.
11.(4分)(2021秋•烟台期末)已知x>0,y>0,且x+y+xy﹣3=0,则错误的是( )
A.xy的取值范围是[1,9]B.x+y的取值范围是[2,+∞)
C.x+4y的最小值是3D.x+2y的最小值是42−3
【解题思路】由已知结合基本不等式分别检验各选项即可判断.
【解答过程】解:因为x>0,y>0,且x+y+xy﹣3=0,
所以x+y=3﹣xy≥2xy,当且仅当x=y=1时取等号,
解得,0<xy≤1,即0<xy≤1,
所以xy的取值范围为(0,1],A错误;
又xy=3﹣(x+y)≤(x+y2)2,且仅当x=y=1时取等号,
解得,x+y≥2,故B正确,
又x+y=3﹣xy<3;
由x+y+xy﹣3=0,得x=3−yy+1>0,
所以0<y<3,1<y+1<4,
所以x+4y=3−yy+1+4y=4(y+1)+4y+1−5>3,此时等号无法取得,C错误;
x+2y=3−yy+1+2y=2y−y+1−4y+1=2(y+1)+4y+1−3≥2(2y+2)⋅4y+1−3=42−3,当且仅当2y+2=4y+1,即y=2−1时取等号,此时x+2y取得最小值42−3,D正确.
故选:AC.
12.(4分)(2021秋•呼兰区校级期中)已知x>0,y>0,且2x+y=2,若mm−1≤x+2yxy对任意的x>0,y>0恒成立,则实数m的可能取值为( )
A.14B.98C.127D.2
【解题思路】先结合基本不等式求出x+2yxy的最小值,然后由不等式恒成立转化为mm−1≤(x+2yxy)min,解不等式可求m的范围,结合选项可判断.
【解答过程】解:因为x>0,y>0,且2x+y=2,
所以x+2yxy=1y+2x=12(1y+2x)(2x+y)=12(5+2xy+2yx)≥12(5+22xy⋅2yx)=92,
当且仅当2xy=2yx且2x+y=2,即x=y=23时取等号,
若mm−1≤x+2yxy对任意的x>0,y>0恒成立,
则mm−1≤92,
整理得7m−9m−1≥0,
解得m≥97或m<1,
结合选项可知,ACD符合题意.
故选:ACD.
三.填空题(共4小题,满分16分,每小题4分)
13.(4分)(2021秋•石鼓区校级月考)已知x>2,x+ax−2(a>0)最小值为3.则a= 14 .
【解题思路】先变形得到x+ax−2=x﹣2+ax−2+2,再利用基本不等式求最值.
【解答过程】解:∵x>2,∴x﹣2>0,
∴x+ax−2=x﹣2+ax−2+2≥2a+2,
当且仅当x﹣2=ax−2,即x=2+a时取等号,
∴x+ax−2(a>0)最小值为2a+2,
∵x+ax−2(a>0)最小值为3,
∴2a+2=3,∴a=14,
故答案为:14.
14.(4分)(2022秋•新罗区校级月考)已知正实数a,b满足ab+a+b=3,则2a+b的最小值为 42−3 .
【解题思路】利用已知关系式求出a=3−bb+1,则2a+b=2×3−bb+1+b=6−2bb+1+b=8−2(b+1)b+1+b=8b+1+b﹣2=8b+1+b+1−3,然后利用基本不等式即可求解.
【解答过程】解:因为ab+a+b=3,所以a=3−bb+1,
则2a+b=2×3−bb+1+b=6−2bb+1+b=8−2(b+1)b+1+b
=8b+1+b﹣2=8b+1+b+1−3≥28b+1⋅(b+1)−3=42−3,
当且仅当8b+1=b+1,即b=22−1时取等号,此时最小值为42−3,
故答案为:42−3.
15.(4分)(2022•衡南县校级开学)直角三角形的斜边长为5时,其面积有最 大 (大或小)值,为 254 .
【解题思路】先设直角边分别为x,y,则x2+y2=25,然后结合基本不等式及三角形面积公式可求.
【解答过程】解:设两直角边分别为x,y,则x2+y2=25,
因为x2+y2≥2xy,当且仅当x=y=522时取等号,
故xy≤252,
故三角形面积S=12xy≤254.
故答案为:大;254.
16.(4分)(2022秋•余姚市校级月考)有下列4个关于不等式的结论:①若x<0,则x+1x≤−2;②若x∈R,则x2+2x2+1≥2;③若x∈R,则|x+1x|≥2;④若a>0,则(1+a)(1+1a)≥4.其中正确的序号是 ①②④ .
【解题思路】利用基本不等式逐个判断4个结论即可,注意“一正,二定,三相等”3个条件缺一不可.
【解答过程】解:对于①,若x<0,则﹣x>0,
∴x+1x=−(﹣x+1−x)≤﹣2−x⋅1−x=−2,当且仅当﹣x=1−x,即x=﹣1时,等号成立,故①正确,
对于②,若x∈R,x2+2x2+1=(x2+1)2+1x2+1=x2+1+1x2+1≥2x2+1⋅1x2+1=2,当且仅当x2+1=1x2+1,即x=0时,等号成立,故②正确,
对于③,当x=0时,x+1x无意义,故③错误,
对于④,若a>0,则(1+a)(1+1a)=1+1a+a+1≥2a⋅1a+2=4,当且仅当a=1a,即a=1时,等号成立,故④正确,
所以正确的序号是①②④,
故答案为:①②④.
四.解答题(共6小题,满分44分)
17.(6分)(2022•望花区校级开学)已知x∈(0,+∞).
(1)求y=x+1x的值域;
(2)求y=x2+2x+3x的最小值,以及y取得最小值时x的值.
【解题思路】(1)由题意利用基本不等式即可求解.
(2)由已知可得y=x2+2x+3x=2+(x+3x),利用基本不等式即可求解.
【解答过程】解:(1)因为x∈(0,+∞),
所以y=x+1x≥2x⋅1x=2,
取等号条件:x=1x,x2=1.
因为x∈(0,+∞),
所以x=1,
所以函数y=x+1x的值域为[2,+∞).
(2)y=x2+2x+3x=2+(x+3x),
因为x∈(0,+∞),
所以x+3x≥23,
所以y=2+(x+3x)≥2+23,取等号条件:x=3x,x2=3,
因为x∈(0,+∞),
所以x=3,当x=3时,该函数取最小值2+23.
18.(6分)(2021秋•新泰市校级期末)已知实数a>0,b>0,a+2b=2.
(1)求1a+2b的最小值;
(2)求a2+4b2+5ab的最大值.
【解题思路】(1)利用“乘1法”与基本不等式的性质即可得出;
(2)利用a=2﹣2b将a2+4b2+5ab=﹣2(b−12)2+92,再利用二次函数求最大值即可得出.
【解答过程】解:(1)∵a>0,b>0,且a+2b=2,
∴1a+2b=12(a+2b)(1a+2b)=12(1+2ab+2ba+4)≥12(5+22ab⋅2ba)=92,
当且仅当2ab=2ba,即a=b时等式成立,
∴1a+2b的最小值为92.
(2)∵a>0,b>0,a+2b=2,
∴a=2﹣2b>0,可得0<b<1,
a2+4b2+5ab=(2﹣2b)2+4b2+5(2﹣2b)b=﹣2b2+2b+4=﹣2(b−12)2+92,
当b=12时,a2+4b2+5ab有最大值为92.
19.(8分)(2022春•福田区校级期末)若a>0,b>0,a+b=1.求证:
(1)4a+1b≥9;
(2)2a+1+2b+1≤22.
【解题思路】(1)由已知利用乘1法,结合基本不等式即可证明;
(2)利用基本不等式的结论(m+n2)2≤m2+n22即可证明.
【解答过程】证明:(1)因为a>0,b>0,a+b=1,
所以4a+1b=(4a+1b)(a+b)=5+4ba+ab≥5+24ba⋅ab=9,
当且仅当4ba=ab且a+b=1,即b=13,a=23时取等号,
故4a+1b≥9;
(2)因为(2a+1+2b+12)2≤2a+1+2b+12=2,当且仅当2a+1=2b+1且a+b=1,即a=b=12时取等号,
所以2a+1+2b+1≤22.
20.(8分)(2021秋•洛阳期中)如图,某人计划用篱笆围成一个一边靠墙(墙的长度没有限制)的矩形菜园.设菜园的长为xm,宽为ym.
(1)若菜园面积为18m2,则x,y为何值时,可使所用篱笆总长最小?
(2)若使用的篱笆总长度为18m,求1x+2y的最小值.
【解题思路】(1)由题意得,xy=18,所用篱笆总长x+2y≥22xy,从而可求;
(2)由题意x+2y=18,1x+2y=118(1x+2y)(x+2y)展开后利用基本不等式可求.
【解答过程】解:(1)由题意得,xy=18,
则所用篱笆总长x+2y≥22xy=12,当且仅当x=2y且xy=18,即y=3,x=6时取等号,
此时所用篱笆总长最小;
(2)由题意x+2y=18,
所以1x+2y=(1x+2y)(x+2y)×118=118(5+2yx+2xy)≥118(5+22yx⋅2xy)=12,
当且仅当2yx=2xy且x+2y=18,即x=y=6时取等号,此时最小值为12.
21.(8分)(2022春•河南期末)观察下面的解答过程:已知正实数a,b满足a+b=1,求1a+2b的最小值.
解:∵a+b=1,
∴1a+2b=(a+b)(1a+2b)=3+ba+2ab≥3+2ba⋅2ab=3+22,
当且仅当ba=2ab,结合a+b=1得a=2−1,b=2−2时等号成立,
∴1a+2b的最小值为3+22.
请类比以上方法,解决下面问题:
(1)已知正实数x,y满足1x+1y=1,求x+4y的最小值;
(2)已知正实数x,y满足x+y=1,求12x+1+2y+1的最小值.
【解题思路】(1)类比已知解题方法,将x+4y变为x+4y=(x+4y)(1x+1y),展开后结合基本不等式,即可求得答案;
(2)将x+y=1化为(2x+1)+(2y+2)=5,将12x+1+2y+1变形为12x+1+42y+2,类比所给解题方法,结合基本不等式,求得答案.
【解答过程】解:(1)由正实数x,y满足1x+1y=1得:
x+4y=(x+4y)(1x+1y)=5+4yx+xy≥5+24yx⋅xy=9.
当且仅当4yx=xy,结合1x+1y=1得x=3,y=32时等号成立,∴x+4y的最小值为9.
(2)正实数x,y满足x+y=1,得(2x+1)+(2y+2)=5,
∴12x+1+2y+1=12x+1+42y+2=15((2x+1)+(2y+2))(12x+1+42y+2)
=1+15(2y+22x+1+4(2x+1)2y+2)≥1+252y+22x+1⋅4(2x+1)2y+2=95
当且仅当2y+22x+1=4(2x+1)2y+2,结合x+y=1得x=13,y=23时等号成立,∴12x+1+2y+1的最小值为95.
22.(8分)(2022春•润州区校级月考)(1)已知x>0,y>0,且满足8x+1y=1.求x+2y的最小值;
(2)当0<x<14时,不等式1x+11−4x−m≥0恒成立,求实数m的最大值;
(3)已知a>0,b>0,求a2a+b+2b2b+a的最大值.
【解题思路】(1)由已知把x+2y变形为(x+2y)(8x+1y),展开后用基本不等式求得最小值.
(2)分离参数化为m≤44x+11−4x恒成立,再利用基本不等式求出不等式右边的最小值即可得解.
(3)令2a+b=u,2b+a=v,u,v>0,可得a=2u−v3,b=2v−u3,代入所求式子化简整理,运用基本不等式可得所求最大值.
【解答过程】解:(1)∵x>0,y>0,8x+1y=1,
∴x+2y=(8x+1y)(x+2y)=10+xy+16yx≥10+2xy⋅16yx=18,
当且仅当8x+1y=1xy=16yx,即x=12y=3时,等号成立,
∴(x+2y)min=18.
(2)不等式1x+11−4x−m≥0恒成立化为m≤44x+11−4x恒成立,
∵0<x<14,∴1﹣4x>0,
∴44x+11−4x=(4x+1−4x)(44x+11−4x)=5+4x1−4x+4(1−4x)4x≥5+24x1−4x⋅4(1−4x)4x=5+4=9,
当且仅当4x1−4x=4(1−4x)4x,即x=16时,等号成立,
∴m≤9,∴m的最大值为9.
(3)解:令2a+b=u,2b+a=v,u,v>0,
可得a=2u−v3,b=2v−u3,
∴a2a+b+2b2b+a=1u⋅2u−v3+1v⋅2⋅2v−u3=2−(v3u+2u3v)≤2−2v3u⋅2u3v=2−223,
当且仅当v=2u,上式取得等号,可得a2a+b+2b2b+a的最大值为2−223.
相关试卷
这是一份高考数学二轮复习讲义练习专题4.6 对数-重难点题型检测(教师版),共10页。试卷主要包含了方程ln=0的解是等内容,欢迎下载使用。
这是一份高考数学二轮复习讲义练习专题4.4 指数函数-重难点题型检测(教师版),共13页。试卷主要包含了若函数f=a2x2−3x+1在等内容,欢迎下载使用。
这是一份高考数学二轮复习讲义练习专题4.2 指数-重难点题型检测(教师版),共8页。

