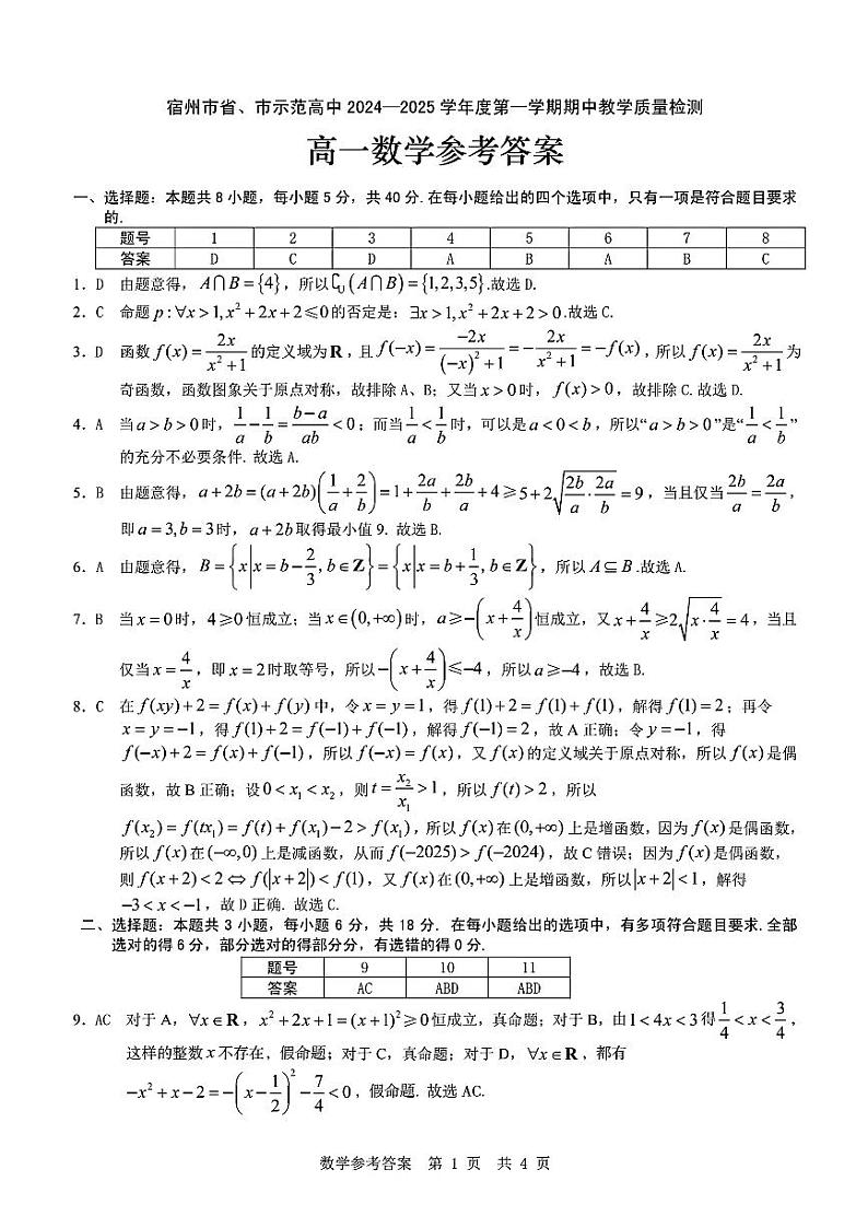
所属成套资源:2025宿州省、示范高中高一上学期11月期中考试及答案(九科)
2025宿州省、示范高中高一上学期期中数学试题含解析
展开
这是一份2025宿州省、示范高中高一上学期期中数学试题含解析,文件包含安徽省宿州市省市示范高中2024-2025学年高一上学期期中教学质量检测数学试题无答案docx、安徽省宿州市省市示范高中2024-2025学年高一上学期期中教学质量检测数学试题解析pdf等2份试卷配套教学资源,其中试卷共9页, 欢迎下载使用。
本试卷分第Ⅰ卷(选择题)和第Ⅱ卷(非选择题)两部分。满分150分,考试时间120分钟。请在答题卡上作答。
第Ⅰ卷选择题(共58分)
一、选择题:本题共8小题,每小题5分,共40分.在每小题给出的四个选项中,只有一项是符合题目要求的.
1.已知全集,,,则=( )
A. B. C. D.
2.命题的否定是( )
A. B.
C. D.
3.函数的图象大致是( )
4.“”是“”的( )
A.充分不必要条件 B.必要不充分条件
C.充要条件 D.既不充分也不必要条件
5.已知正数,满足,则的最小值为( )
A.10 B.9 C.6 D.4
6.设集合,,则集合,的关系是( )
A. A⫋B B.B⫋A C. D.
7.已知恒成立,则实数的取值范围为( )
A. B.
C. D.
8.已知定义在上的函数,满足,且当时,,则下列说法错误的是( )
A. B.为偶函数
C. D.若,则
二、选择题:本题共3小题,每小题6分,共18分.在每小题给出的选项中,有多项符合题目要求.全部选对的得6分,部分选对的得部分分,有选错的得0分.
9.下列命题为真命题的是( )
B.,
C.所有菱形的四条边都相等 D.
10.已知幂函数,其中,,则下列说法正确的是( )
A.
B.当时,
C.当时,的图象是中心对称图形
D.恒过定点
11.已知全集,是的非空子集,当时,且,则称为的一个“孤立元素”,则下列说法正确的是( )
A.若中元素均为孤立元素,则中最多有3个元素
B.若中不含孤立元素,则中最少有2个元素
C.若中元素均为孤立元素,且仅有2个元素,则这样的集合共有9个
D.若中不含孤立元素,且仅有4个元素,则这样的集合共有6个
第Ⅱ卷非选择题(共92分)
三、填空题:本题共3小题,每小题5分,共15分.
12.满足2,3⊆M⫋2,3,4,5的集合的个数是 .
13.若,则的最小值为 .
14.已知函数,若,恒成立,则的取值范围为 .
四、解答题:本题共5小题,共77分.解答应写出文字说明、证明过程或演算步骤.
15.(13分)
设集合,.
(1)若,求实数的值:
(2)若,求实数的取值集合.
16.(15分)
已知全集,集合,,
(1)若,求,
(2)若,求的取值范围.
17.(15分)
求下列关于的不等式的解集:
(1);
(2)
18.(17分)
某农户计划在一片空地上修建一个田字形的菜园如图所示,要求每个小矩形用地的面积为,且四周需用篱笆围住,菜园间留有一个十字形过道(横向、纵向分别平行),纵向部分路宽为1m,横向部分路宽为2m.
(1)当每个小矩形用地的长和宽分别为多少时,所用篱笆最短?此时菜园(包含过道)的总面积为多少?
(2)为节省土地,使菜园(包含过道)的总面积最小,此时每个小矩形用地的长和宽分别为多少?
19.(17分)
已知函数是定义在上的奇函数,且.
(1)求函数的解析式;
(2)判断函数在上的单调性,并用定义证明;
(3)解不等式
相关试卷
这是一份2025宿州省、示范高中高一上学期11月期中考试数学PDF版含解析,共8页。
这是一份2025宜昌部分省级示范高中高一上学期期中联考数学试题含解析,文件包含湖北省宜昌市部分省级示范高中2024-2025学年高一上学期期中联考数学试题含解析docx、湖北省宜昌市部分省级示范高中2024-2025学年高一上学期期中联考数学试题无答案docx等2份试卷配套教学资源,其中试卷共19页, 欢迎下载使用。
这是一份精品解析:安徽省宿州市省、市示范高中2024-2025学年高二上学期期中教学质量检测数学试题,文件包含精品解析安徽省宿州市省市示范高中2024-2025学年高二上学期期中教学质量检测数学试题原卷版docx、精品解析安徽省宿州市省市示范高中2024-2025学年高二上学期期中教学质量检测数学试题解析版docx等2份试卷配套教学资源,其中试卷共22页, 欢迎下载使用。

