2025届广东省广州、深圳、珠海三市高三(上)十一月联考数学试卷(解析版)
展开
这是一份2025届广东省广州、深圳、珠海三市高三(上)十一月联考数学试卷(解析版),共15页。试卷主要包含了单选题,多选题,填空题,解答题等内容,欢迎下载使用。
一、单选题(本大题共8个小题,每小题5分,共40分.每小题只有一个正确答案.)
1. 集合,,若,则a可能( )
A. B. C. 2D.
【答案】B
【解析】,整理得,∴或,
∵,∴,而,∴.
故选:B
2. 下列结论正确的是( )
A. 若,则B. 若,则
C. D.
【答案】D
【解析】对于A,取,此时,故A错误;
对于B,取,满足,此时,故B错误;
对于C,取a=-1,此时,故C错误;
对于D,因为,故,所以正确.
故选:D.
3. 在复平面内,复数Z绕原点逆时针旋转得,则复数Z的虚部为( )
A B. C. D.
【答案】C
【解析】对应点的坐标为顺时针旋转后坐标为对应的虚数为虚部为
故选:C.
4. 已知为等差数列的前n项和,公差为d.若,,则( )
A. B.
C. D. 无最大值
【答案】B
【解析】对于选项A:因为数列为等差数列,
则,即,
可得,则,故A错误;
对于选项B:因为,
则,
所以,故B正确;
对于选项D:因为,且,可知,
当时,;当时,;
可知当且仅当时,取到最大值,故D错误,
对于选项C:因为,
所以,故C错误;
故选:B.
5. 在锐角中,已知,,,则( )
A. B.
C. 或D.
【答案】B
【解析】因为在锐角中,已知,,,
所以由,得,解得,
又是锐角三角形,即,所以,
所以
,
所以.
故选:B.
6. ( )
A. 1B. C. D.
【答案】C
【解析】原式
,
故选:C
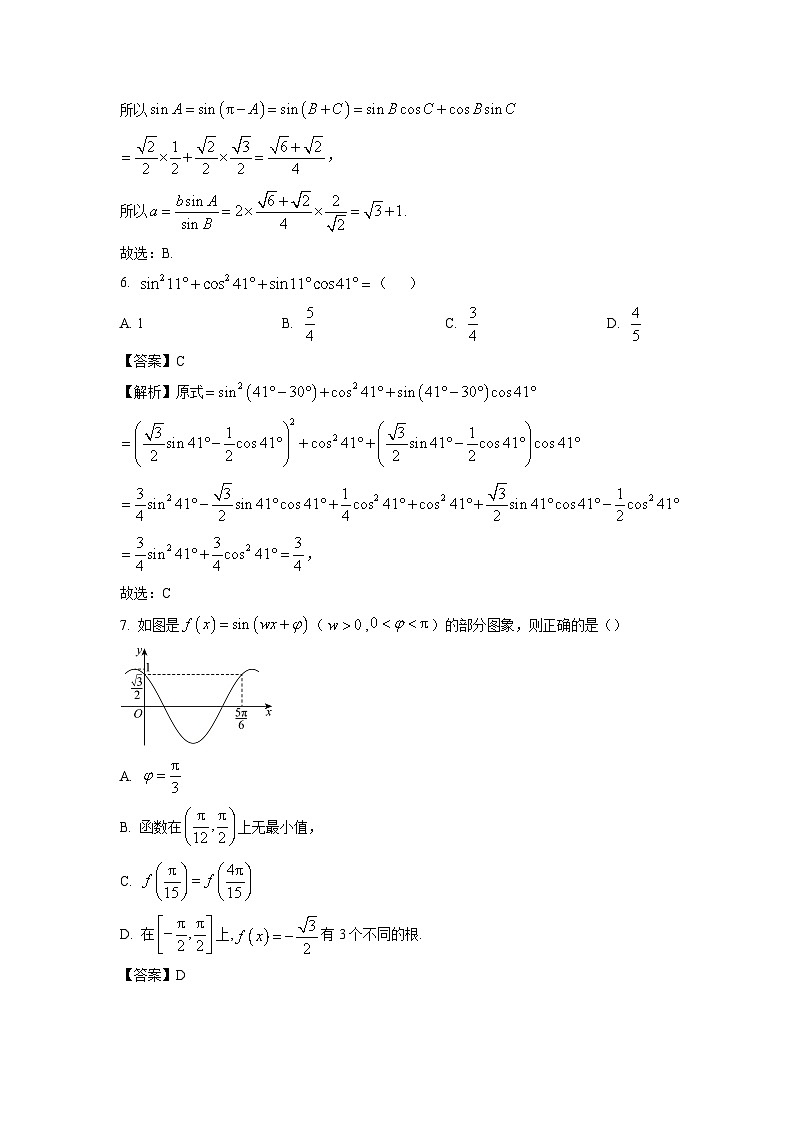
7. 如图是(,)的部分图象,则正确的是()
A.
B. 函数在上无最小值,
C.
D. 在上,有3个不同的根.
【答案】D
【解析】对于A,由图可知经过下降趋势中的点,
,故A错误;
对于B,由图可知在的一条称轴为
,所以在上有最小值,当时取得最小值,故B错误;
对于C,和都在区间(内,,故,故C错误;
对于D,由A知,
又 因为 经过上升趋势中的点 ,
,
,整理得
由图可知,即,
解得,又因为,所以当k=1 时, 满足,
,
令,当时,,
时,
此时,
所以在上,有3个不同的根,D正确.
故选:D.
8. 在中,已知的面积为且,则的最小值为( )
A. 2B. C. D. 3
【答案】C
【解析】∵的面积为且,
∴,∴.
由余弦定理得,
,
∴,即,
∴,
∵,
∴,解得,即BC的最小值为.
故选:C.
二、多选题(本大题共3个小题,每小题6分,共18分.部分选对得部分分,错选得0分.)
9. 下列函数中,其函数图象有对称中心的是( )
A. B.
C. D.
【答案】AC
【解析】A选项,设,
,
探究的情形,则,
所以是的对称中心,A选项正确.
B选项,设,
,
上式的值与有关,不是常数,所以函数没有对称中心.
C选项,设,
,
所以当时,,
所以函数的对称中心为,C选项正确.
D选项,设,是偶函数,
图象关于轴对称,画出图象如下图所示,根据图象可知函数没有对称中心.
故选:AC
10. 已知为坐标原点,,,则( )
A. 若点在线段上,则点的轨迹方程为
B. 设点,若为锐角,则
C. 若,则存在向量同时与,共线
D. 若,则在上的投影向量是.
【答案】CD
【解析】对于选项A,若点在线段上,则点的轨迹方程为,所以选项A错误,
对于选项B,当时,由选项A知,三点在同一直线上,即为锐角时,必有,所以选项B错误,
对于选项C,若,又,,则,
显然有,不共线,又因为与任何向量共线,所以选项C正确,
对于选项D,由选项C知,
所以在上的投影向量是,故选项D正确,
故选:CD.
11. 若非常数函数的定义域为,是周期为1的奇函数,则( )
A. B.
C. D.
【答案】BD
【解析】由题意知是奇函数,
即,
即,即,可得:
故的图象关于点对称,可得:,
又是周期为1,
即,
所以,故的周期为3,可得:,,
结合,可得:.
其它选项无法判断.
故选:BD
三、填空题(本大题共3个小题,每小题5分,共15分.)
12. 在等比数列中,,,则__________.
【答案】
【解析】,∴,∵,∴.
13. 若,,则__________.
【答案】
【解析】,
∴,
∴.
14. 权方和不等式是常用的不等式之一,其中二维权方和不等式是:已知为正数,,当且仅当时,等号成立.若x为锐角,则的最小值为__________.
【答案】8
【解析】,
当且仅当时,即时,取等号.
四、解答题(本大题共5个小题,共77分在答题框内写出必要的解答过程,写错或超出答题框不得分)
15. 已知
(1)当时,求的单调区间;
(2)若当时为单调递增函数,求实数a的取值范围.
解:(1)的定义域为,当时,
∴,
当时,,当时,,
所以在0,1上的单调递减,在1,+∞上单调递增.
(2)当时为单调增函数,
所以在上恒成立,
所以在上恒成立,
令(),则恒成立,
所以φx在单调递减,
所以.
∴.
16. 设各项非零的数列的前n项乘积为,即,且满足.
(1)求数列的通项公式;
(2)若,求数的前n项和.
解:(1)当时,,所以,解得.
当时,,得.
∴是以为首项,为公差的等差数列
∴,.
(2)当时,;
当时,,
综上,,
∴,
解法一: ①
②
由①-②得
,
∴.
解法二:,
∴.
17. 在中,角A,B,C的对边分别为a,b,c,的面积为,且.D是AB的中点,点E在线段AC上且,线段CD与线段BE交于点M(如下图)
(1)求角A的大小:
(2)若,求的值;
(3)若点G是的重心,求线段GM的最小值.
解:(1)因为,
所以.
所以,
所以,故,
又,所以,
所以;
(2)由题意,,
由D、M、C三点共线得,即,
故,
所以,
同理由B、M、E三点共线可得,
∴,
∴
(3)法一;由重心定义得,
∴,
∴,
∴
,当且仅当时,等号成立,
∴,
当且仅当时取等号.
∴线段GM的最小值为;
法二:由(2)得,,
故,故M为CD中点,
又重心G为CD三等分点,故,
∵,
∴在中,
,
当且仅当时取等号,故,
∴.
即线段GM的最小值为.
18. 定理:如果函数在闭区间上的图象是连续不断的曲线,在开区间内每一点存在导数,且,那么在区间内至少存在一点c,使得,这是以法国数学家米歇尔•罗尔的名字命名的一个重要定理,称之为罗尔定理,其在数学和物理上有着广泛的应用.
(1)设,记的导数为,试用上述定理,说明方程根的个数,并指出它们所在的区间;
(2)如果在闭区间上的图象是连续不断的曲线,且在开区间内每一点存在导数,记的导数为,试用上述定理证明:在开区间内至少存在一点c,使得;
(3)利用(2)中的结论,证明:当时,(为自然对数的底数).
(1)解:注意到,则由罗尔定理,
在内存在,使;
在内存在,使:
在内存在,使.
综上,的根有3个,且分别位于,,这三个区间内.
(2)证明:构造函数,
则注意到,由罗尔定理,
则在上至少存在一点c,使
即在开区间内至少存在一点c,使得;
(3)证明:当时,.
因函数为上连续函数,.
由(2),又,则在上存在,
使;
又,则在上存在
又令,当时,,
则在上单调递增,
又
则
所以:
.
19. 已知集合(),S是集合A的子集,若存在不大于n的正整数m,使集合S中的任意一对元素,,都有,则称集合S具有性质P.
(1)当时,试判断集合和是否具有性质P?并说明理由;
(2)当时,若集合S具有性质P,那么集合否具有性质P?并说明理由;
(3)当,时,若集合S具有性质P,求集合S中元素个数的最大值.
解:(1)集合不具有性质,集合具有性质,理由如下:
当时,,,
,
因为对于任意不大于10的,都可以找到该集合中的两个元素,
使得成立,
因为可取,对于该集合中的任意一对元素,,
都有,,
故集合不具有性质,集合具有性质;
(2)具有性质,理由如下:
当时,,
,任取,其中,
因为,所以,
从而,即,故,
因为集合具有性质,故存在不大于100的正整数,
使得对于中的任意一对元素,都有,
对于上述正整数,从中任取一对元素,
其中,则有,
故集合具有性质;
(3)由(2),若集合具有性质,则集合也具有性质.
若,则,则和至少有一个不超过,
则和中至少有一个集合,该集合至少有一半的元素不超过,
设集合中一共有个元素,不妨设中至少有个元素()不超过,
不妨设为均不超过,
因为若存在不大于的正整数,使集合中的任意一对元素,都有,
则称集合具有性质.
则均不在集合中,
所以集合至少有个元素不在集合中,则,
例如符合题意,
则.
相关试卷
这是一份11月广东高三(上)月考数学试卷(广州、深圳、珠海三市2025届 联考)[原题+解析],共13页。
这是一份广东省广州、深圳、珠海三市2025届高三上学期十一月联考数学试卷及参考答案,文件包含广东省广州深圳珠海三市2025届高三上学期十一月联考数学docx、广东省广州深圳珠海三市2025届高三上学期十一月联考数学pdf等2份试卷配套教学资源,其中试卷共20页, 欢迎下载使用。
这是一份广东省广州、深圳、珠海三地百校联考2025届高三上学期11月联考数学试卷(Word版附答案),共7页。试卷主要包含了 在锐角中,已知,,,则, 如图是, 已知为坐标原点,,,则等内容,欢迎下载使用。

