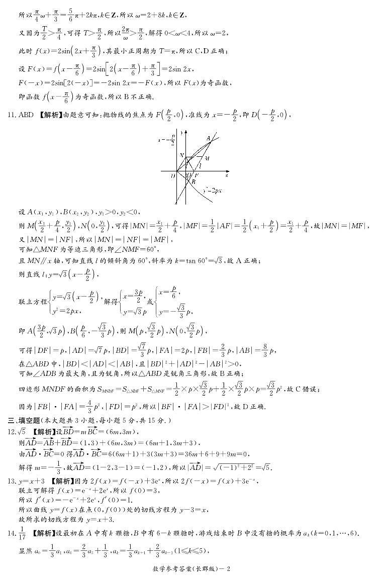
湖南省长沙市长郡中学2025届高三上学期月考(二)数学试卷
展开湖南省长沙市长郡中学2025届高三上学期月考(二)数学试卷: 这是一份湖南省长沙市长郡中学2025届高三上学期月考(二)数学试卷,共8页。
湖南省长沙市长郡中学2025届高三上学期月考数学试卷(一): 这是一份湖南省长沙市长郡中学2025届高三上学期月考数学试卷(一),文件包含长郡2025届高三月考一数学pdf、数学答案长郡1次pdf等2份试卷配套教学资源,其中试卷共9页, 欢迎下载使用。
湖南省长沙市长郡中学2025届高三上学期月考数学试卷(一): 这是一份湖南省长沙市长郡中学2025届高三上学期月考数学试卷(一),文件包含长郡2025届高三月考一数学pdf、数学答案长郡1次pdf等2份试卷配套教学资源,其中试卷共9页, 欢迎下载使用。

