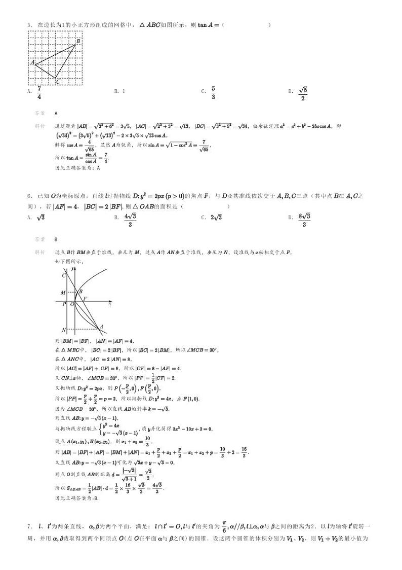
[数学]2023~2024学年河南焦作高三上学期期中数学试卷(普通高中)(原题版+解析版)
展开[数学]2023_2024学年安徽芜湖高二下学期期中数学试卷(普通高中)(原题版+解析版): 这是一份[数学]2023_2024学年安徽芜湖高二下学期期中数学试卷(普通高中)(原题版+解析版),文件包含数学2023_2024学年安徽芜湖高二下学期期中数学试卷普通高中解析版pdf、数学2023_2024学年安徽芜湖高二下学期期中数学试卷普通高中原题版pdf等2份试卷配套教学资源,其中试卷共13页, 欢迎下载使用。
[数学]2023_2024学年河南南阳高二下学期期中数学试卷(部分学校)(原题版+解析版): 这是一份[数学]2023_2024学年河南南阳高二下学期期中数学试卷(部分学校)(原题版+解析版),文件包含数学2023_2024学年河南南阳高二下学期期中数学试卷部分学校解析版pdf、数学2023_2024学年河南南阳高二下学期期中数学试卷部分学校原题版pdf等2份试卷配套教学资源,其中试卷共12页, 欢迎下载使用。
[数学]2023_2024学年河南洛阳高一下学期期中数学试卷(4月)(原题版+解析版): 这是一份[数学]2023_2024学年河南洛阳高一下学期期中数学试卷(4月)(原题版+解析版),文件包含数学2023_2024学年河南洛阳高一下学期期中数学试卷4月解析版pdf、数学2023_2024学年河南洛阳高一下学期期中数学试卷4月原题版pdf等2份试卷配套教学资源,其中试卷共13页, 欢迎下载使用。

