广东省茂名市信宜市2023-2024学年高一下学期4月期中考试数学试题(原卷版+解析版)
展开本试卷共4页,19小题,满分150分,考试时间120分钟.
注意事项:1.答卷前,考生务必用黑色字迹钢笔或签字笔将自己的姓名和考生号填写在答题卡指定的位置上.
2.选择题用2B铅笔把答题卡上对应题目的答案标号涂黑;如需改动,擦干净后,再选涂其它答案,答案不能答在试卷上.
3.非选择题必须用黑色字迹的笔作答,答案必须写在答题卡各题目指定区域内的相应位置上;如需改动,先划掉原来的答案,然后再写上新的答案;不准使用铅笔和涂改液.不按以上要求作答的答案无效.
4.考生必须保持答题卡的整洁,考试结束后,将答题卡交回.
一、单项选择题:共8小题,每小题5分,共40分.在每个小题给出的四个选项中,只有一项是符合题目要求的.
1. 复数的虚部是( )
A. B. C. D.
2. 已知向量满足(2,1),(1,y),且,则=( )
A. B. C. 5D. 4
3. 已知,是两个不共线的单位向量,,,若与共线,则( )
A. 2B. 4C. -4D. -2
4. 已知,则( )
A B. C. D.
5. 在中,,则( )
A. 1B. C. 3D. 2
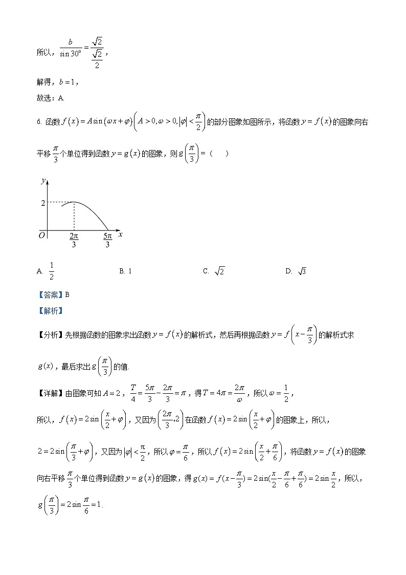
6. 函数的部分图象如图所示,将函数的图象向右平移个单位得到函数的图象,则( )
A. B. 1C. D.
7. 如图,是等边三角形,D在线段BC上,且,E为线段AD上一点,若与的面积相等,则( )
A. B. C. D.
8. 2002年在北京召开的国际数学家大会,会标是以我国古代数学家赵爽的弦图为基础设计的.弦图是由四个全等直角三角形与一个小正方形拼成的一个大正方形(如图).如果小正方形的面积为1,大正方形的面积为25,直角三角形中较小的锐角为,那么的值为( )
A. B. C. D.
二、多项选择题:共3小题,每小题6分,共18分.在每个小题给出的四个选项中,有多个项符合题目要求.全部选对的得6分,部分选对的得部分分.
9. 下列各式中值为的是( ).
A. B.
C. D.
10. 设复数在复平面内对应的点为,原点为,为虚数单位,则下列说法正确的是( )
A. 若,则或
B.
C. 方程,根是
D. 若,则点的集合所构成的图形的面积为π
11. 在中,有如下四个命题,其中正确的是( )
A. 若,则锐角三角形
B. 内一点G满足,则G是的重心
C. 若,则的形状为等腰三角形
D. 内一点P满足,则
三、填空题:共3小题,每小题5分,共15分.
12. 已知角的终边过点,则的值为__________.
13. 设向量,,若,则___________.
14. 在△ABC中,a,b,c分别为角A,B,C对边,若,在方向上的投影是的,△ABC的面积为,则______.
四、解答题:共6小题,共70分.解答应写出文字说明,证明过程或演算步骤.
15. 已知,.
(1)求的值;
(2)求的值.
16. 已知向量 .
(1)当 时, 求向量与的夹角;
(2)求的最大值.
17. 在锐角三角形ABC中,角A、B、C的对边分别为a、b、c,向量,,且.
(1)求角A
(2)若c=2,且△ABC的面积为,求AC边上的中线BM的大小.
18. 己知函数.
(1)求的单调递增区间;
(2)当时,求的最大值和最小值,并指出取得最值时的值.
19. 在中,角所对边分别是,且满足
(1)求角;
(2)如图,若外接圆半径为,为的中点,且,求的周长.
(新构架19题)广东省茂名市信宜市2023-2024学年高二下学期6月月考数学试题(原卷版+含解析): 这是一份(新构架19题)广东省茂名市信宜市2023-2024学年高二下学期6月月考数学试题(原卷版+含解析),共11页。
广东省茂名市信宜市2023-2024学年高一下学期4月期中考试数学试题: 这是一份广东省茂名市信宜市2023-2024学年高一下学期4月期中考试数学试题,共10页。试卷主要包含了在中,,,,则,函数,下列各式中值为的是等内容,欢迎下载使用。
广东省茂名市信宜市信宜中学2023-2024学年高一下学期4月期中考试数学试题(原卷版+解析版): 这是一份广东省茂名市信宜市信宜中学2023-2024学年高一下学期4月期中考试数学试题(原卷版+解析版),文件包含广东省茂名市信宜市信宜中学2023-2024学年高一下学期4月期中考试数学试题原卷版docx、广东省茂名市信宜市信宜中学2023-2024学年高一下学期4月期中考试数学试题解析版docx等2份试卷配套教学资源,其中试卷共22页, 欢迎下载使用。

